Juxtapid by is a Prescription medication manufactured, distributed, or labeled by Chiesi USA, Inc.. Drug facts, warnings, and ingredients follow.
JUXTAPID can cause elevations in transaminases (5.1).
JUXTAPID increases hepatic fat (hepatic steatosis) with or without concomitant increases in transaminases (5.1).
Because of the risk of hepatotoxicity, JUXTAPID is available only through a restricted program called the JUXTAPID REMS Program (5.2). Prescribe JUXTAPID only to patients with a clinical or laboratory diagnosis consistent with homozygous familial hypercholesterolemia (HoFH). The safety and effectiveness of JUXTAPID have not been established in patients with hypercholesterolemia who do not have HoFH (1).
JUXTAPID is a microsomal triglyceride transfer protein inhibitor indicated as an adjunct to a low-fat diet and exercise and other low-density lipoprotein cholesterol (LDL-C) therapies, to reduce LDL-C in adult and pediatric patients aged 2 years and older with HoFH. (1).
| Age group (years) | JUXTAPID Dose | |||||
|---|---|---|---|---|---|---|
| 2 mg | 5 mg | 10 mg | 20 mg | 40 mg | 60 mg | |
| W:Weeks; ---: Not a recommended dosage; 1Maximum recommended dosage. | ||||||
| 2 to 10 | W 0 to 8 | W 9 to 12 | W 13 to 16 | W 17 and beyond1 | --- | --- |
| 11 to 15 | W 0 to 4 | W 5 to 8 | W 9 to 12 | W 13 to 16 | 17 and beyond1 | --- |
| 16 to 17 | --- | W 0 to 4 | W 5 to 8 | W 9 to 12 | 13 and beyond1 | --- |
| 18 and older | --- | W 0 to 2 | W 3 to 6 | W 7 to 10 | W 11 to 14 | 15 and beyond1 |
Capsules: 2 mg, 5 mg, 10 mg, 20 mg, and 30 mg (3).
Most common adverse reactions in adult patients (incidence ≥10%) are diarrhea, nausea, dyspepsia, vomiting, and abdominal pain (6.1). Most common adverse reactions in pediatric patients aged 5 to 17 years old (incidence ≥15%) are abdominal pain, alanine aminotransferase increased, aspartate aminotransferase increased, diarrhea, and vomiting (6.1).
To report SUSPECTED ADVERSE REACTIONS, contact Chiesi Farmaceutici S.p.A. at 1-888-661-9260 or FDA at 1-800-FDA-1088 or www.fda.gov/medwatch.
See 17 for PATIENT COUNSELING INFORMATION and Medication Guide.
Revised: 2/2026
JUXTAPID can cause elevations in transaminases. In the adult clinical trial, 10 (34%) of the 29 patients treated with JUXTAPID had at least one elevation in alanine aminotransferase (ALT) or aspartate aminotransferase (AST) ≥3 times the upper limit of normal (ULN). There were no concomitant clinically meaningful elevations of total bilirubin, international normalized ratio (INR), or alkaline phosphatase. In the pediatric clinical trial (5 to 17 years of age), 6 (14%) of the 43 patients experienced elevations in ALT and/or AST ≥ 3 times ULN. No concomitant clinically meaningful elevations in total bilirubin or alkaline phosphatase were observed [see Warnings and Precautions (5.1)].
JUXTAPID also increases hepatic fat, with or without concomitant increases in transaminases. The median absolute increase in hepatic fat in adult patients was 6% after both 26 and 78 weeks of treatment, from 1% at baseline, measured by magnetic resonance spectroscopy (MRS). The median absolute increase in hepatic fat in pediatric patients aged 5 to 17 years was 4% after 24 weeks and 104 weeks of treatment, from 3% at baseline, measured by nuclear magnetic resonance (NMR). Hepatic steatosis associated with JUXTAPID treatment may be a risk factor for progressive liver disease, including steatohepatitis and cirrhosis [see Warnings and Precautions (5.1)].
Measure ALT, AST, alkaline phosphatase, and total bilirubin before initiating treatment and then ALT and AST regularly as recommended. During treatment, adjust the dose of JUXTAPID if the ALT or AST are ≥3 times ULN. Discontinue JUXTAPID for clinically significant liver toxicity [see Dosage and Administration (2.7) and Warnings and Precautions (5.1)].
Because of the risk of hepatotoxicity, JUXTAPID is available only through a restricted program under a Risk Evaluation and Mitigation Strategy (REMS) called the JUXTAPID REMS Program [see Warnings and Precautions (5.2)]. Prescribe JUXTAPID only to patients with a clinical or laboratory diagnosis consistent with HoFH. The safety and effectiveness of JUXTAPID have not been established in patients with hypercholesterolemia who do not have HoFH [see Indications and Usage (1)].
Before beginning treatment with JUXTAPID:
Initiation Dosage
The recommended initiation dosage is
Dosage Titration
| Age Group | JUXTAPID Dosage and Titration Schedule | |||||
|---|---|---|---|---|---|---|
| 2 mg | 5 mg | 10 mg | 20 mg | 40 mg | 60 mg | |
|
|
||||||
| 2 to 10 years | Weeks 0 to 8 | Weeks 9 to 12 | Weeks 13 to 16 | Weeks 17 and beyond* | Not recommended | Not recommended |
| 11 to 15 years | Weeks 0 to 4 | Weeks 5 to 8 | Weeks 9 to 12 | Weeks 13 to 16 | Weeks 17 and beyond* | Not recommended |
| 16 to l7 years | Not recommended | Weeks 0 to 4 | Weeks 5 to 8 | Weeks 9 to 12 | Weeks 13 and beyond* | Not recommended |
| 18 years and older | Not recommended | Weeks 0 to 2 | Weeks 3 to 6 | Weeks 7 to 10 | Weeks 11 to 14 | Week 15 and beyond* |
Maximum Recommended Dosage
The maximum recommended dosage is:
Nutritional Supplementation
To reduce the risk of developing a fat-soluble nutrient deficiency due to JUXTAPID's mechanism of action in the small intestine [see Warnings and Precautions (5.4)], administer JUXTAPID with daily nutritional supplements. See Table 2 for nutritional supplementation recommendations according to age.
| Age Group | Vitamin E | Essential Fatty Acids |
|---|---|---|
| 2 to 8 years | 200 International Units (IU) (134 mg d-alpha-tocopherol or 90 mg dl-alpha-tocopherol) |
|
| 9 years and older | 400 IU (268 mg d-alpha-tocopherol or 180 mg dl-alpha-tocopherol) |
Moderate or Strong Cytochrome P450 3A4 Inhibitors
JUXTAPID is contraindicated with concomitant use of moderate and strong cytochrome P450 3A4 (CYP3A4) inhibitors [see Contraindications (4) and Drug Interactions (7.1)].
Weak CYP3A4 Inhibitors (With or Without Oral Contraceptives)
Weak CYP3A4 Inhibitor Initiation in Patients Treated with a Stable Dosage of JUXTAPID:
Concomitant Oral contraceptive use Only
| Age group | Maximum JUXTAPID Dosage | |
|---|---|---|
| Weak CYP3A4 inhibitor | Oral Contraceptive* | |
|
|
||
| 2 to 10 years | 10 mg | 15 mg |
| 11 to 17 years | 20 mg | 30 mg |
| 18 years and older | 30 mg | 40 mg |
Table 4 summarizes recommendations for dosage adjustment and monitoring for patients who develop elevated transaminases during treatment with JUXTAPID [see Warnings and Precautions (5.1)].
| ALT OR AST | TREATMENT AND MONITORING RECOMMENDATIONS* |
|---|---|
|
|
|
| ≥3 times and <5 times ULN |
|
| ≥5 times ULN |
|
If transaminase elevations are accompanied by clinical symptoms of liver injury (such as nausea, vomiting, abdominal pain, fever, jaundice, lethargy, flu-like symptoms), increases in bilirubin ≥2 times ULN, or active liver disease, discontinue treatment with JUXTAPID and investigate to identify the probable cause [see Warnings and Precautions (5.1)].
The recommended dosage of JUXTAPID in patients with end-stage renal disease (eGFR <15 mL/min/1.73m2) receiving hemodialysis is described in Table 5. JUXTAPID has not been studied in patients with mild, moderate, or severe renal impairment, including those with end stage renal disease not receiving dialysis [see Use in Specific Populations (8.6)].
| Age GROUP | MAXIMUM RECOMMENDED DAILY DOSAGE |
|---|---|
| 2 to 10 years | 15 mg |
| 11 to 17 years | 30 mg |
| 18 years and older | 40 mg |
JUXTAPID is contraindicated in patients with moderate or severe hepatic impairment (based on Child-Pugh category B or C) and patients with active liver disease, including unexplained persistent elevations of serum transaminases [see Warnings and Precautions (5.6)]. Table 6 summarizes the dosage adjustment for patients with baseline mild hepatic impairment (Child-Pugh A) [see Use in Specific Populations (8.7)].
| AGE GROUP | MAXIMUM RECOMMENDED DAILY DOSAGE |
|---|---|
| 2 to 10 years | 15 mg |
| 11 to 17 years | 30 mg |
| 18 years and older | 40 mg |
Capsules:
JUXTAPID is contraindicated in the following conditions:
JUXTAPID can cause elevations in transaminases and hepatic steatosis in adults and pediatric patients, as described below [see Warnings and Precautions (5.2)]. JUXTAPID may induce steatohepatitis, which can progress to cirrhosis over several years. Clinical trials of JUXTAPID for HoFH would have been unlikely to detect this adverse outcome given their size and duration [see Clinical Studies (14)].
Elevation of Transaminases
Elevations in transaminases (ALT and/or AST) are associated with JUXTAPID.
In the 78-week adult clinical trial, 10 (34%) of the 29 patients with HoFH had at least one elevation in ALT or AST ≥3 times ULN, and 4 (14%) of the patients had at least one elevation in ALT or AST ≥5 times ULN. There were no concomitant or subsequent clinically meaningful elevations in bilirubin, INR, or alkaline phosphatase [see Adverse Reactions (6.1)]. No patients discontinued prematurely because of elevated transaminases. Among the 19 patients who subsequently enrolled in the adult HoFH extension trial, one discontinued because of increased transaminases that persisted despite several dose reductions, and one temporarily discontinued because of markedly elevated transaminases (ALT 24 times ULN, AST 13 times ULN) that had several possible causes, including a drug-drug interaction between JUXTAPID and the strong CYP3A4 inhibitor clarithromycin [see Drug Interactions (7.1)].
In the 104-week open-label trial in pediatric patients aged 5 to 17 years with HoFH exposed to JUXTAPID, 6 (14%) of the 43 patients with HoFH had at least one elevation in ALT and/or AST ≥3 times ULN, including 2 (5%) patients who had at least one elevation in ALT ≥5 times ULN. No patients discontinued treatment because of increased transaminases, although some patients required dose interruptions or reductions for management of liver transaminase elevations.
Monitoring of Transaminases
Before initiating JUXTAPID and during treatment, monitor transaminases as recommended in Table 7.
| TIME | RECOMMENDATIONS |
|---|---|
| Before initiating treatment |
|
| During the first year |
|
| After the first year |
|
| At any time during treatment |
|
Hepatic Steatosis
JUXTAPID increases hepatic fat, with or without concomitant increases in transaminases. Hepatic steatosis is a risk factor for progressive liver disease, including steatohepatitis and cirrhosis. The long-term consequences of hepatic steatosis associated with JUXTAPID treatment are unknown. During the HoFH clinical trial conducted in adults, the median absolute increase in hepatic fat was 6% after both 26 weeks and 78 weeks of treatment, from 1% at baseline, measured by magnetic resonance spectroscopy (MRS) [see Adverse Reactions (6.1)]. Clinical data suggest that hepatic fat accumulation is reversible after stopping treatment with JUXTAPID, but whether histological sequelae remain is unknown, especially after long-term use; protocol scheduled liver biopsies were not performed in the adult clinical trial.
In a phase 3 trial in pediatric patients, two patients (both aged 5 to 10 years) developed mild hepatic steatosis (as assessed by ultrasound), which resolved without specific medical interventions, other than the protocol specified follow-up ultrasounds and laboratory monitoring. Overall, the median absolute increase in hepatic fat was 4% after 24 weeks and 104 weeks, from 3% at baseline, measured by NMR. As with data from the adult patients, clinical pediatric data suggest that hepatic fat accumulation is reversible after stopping treatment with JUXTAPID, but whether histological sequelae remain is unknown, especially after long term use.
Alcohol may increase levels of hepatic fat and induce or exacerbate liver injury. Drinking more than one alcoholic drink per day is not recommended for patients taking JUXTAPID.
Exercise caution when using JUXTAPID with other medications known to have potential for hepatotoxicity, such as isotretinoin, amiodarone, acetaminophen (>4 g/day for ≥3 days/week), methotrexate, tetracyclines, and tamoxifen. The effect of concomitant administration of JUXTAPID with other hepatotoxic medications is unknown. More frequent monitoring of liver-related tests may be warranted.
JUXTAPID has not been studied concomitantly with other LDL-lowering agents that can also increase hepatic fat. Therefore, the combined use of such agents is not recommended.
Because of the risk of hepatotoxicity associated with JUXTAPID therapy, JUXTAPID is available through a restricted program under the REMS. Under the JUXTAPID REMS, only certified healthcare providers and pharmacies may prescribe and distribute JUXTAPID. Further information is available at www.JUXTAPIDREMSProgram.com or by telephone at 1-85-JUXTAPID (1-855-898-2743).
Based on findings from animal studies, JUXTAPID use is contraindicated in pregnancy since it may cause fetal harm [see Contraindications (4), Use in Specific Populations (8.1, 8.3)]. In animal reproduction studies in rats and ferrets, embryonic death and fetal malformations were observed at clinically relevant exposures. Females of reproductive potential should have a negative pregnancy test before starting JUXTAPID. Advise females of reproductive potential to use effective contraception during therapy with JUXTAPID and for two weeks after the final dose. If pregnancy is detected, discontinue JUXTAPID.
Given its mechanism of action in the small intestine, JUXTAPID may reduce the absorption of fat-soluble nutrients. In clinical trials of adult and pediatric patients with HoFH, patients were provided daily dietary supplements of vitamin E, linoleic acid, ALA, EPA, and DHA.
In the adult clinical trial, the median levels of serum vitamin E, ALA, linoleic acid, EPA, DHA, and arachidonic acid (AA) decreased from baseline to Week 26 but remained above the lower limit of the reference range. Adverse clinical consequences of these reductions were not observed with JUXTAPID treatment of up to 78 weeks.
In the pediatric clinical trial, overall, mean serum vitamin E levels decreased from baseline to Week 104 as expected but were still within or above the upper limit of the reference range. Mean values of linoleic acid, ALA, EPA, AA, and DHA all remained within the normal range or above the upper limit of the reference range during the 104-week trial. Eicosatrienoic acid was below lower limit of normal throughout the trial and increased to a mean normal value by Week 104.
Patients treated with JUXTAPID should take daily nutritional supplements that contain the dosages of vitamin E and essential fatty acids recommended in Dosage and Administration (2.2). Patients with chronic bowel or pancreatic diseases that predispose to malabsorption may be at increased risk for deficiencies in these nutrients with use of JUXTAPID.
Gastrointestinal adverse reactions were reported by 27 (93%) of 29 patients in the adult clinical trial. Diarrhea occurred in 79% of patients, nausea in 65%, dyspepsia in 38%, and vomiting in 34%. Other reactions reported by at least 20% of patients include abdominal pain, abdominal discomfort, abdominal distension, constipation, and flatulence [see Adverse Reactions (6)].
Gastrointestinal adverse reactions of severe intensity were reported by 6 (21%) of 29 patients in the adult clinical trial, with the most common being diarrhea (4 patients, 14%); vomiting (3 patients, 10%); and abdominal pain, distension, and/or discomfort (2 patients, 7%). Gastrointestinal reactions contributed to the reasons for early discontinuation from this trial for 4 (14%) patients.
Gastrointestinal adverse reactions were reported by 31 (72%) of the 43 patients in the pediatric clinical trial. Diarrhea occurred in 22 (51%) patients and was more frequently reported by patients 11 to 17 years of age compared to patients 5 to 10 years of age (57% and 45%, respectively). Abdominal pain occurred in 19 (44%) patients and was reported with similar incidences in patients 5 to 10 years of age and 11 to 17 years of age. Vomiting occurred in 12 (28%) patients and was more frequently reported by patients 5 to 10 years of age compared to patients 11 to 17 years of age (50% and 9% of patients, respectively). Gastrointestinal reactions contributed to the reasons for early discontinuation from the trial for 2 (5%) patients.
There have been post-marketing reports of severe diarrhea in adults treated with JUXTAPID, including patients being hospitalized because of diarrhea-related complications such as volume depletion. Monitor patients who are more susceptible to complications from diarrhea, such as older patients and patients taking drugs that can lead to volume depletion or hypotension. Instruct patients to stop JUXTAPID and contact their healthcare provider if severe diarrhea occurs or if they experience symptoms of volume depletion, such as lightheadedness, decreased urine output, or tiredness. In such cases, consider reducing the dose or suspending use of JUXTAPID.
Absorption of concomitant oral medications may be affected in patients who develop diarrhea or vomiting.
To reduce the risk of gastrointestinal adverse reactions, instruct patients or their caregiver(s) to adhere to a low-fat diet supplying <20% of energy from fat or less than 30 grams of fat, whichever is less. Increase the dosage of JUXTAPID gradually. Individualize the maximum daily fat goal based on caloric needs due to age, growth, activity level, and tolerability. Monitor growth and weight loss in pediatric patients who are below the 10th percentile for height, weight, or BMI [see Dosage and Administration (2.1) and (2.2)].
CYP3A4 inhibitors increase the exposure of lomitapide, with strong inhibitors increasing exposure approximately 27-fold. Concomitant use of moderate or strong CYP3A4 inhibitors with JUXTAPID is contraindicated [see Drug Interactions (7.1)]. In the JUXTAPID clinical trials, one adult patient with HoFH developed markedly elevated transaminases (ALT 24 times ULN, AST 13 times ULN) within days of initiating the strong CYP3A4 inhibitor clarithromycin. If treatment with moderate or strong CYP3A4 inhibitors is unavoidable, JUXTAPID should be stopped during the course of treatment.
Avoid food or drinks containing grapefruit during JUXTAPID treatment.
Weak CYP3A4 inhibitors can increase the exposure of lomitapide approximately 2-fold; therefore, when JUXTAPID is administered with weak CYP3A4 inhibitors, the dose of JUXTAPID should be decreased by half. Careful titration may then be considered based on LDL-C response and safety/tolerability to half the maximum recommended dosage except when co-administered with oral contraceptives only, in which case the maximum recommended JUXTAPID dose is approximately two thirds the maximum recommended dose (Table 3) [see Dosage and Administration (2.4) and Drug Interactions (7.2)].
The risk of myopathy, including rhabdomyolysis, with simvastatin and lovastatin monotherapy is dose related. Lomitapide approximately doubles the exposure to simvastatin; therefore, it is recommended to reduce the dose of simvastatin by 50% when initiating JUXTAPID [see Clinical Pharmacology (12.3)]. While taking JUXTAPID, limit simvastatin dosage to 20 mg daily (or 40 mg daily for patients who have previously tolerated simvastatin 80 mg daily for at least one year without evidence of muscle toxicity). Refer to the simvastatin prescribing information for additional dosing recommendations.
Interaction between lovastatin and lomitapide has not been studied. However, the metabolizing enzymes and transporters responsible for the disposition of lovastatin and simvastatin are similar, suggesting that JUXTAPID may increase the exposure of lovastatin; therefore, reducing the dose of lovastatin should be considered when initiating JUXTAPID.
JUXTAPID increases the plasma concentrations of warfarin. Increases in the dose of JUXTAPID may lead to supratherapeutic anticoagulation and decreases in the dose of JUXTAPID may lead to subtherapeutic anticoagulation. Difficulty controlling INR contributed to early discontinuation from the adult clinical trial for one of five patients taking concomitant warfarin. Patients taking warfarin should undergo regular monitoring of the INR, especially after any changes in JUXTAPID dosage. The dose of warfarin should be adjusted as clinically indicated [see Drug Interactions (7.3)].
The following important adverse reactions have been observed and are discussed in detail in other sections of the label:
Because clinical trials are conducted under widely varying conditions, adverse reaction rates observed in the clinical trials of a drug cannot be directly compared to rates in the clinical trials of another drug and may not reflect the rates observed in practice.
Adults with HoFH
One single-arm, open-label, 78-week trial has been conducted in 29 adult patients with HoFH, 23 of whom completed at least one year of treatment. The initial dosage of JUXTAPID was 5 mg daily, with titration up to 60 mg daily during an 18-week period based on safety and tolerability. In this trial, the mean age was 31 years (range, 18 to 55 years), 16 (55%) patients were male, 25 (86%) patients were White, 2 (7%) were Asian, 1 (3%) was Black or African American, and 1 (3%) was multi-racial [see Clinical Studies (14)].
Five (17%) of the 29 patients discontinued treatment due to an adverse reaction. The adverse reactions that contributed to treatment discontinuations included diarrhea (2 patients; 7%) and abdominal pain, nausea, gastroenteritis, weight loss, headache, and difficulty controlling INR on warfarin (1 patient each; 3%).
The most common adverse reactions were gastrointestinal, reported by 27 (93%) of 29 patients. Adverse reactions reported by ≥8 (28%) patients in the clinical trial included diarrhea, nausea, vomiting, dyspepsia, and abdominal pain. Other common adverse reactions, reported by 5 to 7 (17 to 24%) patients, included weight loss, abdominal discomfort, abdominal distension, constipation, flatulence, increased ALT, chest pain, influenza, nasopharyngitis, and fatigue.
The adverse reactions reported in at least 10% of adult patients are presented in Table 8.
| ADVERSE REACTION | N (%) |
|---|---|
| Diarrhea | 23 (79) |
| Nausea | 19 (65) |
| Dyspepsia | 11 (38) |
| Abdominal pain | 10 (34) |
| Vomiting | 10 (34) |
| Chest pain | 7 (24) |
| Decreased weight | 7 (24) |
| Abdominal discomfort | 6 (21) |
| Abdominal distension | 6 (21) |
| Constipation | 6 (21) |
| Flatulence | 6 (21) |
| Influenza | 6 (21) |
| Fatigue | 5 (17) |
| Increased ALT | 5 (17) |
| Nasopharyngitis | 5 (17) |
| Back pain | 4 (14) |
| Gastroenteritis | 4 (14) |
| Pharyngolaryngeal pain | 4 (14) |
| Angina pectoris | 3 (10) |
| Defecation urgency | 3 (10) |
| Dizziness | 3 (10) |
| Fever | 3 (10) |
| Gastroesophageal reflux disease | 3 (10) |
| Headache | 3 (10) |
| Nasal congestion | 3 (10) |
| Palpitations | 3 (10) |
| Rectal tenesmus | 3 (10) |
Adverse reactions of severe intensity were reported by 8 (28%) of 29 patients, with the most common being diarrhea (4 patients, 14%), vomiting (3 patients, 10%), increased ALT or hepatotoxicity (3 patients, 10%), and abdominal pain, distension, and/or discomfort (2 patients, 7%).
Pediatric Patients with HoFH Aged 5 to 17 years
A single-arm, open label, multinational, 104-week trial was conducted in 43 pediatric patients with HoFH aged 5 to 17 years. Thirty-nine of the patients completed the trial. The dose of JUXTAPID was escalated from an age-dependent starting dose to a maximum tolerated dose (MTD) as applicable to the pediatric age group and based on acceptable safety and tolerability criteria, in addition to LDL-C goals [see Dosage and Administration (2) and Clinical Studies (14)].
| ADVERSE REACTION | N (%) |
|---|---|
|
|
|
| Elevated transaminases* | 23 (53) |
| Abdominal pain* | 23 (53) |
| Diarrhea | 22 (51) |
| Vomiting | 12 (28) |
| Decreased appetite | 6 (14) |
| Nausea | 5 (12) |
Transaminase Elevations
During the adult clinical trial, 10 (34%) of 29 patients had at least one elevation in ALT and/or AST ≥3 times ULN (see Table 10). No clinically meaningful elevations in total bilirubin or alkaline phosphatase were observed. Transaminases typically fell within one to four weeks of reducing the dose or withholding JUXTAPID.
Among the 19 adult patients who enrolled in an extension trial following the adult clinical trial, one discontinued because of increased transaminases that persisted despite several dose reductions, and one temporarily discontinued because of markedly elevated transaminases (ALT 24 times ULN, AST 13 times ULN) that had several possible causes, including a drug-drug interaction between JUXTAPID and the strong CYP3A4 inhibitor clarithromycin [see Drug Interactions (7.1)].
In the pediatric trial, 6 patients experienced elevations in ALT and/or AST ≥3 times ULN (see Table 10). No discontinuations occurred due to increased transaminases in the trial, although some patients required interrupting JUXTAPID or reducing the dose.
| ADULTS*
N (%) | PEDIATRIC PATIENTS AGED 5 TO 17 YEARS†
N (%) |
|
|---|---|---|
|
|
||
| Total Patients | 29 | 43 |
| Maximum ALT | ||
| ≥3 to <5 × ULN | 6 (21) | 3 (7) |
| ≥5 to <10 × ULN | 3 (10) | 2 (5) |
| ≥10 to <20 × ULN | 1 (3) | 0 |
| ≥20 × ULN | 0 | 0 |
| Maximum AST | ||
| ≥3 to <5 × ULN | 5 (17) | 3 (7) |
| ≥5 to <10 × ULN | 1 (3) | 0 |
| ≥10 to <20 × ULN | 0 | 0 |
| ≥20 × ULN | 0 | 0 |
Hepatic Steatosis
Hepatic fat was prospectively measured using magnetic resonance spectroscopy (MRS) in all eligible patients during the adult clinical trial. After 26 weeks, the median absolute increase in hepatic fat from baseline was 6%, and the mean absolute increase was 8% (range, 0% to 30%). After 78 weeks, the median absolute increase in hepatic fat from baseline was 6%, and the mean absolute increase was 7% (range, 0% to 18%). Among the 23 patients with evaluable data on at least one occasion during the trial, 18 (78%) exhibited an increase in hepatic fat >5% and 3 (13%) exhibited an increase >20%. Data from individuals who had repeat measurements after stopping JUXTAPID show that hepatic fat accumulation is reversible, but whether histological sequelae remain is unknown.
In the pediatric clinical trial, the median absolute increase in hepatic fat was 4% after 24 weeks and 104 weeks, from 3% at baseline, measured by NMR. Among the 19 patients with hepatic fat measured by NMR on at least one occasion during the trial, 8 (42%) patients exhibited an increase in hepatic fat to >10% including 1 (5%) patient with an increase to >20%. Data from pediatric patients with follow-up measurements after Week 104 suggest that hepatic fat accumulation is reversable after stopping treatment with JUXTAPID, but whether histological sequelae remain is unknown, especially after long term use.
The following adverse reactions have been identified during post-approval use of JUXTAPID. Because these reactions are reported voluntarily from a population of uncertain size, it is not possible to reliably estimate their frequency or establish a causal relationship to JUXTAPID exposure.
Musculoskeletal: Myalgia
Skin reactions: Alopecia
A strong CYP3A4 inhibitor has been shown to increase lomitapide exposure approximately 27-fold [see Clinical Pharmacology (12.3)]. Concomitant use of strong CYP3A4 inhibitors with JUXTAPID is contraindicated. Concomitant use of moderate CYP3A4 inhibitors has not been studied, but concomitant use with JUXTAPID is contraindicated since lomitapide exposure will likely increase significantly in the presence of these inhibitors.
Avoid food or drinks containing grapefruit during JUXTAPID treatment [see Contraindications (4), Warnings and Precautions (5.6), and Clinical Pharmacology (12.3)].
Weak CYP3A4 inhibitors can increase lomitapide exposure approximately 2-fold [see Clinical Pharmacology (12.3)]. When administered with weak CYP3A4 inhibitors, the dose of JUXTAPID should be decreased by half. Careful titration of JUXTAPID may then be considered based on LDL-C response and safety/tolerability to half the maximum recommended dosage except when co-administered with oral contraceptives only, in which case the maximum recommended JUXTAPID dosage is approximately two thirds of the maximum recommended dosage (Table 3) [see Dosage and Administration (2.4), Warnings and Precautions (5.6), and Clinical Pharmacology (12.3)].
Lomitapide increases plasma concentrations of both R(+)-warfarin and S(-)-warfarin by approximately 30% and increases the INR 22%. Patients taking warfarin should undergo regular monitoring of INR, particularly after any changes in JUXTAPID dosage. The dose of warfarin should be adjusted as clinically indicated [see Warnings and Precautions (5.8)].
The risk of myopathy, including rhabdomyolysis, with simvastatin and lovastatin monotherapy is dose-related. Lomitapide approximately doubles the exposure of simvastatin; therefore, the recommended dose of simvastatin should be reduced by 50% when initiating JUXTAPID [see Clinical Pharmacology (12.3)]. While taking JUXTAPID, limit simvastatin dosage to 20 mg daily (or 40 mg daily for patients who have previously tolerated simvastatin 80 mg daily for at least one year without evidence of muscle toxicity). Refer to the simvastatin prescribing information for simvastatin dosing recommendations.
Interaction between lovastatin and lomitapide has not been studied. However, the metabolizing enzymes and transporters responsible for the disposition of lovastatin and simvastatin are similar, suggesting that JUXTAPID may increase the exposure of lovastatin; therefore, reducing the dose of lovastatin should be considered when initiating JUXTAPID.
Pregnancy Exposure
There is a registry that monitors pregnancy outcomes in women exposed to JUXTAPID during pregnancy. For additional information visit www.JUXTAPID.com or call the Lomitapide Observational Worldwide Exposure Registry (LOWER) at 1-877-902-4099. Healthcare professionals are encouraged to call the LOWER at 1-877-902-4099 to enroll patients who become pregnant during JUXTAPID treatment.
Risk Summary
Based on findings from animal studies, JUXTAPID use is contraindicated in pregnancy since it may cause fetal harm [see Contraindications (4), Warnings and Precautions (5.3)]. Available human data are insufficient to draw conclusions about any drug-associated risks for major birth defects, miscarriage, or adverse maternal or fetal outcomes. However, in animal reproduction studies, lomitapide was teratogenic in rats at clinically relevant exposures and in ferrets at exposures estimated to be less than human therapeutic exposure at 60 mg when administered during organogenesis, based on AUC comparisons. Embryo-fetal lethality was observed in rabbits at 6-times the maximum recommended human dose (MRHD) of 60 mg based on body surface area. If pregnancy is detected, discontinue JUXTAPID.
The estimated background risk of major birth defects and miscarriage for the indicated population is unknown. In the U.S. general population, the estimated background risks of major birth defects and miscarriage in clinically recognized pregnancies is 2-4% and 15-20%, respectively.
Data
Animal Data
Oral gavage doses of 0.04, 0.4, or 4 mg/kg/day lomitapide given to pregnant rats from gestation day 6 through organogenesis were associated with fetal malformations at ≥2-times human exposure at the MRHD (60 mg) based on plasma AUC comparisons. Fetal malformations included umbilical hernia, gastroschisis, imperforate anus, alterations in heart shape and size, limb malrotations, skeletal malformations of the tail, and delayed ossification of cranial, vertebral and pelvic bones.
Oral gavage doses of 1.6, 4, 10, or 25 mg/kg/day lomitapide given to pregnant ferrets from gestation day 12 through organogenesis were associated with both maternal toxicity and fetal malformations at exposures that ranged from less than the human exposure at the MRHD to 5-times the human exposure at the MRHD. Fetal malformations included umbilical hernia, medially rotated or short limbs, absent or fused digits on paws, cleft palate, open eye lids, low-set ears, and kinked tail.
Oral gavage doses of 0.1, 1, or 10 mg/kg/day lomitapide given to pregnant rabbits from gestation day 6 through organogenesis were not associated with adverse effects at systemic exposures up to 3-times the MRHD of 60 mg based on body surface area comparison. Treatment at doses of ≥20 mg/kg/day, ≥6-times the MRHD, resulted in embryo-fetal lethality.
Pregnant female rats given oral gavage doses of 0.1, 0.3, or 1 mg/kg/day lomitapide from gestation day 7 through termination of nursing on lactation day 20 were associated with malformations at systemic exposures equivalent to human exposure at the MRHD of 60 mg based on AUC. Increased pup mortality occurred at 4-times the MRHD.
Risk Summary
There are no data on the presence of lomitapide in human or animal milk, effects on the breastfed infant or on milk production. Because of the potential for serious adverse reactions, including hepatotoxicity, advise patients that breastfeeding is not recommended during treatment with JUXTAPID.
Pregnancy Testing
Females of reproductive potential should have a negative pregnancy test before starting JUXTAPID.
Contraception
Based on animal studies, JUXTAPID may cause fetal harm when administered to pregnant women [see Use in Specific Populations (8.1)]. Advise females of reproductive potential to use effective contraception during treatment with JUXTAPID and for two weeks after the final dose.
The use of JUXTAPID may result in reduced efficacy of oral contraceptives if vomiting or diarrhea occurs. Advise patients using oral contraceptives and who experience vomiting or diarrhea to use an effective alternative contraceptive method until 7 days after resolution of symptoms [see Drug Interactions (7.2)].
The safety and effectiveness of JUXTAPID as an adjunct to other LDL-C lowering therapies for the treatment of HoFH have been established in pediatric patients aged 2 years and older. Use of JUXTAPID for this indication is supported by evidence from an open-label trial in adults; an open-label trial of 43 pediatric patients with HoFH aged 5 to 17 years old; and additional pharmacokinetic modeling and simulation data for pediatric patients aged 2 years and older. Adverse reactions reported in pediatric patients aged 5 to 17 years were similar to those reported in adults [see Adverse Reactions (6.1), Clinical Pharmacology (12.3), and Clinical Studies (14)].
The safety and effectiveness of JUXTAPID have not been established in pediatric patients younger than 2 years old.
Clinical trials of JUXTAPID did not include sufficient numbers of patients aged 65 years and older to determine whether they respond differently from younger patients. In general, dosing for an elderly patient should be cautious, reflecting the greater frequency of decreased hepatic, renal, or cardiac function, and of concomitant disease or other drug therapy.
Patients with end-stage renal disease (eGFR <15 mL/min/1.73m2) receiving hemodialysis, lomitapide exposure increased approximately 50% compared with healthy volunteers [see Clinical Pharmacology (12.3)]. The maximum recommended dosage of JUXTAPID in patients with end-stage renal disease receiving hemodialysis is lower than in those with normal renal function [see Dosage and Administration (2.6)]. Effects of mild, moderate, and severe renal impairment, including those with end-stage renal disease not yet receiving dialysis, on lomitapide exposure have not been studied. However, it is possible that patients with renal impairment who are not yet receiving dialysis may experience increases in lomitapide exposure exceeding 50% [see Clinical Pharmacology (12.3)].
JUXTAPID is contraindicated in patients with moderate (Child-Pugh B) or severe (Child-Pugh C) hepatic impairment since the lomitapide exposure increased 164% compared with healthy volunteers [see Contraindications (4) and Clinical Pharmacology (12.3)]. In adult patients with mild hepatic impairment (Child-Pugh A), lomitapide exposure increased approximately 50% compared with healthy volunteers [see Clinical Pharmacology (12.3)]. The maximum recommended dosage of JUXTAPID in patients with mild hepatic impairment is lower than in those with normal hepatic function [see Dosage and Administration (2.7)].
There is no specific treatment in the event of overdose of JUXTAPID. In the event of overdose, the patient should be treated symptomatically, and supportive measures instituted as required. Liver-related tests should be monitored. Hemodialysis is unlikely to be beneficial given that lomitapide is highly protein-bound.
JUXTAPID capsules contain lomitapide mesylate, a synthetic lipid-lowering agent for oral administration.
The chemical name of lomitapide mesylate is N-(2,2,2-trifluoroethyl)-9-[4-[4-[[[4'a-(trifluoromethyl)[1,1'-biphenyl]-2-yl]carbonyl]amino]-1-piperidinyl]butyl]-9H-fluorene-9-carboxamide, methanesulfonate salt. Its structural formula is:

The empirical formula for lomitapide mesylate is C39H37F6N3O2 ∙ CH4O3S and its molecular weight is 789.8.
Lomitapide mesylate is a white to off-white powder that is slightly soluble in aqueous solutions of pH 2 to 5. Lomitapide mesylate is freely soluble in acetone, ethanol, and methanol; soluble in 2-butanol, methylene chloride, and acetonitrile; sparingly soluble in 1-octanol and 2-propanol; slightly soluble in ethyl acetate; and insoluble in heptane.
Each JUXTAPID capsule contains lomitapide mesylate equivalent to 2, 5, 10, 20, or 30 mg lomitapide free base and the following inactive ingredients: pregelatinized starch, sodium starch glycolate, microcrystalline cellulose, lactose monohydrate, silicon dioxide and magnesium stearate. The capsule shells of all strengths contain gelatin and titanium dioxide; the 2 mg capsules contain black iron oxide; the 5 mg, 10 mg and 30 mg capsules also contain red iron oxide; and the 30 mg capsules also contain yellow iron oxide. The imprinting ink contains shellac, black iron oxide, and propylene glycol.
JUXTAPID directly binds and inhibits microsomal triglyceride transfer protein (MTP), which resides in the lumen of the endoplasmic reticulum, thereby preventing the assembly of apo B-containing lipoproteins in enterocytes and hepatocytes. This inhibits the synthesis of chylomicrons and VLDL. The inhibition of the synthesis of VLDL leads to reduced levels of plasma LDL-C.
Effects on QT Interval
At a concentration 23 times the Cmax of the maximum recommended dose, lomitapide does not prolong QTc to any clinically relevant extent.
Lomitapide pharmacokinetics is approximately dose-proportional for oral single doses from 10 to 100 mg. Following the maximum recommended dose of 60 mg daily in patients ≥18 years old, the steady state exposure (i.e., AUCtau with tau=24 hours) and Cmax were predicted to be 116.34 ng/mL∙h (with 90% prediction interval of 41.7 to 362.6 ng/mL∙h) and 5.74 ng/mL (2.00 to 17.9 ng/mL) respectively (see Table 11).
Absorption
The absolute bioavailability of lomitapide is approximately 7%. Upon oral administration of a single 60-mg dose of JUXTAPID, the lomitapide tmax is around 6 hours in healthy volunteers.
Distribution
The mean lomitapide volume of distribution at steady state is 985 to 1292 liters. Lomitapide is 99.8% plasma-protein bound.
Elimination
Metabolism
Lomitapide is metabolized extensively by the liver. The metabolic pathways include oxidation, oxidative N-dealkylation, glucuronide conjugation, and piperidine ring opening. Cytochrome P450 (CYP) 3A4 metabolizes lomitapide to its major metabolites, M1 and M3, as detected in plasma. The oxidative N-dealkylation pathway breaks the lomitapide molecule into M1 and M3. M1 is the moiety that retains the piperidine ring, whereas M3 retains the rest of the lomitapide molecule in vitro. CYPs 1A2, 2B6, 2C8, and 2C19 may metabolize lomitapide to a small extent to M1. M1 and M3 do not inhibit activity of microsomal triglyceride transfer protein in vitro.
Excretion
In a mass-balance study, a mean of 59.5% and 33.4% of the dose was excreted in the urine and feces, respectively. In another mass-balance study, a mean of 52.9% and 35.1% of the dose was excreted in the urine and feces, respectively. Lomitapide was not detectable in urine samples. M1 is the major urinary metabolite. Lomitapide is the major component in the feces. The mean lomitapide terminal half-life is 39.7 hours.
Specific Populations
Hepatic Impairment
A single-dose, open-label study was conducted to evaluate the pharmacokinetics of 60 mg lomitapide in healthy adult volunteers with normal hepatic function compared with adult patients with mild (Child-Pugh A) and moderate (Child-Pugh B) hepatic impairment. In patients with moderate hepatic impairment, lomitapide AUC and Cmax were 164% and 361% higher, respectively, compared with healthy volunteers. In patients with mild hepatic impairment, lomitapide AUC and Cmax were 47% and 4% higher, respectively, compared with healthy volunteers. Lomitapide has not been studied in patients with severe hepatic impairment (Child-Pugh score 10 to 15) [see Dosage and Administration (2.7), Contraindications (4), Warnings and Precautions (5.1), and Use in Specific Populations (8.7)].
Renal Impairment
A single-dose, open-label study in adults was conducted to evaluate the pharmacokinetics of 60 mg lomitapide in patients with end-stage renal disease receiving hemodialysis compared with healthy adult volunteers with normal renal function. Healthy volunteers had estimated creatinine clearance >80 mL/min by the Cockcroft-Gault equation. Compared with healthy volunteers, lomitapide AUC0-inf and Cmax were 40% and 50% higher, respectively, in patients with end-stage renal disease receiving hemodialysis. Effects of mild, moderate, and severe renal impairment as well as end-stage renal disease not yet on dialysis on lomitapide exposure have not been studied [see Dosage and Administration (2.6) and Use in Specific Populations (8.6)].
Pediatric Patients
Predicted lomitapide exposures under the maximum dosage levels (i.e., 20 and 40 mg) for pediatric patients in each age group are presented in Table 11.
| Age Group | Maximum Recommended Dosage | Median AUC0-tau (ng/mL∙h) | 5th, 95th Percentile AUC0-tau (ng/mL∙h) | Median Cmax
(ng/mL) | 5th, 95th Percentile Cmax (ng/mL) |
|---|---|---|---|---|---|
| AUC0-tau=Area under the curve over the dosing interval of 24 hours (tau=24 h); Cmax= Maximum observed plasma concentration | |||||
|
|
|||||
| 2 to 4 years | 20 mg | 213.62 | 71.62, 637.34 | 11.11 | 3.66, 33.76 |
| 5 to 10 years | 20 mg | 142.57 | 47.52, 455.67 | 7.33 | 2.31, 23.70 |
| 11 to 15 years | 40 mg | 240.48 | 82.96, 783.84 | 12.16 | 4.18, 39.09 |
| 16 to 17 years | 40 mg | 201.11 | 67.58, 646.16 | 9.95 | 3.33, 32.53 |
| 18 years and older* | 60 mg | 116.34 | 41.73, 362.64 | 5.74 | 2.00, 17.90 |
Drug Interactions
In vitro Assessment of Drug Interactions
Lomitapide does not induce CYPs 1A2, 3A4, or 2B6. Lomitapide inhibits CYP3A4. Lomitapide does not inhibit CYPs 1A2, 2B6, 2C9, 2C19, 2D6, or 2E1. M1 and M3 do not induce CYPs 1A2, 3A4, or 2B6. M1 and M3 do not inhibit CYPs 1A2, 2A6, 2B6, 2C8, 2C9, 2C19, 2D6, 2E1, or 3A4. Lomitapide is not a P-gp substrate. Lomitapide inhibits P-gp but does not inhibit breast cancer resistance protein (BCRP).
Effects of other Drugs on Lomitapide
Table 12 summarizes the effect of co-administered drugs on lomitapide AUC and Cmax.
| CO-ADMINISTERED DRUG | DOSING OF CO-ADMINISTERED DRUG | DOSING OF LOMITAPIDE | RATIO OF LOMITAPIDE EXPOSURE WITH/WITHOUT CO-ADMINISTERED DRUG NO EFFECT = 1 |
|
|---|---|---|---|---|
| AUC | Cmax | |||
| BID = twice daily; QD = once daily;↑ = increase | ||||
| Contraindicated with lomitapide [see Contraindications (4) and Warnings and Precautions (5.6)] | ||||
| Ketoconazole | 200 mg BID for 9 days | 60 mg single dose | ↑ 27 | ↑ 15 |
| Adjustment necessary when co-administered with lomitapide [see Dosage and Administration (2.4) and Warnings and Precautions (5.6)] | ||||
| AUC | Cmax | |||
| Atorvastatin | 80 mg QD | 20 mg single dose | ↑2 | ↑2.1 |
| Ethinyl Estradiol (EE) / norgestimate | 0.035 mg EE/ 0.25 mg norgestimate QD | 20 mg single dose | ↑1.3 | ↑1.4 |
Effect of Lomitapide on other Drugs
Table 13 summarizes the effects of lomitapide on the AUC and Cmax of co-administered drugs.
| CO-ADMINISTERED DRUG | DOSING OF CO-ADMINISTERED DRUG | DOSING OF LOMITAPIDE | CHANGE OF CO-ADMINISTERED DRUG EXPOSURE WITH / WITHOUT LOMITAPIDE | ||
|---|---|---|---|---|---|
| AUC | Cmax | ||||
| Dosage adjustment necessary when co-administered with lomitapide | |||||
|
|
|||||
| Simvastatin* | 40 mg single dose | 60 mg QD × 7 days | Simvastatin Simvastatin acid | ↑ 99% ↑ 71% | ↑ 102% ↑ 57% |
| ↑ 62% | |||||
| 20 mg single dose | 10 mg QD × 7 days | Simvastatin Simvastatin acid | ↑ 39% | ↑65% ↑ 35% |
|
| Warfarin† | 10 mg single dose | 60 mg QD × 12 days | R(+) warfarin S(-) warfarin INR | ↑ 28% ↑ 30% ↑ 7% | ↑ 14% ↑ 15% ↑ 22% |
| No dosing adjustments required for the following: | |||||
| Atorvastatin | 20 mg single dose | 60 mg QD × 7 days | Atorvastatin acid | ↑ 52% ↑ 11% | ↑63% ↑19% |
| 20 mg single dose | 10 mg QD × 7 days | Atorvastatin acid | |||
| Rosuvastatin | 20 mg single dose 20 mg single dose | 60 mg QD × 7 days 10 mg QD × 7 days | Rosuvastatin Rosuvastatin | ↑ 32% ↑ 2% | ↑ 4% ↑ 6% |
| Fenofibrate, micronized | 145 mg single dose | 10 mg QD × 7 days | Fenofibric acid | ↓ 10% | ↓29% |
| Ezetimibe | 10 mg single dose | 10 mg QD × 7 days | Total ezetimibe | ↑ 6% | ↑ 3% |
| Extended release niacin | 1000 mg single dose | 10 mg QD × 7 days | Nicotinic acid Nicotinuric acid | ↑ 10% ↓ 21% | ↑ 11% ↓ 15% |
| Ethinyl estradiol | 0.035 mg QD × 28 days | 50 mg QD × 8 days | Ethinyl estradiol | ↓ 8% | ↓ 8% |
| Norgestimate | 0.25 mg QD × 28 days | 50 mg QD × 8 days | 17-Deacetyl norgestimate | ↑ 6% | ↑ 2% |
In a 2-year dietary carcinogenicity study in mice, lomitapide was administered at doses of 0.3, 1.5, 7.5, 15, or 45 mg/kg/day. There were statistically significant increases in the incidences of liver adenomas and carcinomas in males at doses ≥1.5 mg/kg/day (≥2-times the MRHD at 60 mg based on AUC) and in females at ≥7.5 mg/kg/day (≥10-times the human exposure at 60 mg based on AUC). Incidences of small intestinal carcinomas in males and combined adenomas and carcinomas in females were significantly increased at doses ≥15 mg/kg/day (≥23-times the human exposure at 60 mg based on AUC).
In a 2-year carcinogenicity study in rats, lomitapide was administered by oral gavage for up to 99 weeks at doses of 0.25, 1.7, or 7.5 mg/kg/day in males and 0.03, 0.35, or 2.0 mg/kg/day in females. While the design of the study was suboptimal, there were no statistically significant drug-related increases in tumor incidences at exposures up to 6-times (males) and 8-times (females) higher than human exposure at the MRHD based on AUC.
Lomitapide did not exhibit genotoxic potential in a battery of studies, including the in vitro Bacterial Reverse Mutation (Ames) assay, an in vitro cytogenetics assay using primary human lymphocytes, and an oral micronucleus study in rats.
Lomitapide had no effect on fertility in rats at doses up to 5 mg/kg/day at systemic exposures estimated to be 4-times (females) and 5-times (males) higher than in humans at 60 mg based on AUC.
Adults with HoFH
The safety and effectiveness of JUXTAPID as an adjunct to a low-fat diet and other lipid-lowering treatments, including LDL apheresis where available, were evaluated in a multinational, single-arm, open-label, 78-week trial involving 29 adults with HoFH. A diagnosis of HoFH was defined by the presence of at least one of the following clinical criteria: (1) documented functional mutation(s) in both LDL receptor alleles or alleles known to affect LDL receptor functionality, or (2) skin fibroblast LDL receptor activity <20% normal, or (3) untreated TC >500 mg/dL and TG <300 mg/dL and both parents with documented untreated TC >250 mg/dL.
Among the 29 patients enrolled, the mean age was 31 years (range, 18 to 55 years), 16 (55%) were male, and the majority (86%) were White. The mean body mass index (BMI) was 25.8 kg/m2, with four patients meeting BMI criteria for obesity; one patient had type 2 diabetes. Concomitant lipid-lowering treatments at baseline included one or more of the following: statins (93%), ezetimibe (76%), nicotinic acid (10%), bile acid sequestrant (3%), and fibrate (3%); 18 (62%) were receiving apheresis.
After a six-week run-in period to stabilize lipid-lowering treatments, including the establishment of an LDL apheresis schedule if applicable, JUXTAPID was initiated at 5 mg daily and titrated to daily doses of 10 mg, 20 mg, 40 mg, and 60 mg at weeks 2, 6, 10, and 14, respectively, based on tolerability and acceptable levels of transaminases. Patients were instructed to maintain a low-fat diet (<20% calories from fat) and to take dietary supplements that provided approximately 400 international units vitamin E, 210 mg ALA, 200 mg linoleic acid, 110 mg EPA, and 80 mg (DHA per day [see Dosage and Administration (2.2), Warnings and Precautions (5.4)]. After efficacy was assessed at Week 26, patients remained on JUXTAPID for an additional 52 weeks to assess long-term safety. During this safety phase, the dose of JUXTAPID was not increased above each patient's maximum tolerated dose established during the efficacy phase, but changes to concomitant lipid-lowering treatments were allowed.
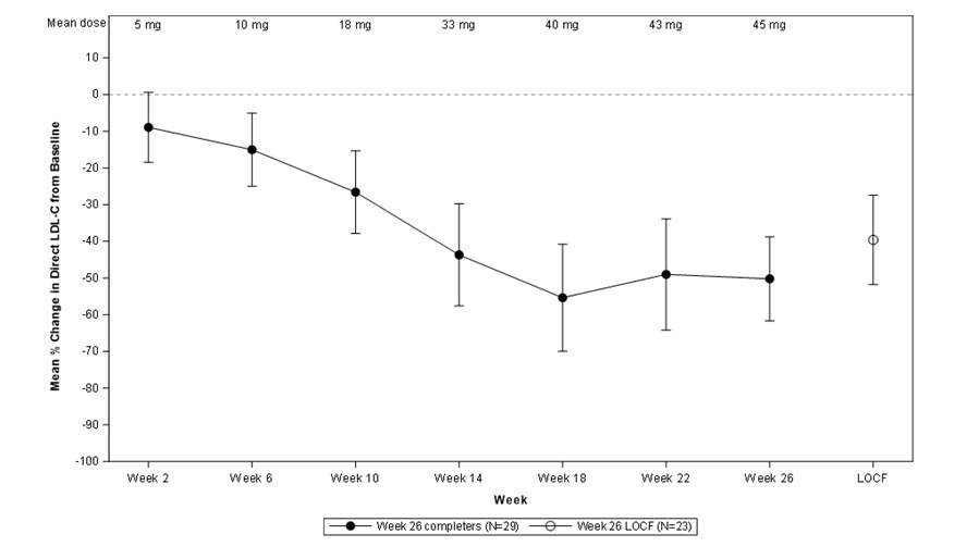
Twenty-three (79%) patients completed the efficacy endpoint at Week 26, all of whom went on to complete 78 weeks of treatment. Adverse events contributed to premature discontinuation for five patients [see Adverse Reactions (6.1)]. The maximum tolerated doses during the efficacy period were 5 mg (10%), 10 mg (7%), 20 mg (21%), 40 mg (24%), and 60 mg (34%).
The primary efficacy endpoint was percent change in LDL-C from baseline to Week 26. At Week 26, the mean and median percent changes in LDL-C from baseline were -40% (paired t-test p<0.001) and -50%, respectively, based on the intent-to-treat population with last observation carried forward (LOCF) for patients who discontinued prematurely. The mean percent change in LDL-C from baseline through Week 26 is shown in Figure 1 for the 23 patients who completed the efficacy period.
| Figure 1: Mean Percent Change in LDL-C from Baseline (Week 26 Completers) |
|---|
| Error bars represent 95% confidence intervals of the mean. |
![]() |
Changes in lipids and lipoproteins through the efficacy endpoint at Week 26 are presented in Table 14.
| PARAMETER | BASELINE | WEEK 26/LOCF (N=29) |
|
|---|---|---|---|
| Mean (SD) | Mean (SD) | Mean % Change | |
|
|
|||
| LDL-C, direct (mg/dL) | 336 (114) | 190 (104) | -40 * |
| TC (mg/dL) | 430 (135) | 258 (118) | -36 * |
| apo B (mg/dL) | 259 (80) | 148 (74) | -39 * |
| Non-HDL-C (mg/dL) | 386 (132) | 217 (113) | -40 |
| VLDL-C (mg/dL) | 21 (10) | 13 (9) | -29 |
| TG (mg/dL)† | 92 [72, 128] | 57 [36, 78] | -45 * |
| HDL-C (mg/dL) | 44 (11) | 41 (13) | -7 |
After Week 26, during the safety phase of the trial, adjustments to concomitant lipid-lowering treatments were allowed. For the study population overall, average reductions in LDL-C, TC, apo B, and non-HDL-C were sustained during chronic therapy.
Pediatric Patients with HoFH
A single-arm, open-label, 104-week trial evaluated the efficacy of JUXTAPID when co-administered with a low-fat diet in pediatric patients aged 5 to 17 years of age with HoFH on stable lipid lowering therapy (LLT), including low density lipoprotein (LDL) apheresis, when applicable. A diagnosis of HoFH was defined by any of the following criteria: (1) genetic confirmation of 2 mutant alleles at the LDLR, apo B, PCSK9, or LDLR adapter protein 1 (LDLRAP1) gene loci, or (2) an untreated LDL-C >500 mg/dL or treated LDL-C ≥300 mg/dL together with either a cutaneous or tendon xanthoma before age 10 years or untreated LDL-C levels consistent with heterozygous familial hypercholesterolemia in both parents.
A total of 43 patients (19 males, 44% and 24 females, 56%) between 5 and 17 years of age (mean age of 11 years) were treated in this trial. The majority (98%) of patients were White (one [2%] patient was Black or African American and one [2%] patient identified as Hispanic/Latino ethnicity). The mean BMI was 19 kg/m2. Concomitant LLT at baseline included one or more of the following: statins (91%), ezetimibe (74%), and evolocumab (12%); 19 (44%) patients were receiving apheresis through Week 24.
The trial consisted of a 6-week run-in period, followed by a 24-week efficacy phase, and then an 80-week safety phase. The dose of JUXTAPID was escalated from an age-dependent starting dose to a maximum tolerated dose as applicable to the pediatric age group (see Table 2). Patients were instructed to maintain a low-fat diet (<20% calories from fat or <30g fat, whichever was the lesser amount) and to take dietary supplements that provided vitamin E (200 IU for patients for 5 to 8 years of age, 400 IU for patients 9 years of age and older) and approximately 200 mg linoleic acid, 210 mg ALA, 110 mg EPA, and 80 mg DHA [see Dosage and Administration 2.2, Warnings and Precautions (5.4)]. After Week 24, patients entered the 80-week safety phase and remained on JUXTAPID to determine the effects of longer-term treatment. At the discretion of the investigator, patients were allowed to change their background LLT and/or increase the JUXTAPID dose (in exceptional cases only) during the safety phase. There was no significant change in LLTs, however apheresis was reduced or discontinued in 47% of patients receiving apheresis at Week 24 (refer to the subgroup analysis below which showed that mean LDL-C levels in the LDL apheresis group showed a gradual increase over time when apheresis was reduced or discontinued).
Forty-six (46) patients were enrolled, of whom 43 completed the run-in period, 41 completed Week 24, and 39 completed the safety phase. In the efficacy phase, 95% of patients aged 5 to 10 years received the MTD of 20 mg, 76% of patients aged 11 to 15 years received the MTD of 40 mg, and 50% of patients aged 16 to 17 years received the MTD of 60 mg but had to down-titrate soon after reaching this dose.
The primary endpoint was percent change in LDL-C from baseline to Week 24. At Week 24, the mean percent change in LDL-C from baseline was -49% (95% CI: -59%, -38%) (see Figure 2 which presents mean percentage change from baseline of observed LDL-C values).
Figure 2: Observed Mean Percent Change in LDL-C from Baseline in Pediatric Patients Aged 5 to 17 years

Subgroup analysis was carried out on patients aged 5 to 10 years (N=20) and 11 to 17 years (N=23). Mean decreases from baseline in LDL-C at Week 24 were 52% and 46%, respectively. Subgroup analysis also demonstrated mean decreases from baseline in LDL-C at Week 24 of approximately 36% in patients receiving LDL apheresis at baseline and 62% in patients not receiving LDL apheresis at baseline. During the long-term treatment (over 2 years), mean LDL-C levels in the LDL apheresis group showed a gradual increase over time.
The key secondary endpoint was the mean percent change in lipid parameters (non-HDL-C, total cholesterol, VLDL-C, apo B, and triglycerides) from baseline to Week 24. At Week 24, there were mean percent decreases from baseline in each of the lipid parameters assessed (summarized in Table 15).
| PARAMETER (UNITS) | BASELINE | WEEK 24 (N = 43) | |
|---|---|---|---|
| MEAN (SD) | MEAN (95% CI) | % CHANGE (95% CI) |
|
| LDL-C = Low Density Lipoprotein-C; SD = standard deviation Missing values at Week 24 were imputed using a return to baseline multiple imputation approach. |
|||
| LDL-C, direct (mg/dL) | 436 (189) | 195 (160, 230) | -49 (-59%, -38%) |
| Total Cholesterol (TC) (mg/dL) | 486 (188) | 237 (200, 275) | -45 (-55%, -36%) |
| Apolipoprotein B (apo B) (mg/dL) | 317 (133) | 146 (121, 171) | -48 (-58%, -37%) |
| Triglycerides (TG) (mg/dL) | 92 (39) | 45 (37, 53) | -46 (-57%, -35%) |
| Non-high-density lipoprotein cholesterol (Non-HDL-C) (mg/dL) | 454 (192) | 204 (167, 241) | -49 (-59%, -39%) |
| Very-low-density lipoprotein cholesterol (VLDL-C) (mg/dL) | 18 (8) | 9 (7, 11) | -46 (-57%, -36%) |
Average reductions in LDL-C, TC, apo B, TG, non-HDL-C, and VLDL-C were sustained during long-term treatment (over 2 years) particularly in patients not receiving LDL apheresis at baseline.
How Supplied
JUXTAPID strengths are available as follows:
| Capsule Strength | Description | Package Configuration | NDC Number |
|---|---|---|---|
| 2 mg | Grey/grey hard gelatin capsule printed with black ink "A733" and "2 mg" | Bottles of 28 capsules | 10122-402-28 |
| 5 mg | Orange/orange hard gelatin capsule printed with black ink "A733" and "5 mg" | Bottles of 28 capsules | 10122-405-28 |
| 10 mg | Orange/white hard gelatin capsule printed with black ink "A733" and "10 mg" | Bottles of 28 capsules | 10122-410-28 |
| 20 mg | White/white hard gelatin capsule printed with black ink "A733" and "20 mg" | Bottles of 28 capsules | 10122-420-28 |
| 30 mg | Orange/yellow hard gelatin capsule printed with black ink "A733" and "30 mg" | Bottles of 28 capsules | 10122-430-28 |
Storage and Handling
Store at 20°C to 25°C (68°F to 77°F); excursions permitted between 15°C and 30°C (between 59°F and 86°F). Brief exposure to temperatures up to 40°C (104°F) may be tolerated provided the mean kinetic temperature does not exceed 25°C (77°F); however, such exposure should be minimized. Keep container tightly closed and protect from moisture.
See FDA-approved labeling (Medication Guide)
Patients or their caregiver(s) should be informed that a registry for patients taking JUXTAPID has been established to monitor and evaluate the long-term effects of JUXTAPID. Patients or their caregiver(s) are encouraged to participate in the registry and should be informed that their participation is voluntary. For information regarding the registry program visit www.JUXTAPID.com or call 1-877-902-4099.
Advise patients of the following:
Risk of Hepatotoxicity [see Warnings and Precautions (5.1)]
JUXTAPID REMS Program [see Warnings and Precautions (5.2)]
JUXTAPID is only available through a restricted program called JUXTAPID REMS Program and therefore, JUXTAPID is only available from certified pharmacies that are enrolled in the program.
Embryofetal Toxicity [see Warnings and Precautions (5.3), Drug Interactions (7.2), Use in Specific Populations (8.1, 8.3)]
Lactation [see Use in Specific Populations (8.2)]
Advise female patients not to breastfeed during treatment with JUXTAPID.
Dietary Supplements [see Warnings and Precautions (5.4)]
Gastrointestinal Adverse Reactions [see Warnings and Precautions (5.5)]
Drug Interactions [see Warnings and Precautions (5.6, 5.7) and Drug Interactions (7)]
Missed Doses
| This Medication Guide has been approved by the U.S. Food and Drug Administration. | Revised: 02/2026 70015629-017465-00 |
||
| Medication Guide JUXTAPID® (JUKS-tuh-pid) (lomitapide) capsules, for oral use |
|||
| What is the most important information I should know about JUXTAPID? | |||
|
|||
| JUXTAPID may cause serious side effects including: | |||
|
|||
| What is JUXTAPID?
JUXTAPID is a prescription medicine used along with a low-fat diet, exercise, and other low-density lipoprotein cholesterol (LDL-C) lowering medicines to reduce LDL-C in adults and children 2 years of age and older with a type of high cholesterol called homozygous familial hypercholesterolemia (HoFH). It is not known if JUXTAPID is safe and effective in people with kidney problems including people with end-stage kidney disease who are not on dialysis. It is not known if JUXTAPID is safe and effective when used in children under the age of 2. |
|||
| Who should not take JUXTAPID?
Do not take JUXTAPID if you:
|
|||
| What should I tell my doctor before taking JUXTAPID?
Before you take JUXTAPID, tell your healthcare provider about all of your medical conditions, including if you:
|
|||
| Tell your healthcare provider about all the medicines you take, including prescription and over-the-counter medicines, vitamins, and herbal supplements. Before starting a new medicine while taking JUXTAPID, even if you will only be taking it for a short time, ask your healthcare provider or pharmacist if it is safe to take with JUXTAPID. JUXTAPID may affect the way other medicines work, and other medicines may affect how JUXTAPID works. Certain medicines can affect how your liver breaks down other medicines. Especially tell your healthcare provider if you take:
|
|||
How should I take JUXTAPID?
|
|||
| What are the possible side effects of JUXTAPID? JUXTAPID can cause serious side effects, including:
|
|||
| The most common side effects of JUXTAPID in adults and children 5 years and older include: | |||
|
|
|
|
| Tell your healthcare provider if you have any side effect that bothers you or that does not go away. These are not all the possible side effects of JUXTAPID. For more information, ask your healthcare provider or pharmacist. Call your doctor for medical advice about side effects. You may report side effects to FDA at 1-800-FDA-1088. |
|||
How should I store JUXTAPID?
|
|||
| General information about the safe and effective use of JUXTAPID.
Medicines are sometimes prescribed for purposes other than those listed in a Medication Guide. Do not use JUXTAPID for a condition for which it was not prescribed. Do not give JUXTAPID to other people, even if they have the same symptoms you have. It may harm them. This Medication Guide summarizes the most important information about JUXTAPID. You can ask your pharmacist or healthcare provider for information about JUXTAPID that is written for health professionals. For more information, go to www.JUXTAPID.com or call 1-85-JUXTAPID (1-855-898-2743). |
|||
| What are the ingredients in JUXTAPID?
Active ingredient: lomitapide mesylate Inactive ingredients: pregelatinized starch, sodium starch glycolate, microcrystalline cellulose, lactose monohydrate, silicon dioxide, magnesium stearate Capsule shell: The capsule shells of all strengths contain gelatin and titanium dioxide; the 2 mg capsules contain black iron oxide; the 5 mg, 10 mg and 30 mg capsules also contain red iron oxide; and the 30 mg capsules also contain yellow iron oxide. The imprinting ink contains shellac, black iron oxide, and propylene glycol. |
|||
| Chiesi | JUXTAPID is a registered trademark owned by the Chiesi Group ©2026 Chiesi USA. All rights reserved. Manufactured for: Chiesi Farmaceutici S.p.A., Parma, Italy. |
||
NDC: 10122-402-28
Rx Only
28 capsules
Juxtapid®
(lomitapide) capsules
2 mg
Attention Pharmacist:
Dispense the accompanying
Medication Guide to each patient.

NDC: 10122-405-28
Rx Only
28 capsules
Juxtapid®
(lomitapide) capsules
5 mg
Attention Pharmacist:
Dispense the accompanying
Medication Guide to each patient.
Chiesi

NDC: 10122-410-28
Rx Only
28 capsules
Juxtapid®
(lomitapide) capsules
10 mg
Attention Pharmacist:
Dispense the accompanying
Medication Guide to each patient.
Chiesi

NDC: 10122-420-28
Rx Only
28 capsules
Juxtapid®
(lomitapide) capsules
20 mg
Attention Pharmacist:
Dispense the accompanying
Medication Guide to each patient.
Chiesi

NDC: 10122-430-28
Rx Only
28 capsules
Juxtapid®
(lomitapide) capsules
30 mg
Attention Pharmacist:
Dispense the accompanying
Medication Guide to each patient.
Chiesi

| JUXTAPID
lomitapide mesylate capsule |
||||||||||||||||||
|
||||||||||||||||||
|
||||||||||||||||||
|
||||||||||||||||||
|
||||||||||||||||||
|
||||||||||||||||||
| JUXTAPID
lomitapide mesylate capsule |
||||||||||||||||||
|
||||||||||||||||||
|
||||||||||||||||||
|
||||||||||||||||||
|
||||||||||||||||||
|
||||||||||||||||||
| JUXTAPID
lomitapide mesylate capsule |
||||||||||||||||||
|
||||||||||||||||||
|
||||||||||||||||||
|
||||||||||||||||||
|
||||||||||||||||||
|
||||||||||||||||||
| JUXTAPID
lomitapide mesylate capsule |
||||||||||||||||||
|
||||||||||||||||||
|
||||||||||||||||||
|
||||||||||||||||||
|
||||||||||||||||||
|
||||||||||||||||||
| JUXTAPID
lomitapide mesylate capsule |
||||||||||||||||||
|
||||||||||||||||||
|
||||||||||||||||||
|
||||||||||||||||||
|
||||||||||||||||||
|
||||||||||||||||||
| Labeler - Chiesi USA, Inc. (088084228) |
Mark Image Registration | Serial | Company Trademark Application Date |
|---|---|
![]() JUXTAPID 97193314 not registered Live/Pending |
Amryt Pharmaceuticals Inc. 2021-12-28 |
![]() JUXTAPID 97193306 not registered Live/Pending |
Amryt Pharmaceuticals Inc. 2021-12-28 |
![]() JUXTAPID 85981114 4512713 Live/Registered |
Aegerion Pharmaceuticals, Inc. 2013-02-22 |
![]() JUXTAPID 85980934 4508190 Live/Registered |
Aegerion Pharmaceuticals, Inc. 2012-12-14 |
![]() JUXTAPID 85857475 not registered Dead/Abandoned |
Aegerion Pharmaceuticals, Inc. 2013-02-22 |
![]() JUXTAPID 85802929 not registered Dead/Abandoned |
Aegerion Pharmaceuticals, Inc. 2012-12-14 |