Dapagliflozin is a sodium-glucose cotransporter 2 (SGLT2) inhibitor indicated:
Limitations of use:
To report SUSPECTED ADVERSE REACTIONS, contact Lupin Pharmaceuticals, Inc. at 1-800-399-2561 or FDA at 1-800-FDA-1088 or www.fda.gov/medwatch
See full prescribing information for information on drug interactions and interference of dapagliflozin tablets with laboratory tests. (7)
Pediatric use information is approved for AstraZeneca AB's Xigduo® XR (dapagliflozin and metformin hydrochloride) Extended-Release Tablets. However, due to AstraZeneca AB's marketing exclusivity rights, this drug product is not labeled with that information.
See 17 for PATIENT COUNSELING INFORMATION and Medication Guide.
Revised: 4/2026
Pediatric use information is approved for AstraZeneca AB's Farxiga® (dapagliflozin) Tablets. However, due to AstraZeneca AB's marketing exclusivity rights, this drug product is not labeled with that information.
In adults with type 2 diabetes mellitus, the recommended starting dosage of dapagliflozin tablets is 5 mg orally once daily to improve glycemic control. For additional glycemic control, the dosage can be increased to 10 mg orally once daily.
For Adult Patients with Type 2 Diabetes Mellitus and Renal Impairment:
Pediatric use information is approved for AstraZeneca AB's Farxiga® (dapagliflozin) Tablets. However, due to AstraZeneca AB's marketing exclusivity rights, this drug product is not labeled with that information.
The recommended dosage of dapagliflozin tablets is 10 mg orally once daily in adults for the following indications:
For Adults with Renal Impairment Receiving Dapagliflozin Tablets for Indications Other than Glycemic Control:
Withhold dapagliflozin tablets for at least 3 days, if possible, prior to major surgery or procedures associated with prolonged fasting. Resume dapagliflozin tablets when the patient is clinically stable and has resumed oral intake [see Warnings and Precautions (5.1) and Clinical Pharmacology (12.2)].
Dapagliflozin tablets is contraindicated in patients with a history of a serious hypersensitivity reaction to dapagliflozin or any of the excipients in dapagliflozin tablets. Serious hypersensitivity reactions, including anaphylaxis and angioedema have been reported with dapagliflozin tablets [see Adverse Reactions (6.1)].
In patients with type 1 diabetes mellitus, dapagliflozin tablets significantly increases the risk of diabetic ketoacidosis, a life-threatening event, beyond the background rate. In placebo-controlled trials of patients with type 1 diabetes mellitus, the risk of ketoacidosis was markedly increased in patients who received sodium-glucose cotransporter 2 (SGLT2) inhibitors compared to patients who received placebo. Dapagliflozin is not indicated for glycemic control in patients with type 1 diabetes mellitus.
Type 2 diabetes mellitus and pancreatic disorders (e.g., history of pancreatitis or pancreatic surgery) are also risk factors for ketoacidosis. There have been postmarketing reports of fatal events of ketoacidosis in patients with type 2 diabetes mellitus using SGLT2 inhibitors, including dapagliflozin tablets.
Precipitating conditions for diabetic ketoacidosis or other ketoacidosis include under-insulinization due to insulin dose reduction or missed insulin doses, acute febrile illness, reduced caloric intake, ketogenic diet, surgery, volume depletion, and alcohol abuse.
Signs and symptoms are consistent with dehydration and severe metabolic acidosis and include nausea, vomiting, abdominal pain, generalized malaise, and shortness of breath. Blood glucose levels at presentation may be below those typically expected for diabetic ketoacidosis (e.g., less than 250 mg/dL). Ketoacidosis and glucosuria may persist longer than typically expected. Urinary glucose excretion persists for 3 days after discontinuing dapagliflozin tablets [see Clinical Pharmacology (12.2)]; however, there have been postmarketing reports of ketoacidosis and/or glucosuria lasting greater than 6 days and some up to 2 weeks after discontinuation of SGLT2 inhibitors.
Consider ketone monitoring in patients with type 1 diabetes mellitus and consider ketone monitoring in others at risk for ketoacidosis if indicated by the clinical situation. Assess for ketoacidosis regardless of presenting blood glucose levels in patients who present with signs and symptoms consistent with severe metabolic acidosis. If ketoacidosis is suspected, discontinue dapagliflozin tablets, promptly evaluate, and treat ketoacidosis, if confirmed. Monitor patients for resolution of ketoacidosis before restarting dapagliflozin tablets.
Withhold dapagliflozin tablets, if possible, in temporary clinical situations that could predispose patients to ketoacidosis. Resume dapagliflozin tablets when the patient is clinically stable and has resumed oral intake [see Dosage and Administration (2.4)].
Educate all patients on the signs and symptoms of ketoacidosis and instruct patients to discontinue dapagliflozin tablets and seek medical attention immediately if signs and symptoms occur.
Dapagliflozin can cause intravascular volume depletion which may sometimes manifest as symptomatic hypotension or acute transient changes in creatinine. There have been post-marketing reports of acute kidney injury, some requiring hospitalization and dialysis, in patients with type 2 diabetes mellitus receiving SGLT2 inhibitors, including dapagliflozin. Patients with impaired renal function (eGFR less than 60 mL/min/1.73 m2), elderly patients, or patients on loop diuretics may be at increased risk for volume depletion or hypotension. Before initiating dapagliflozin tablets in patients with one or more of these characteristics, assess volume status and renal function. Monitor for signs and symptoms of hypotension, and renal function after initiating therapy.
Serious urinary tract infections including urosepsis and pyelonephritis requiring hospitalization have been reported in patients receiving SGLT2 inhibitors, including dapagliflozin tablets. Treatment with SGLT2 inhibitors increases the risk for urinary tract infections. Evaluate patients for signs and symptoms of urinary tract infections and treat promptly, if indicated [see Adverse Reactions (6)].
Insulin and insulin secretagogues (e.g., sulfonylureas) are known to cause hypoglycemia. Dapagliflozin tablets may increase the risk of hypoglycemia when combined with insulin or an insulin secretagogue [see Adverse Reactions (6.1)]. Therefore, a lower dose of insulin or insulin secretagogue may be required to minimize the risk of hypoglycemia when these agents are used in combination with dapagliflozin tablets [see Drug Interactions (7)].
Reports of necrotizing fasciitis of the perineum (Fournier's Gangrene), a rare but serious and life-threatening necrotizing infection requiring urgent surgical intervention, have been identified in postmarketing surveillance in patients with diabetes mellitus receiving SGLT2 inhibitors, including dapagliflozin tablets. Cases have been reported in both females and males. Serious outcomes have included hospitalization, multiple surgeries, and death.
Patients treated with dapagliflozin tablets presenting with pain or tenderness, erythema, or swelling in the genital or perineal area, along with fever or malaise, should be assessed for necrotizing fasciitis. If suspected, start treatment immediately with broad-spectrum antibiotics and, if necessary, surgical debridement. Discontinue dapagliflozin tablets, closely monitor blood glucose levels, and provide appropriate alternative therapy for glycemic control.
Dapagliflozin tablets increases the risk of genital mycotic infections. Patients with a history of genital mycotic infections were more likely to develop genital mycotic infections [see Adverse Reactions (6.1)]. Monitor and treat appropriately.
The following important adverse reactions are described below and elsewhere in the labeling:
Because clinical trials are conducted under widely varying conditions, adverse reaction rates observed in the clinical trials of a drug cannot be directly compared to rates in the clinical trials of another drug and may not reflect the rates observed in clinical practice.
Dapagliflozin has been evaluated in clinical trials in adult patients with type 2 diabetes mellitus. The overall safety profile of dapagliflozin was consistent across the studied indications. Severe hypoglycemia and diabetic ketoacidosis (DKA) were observed only in patients with diabetes mellitus.
Clinical Trials for Glycemic Control in Adult Patients with Type 2 Diabetes Mellitus
Pool of 12 Placebo-Controlled Adult Trials for dapagliflozin tablets, 5 and 10 mg for Glycemic Control
The data in Table 1 is derived from 12 glycemic control placebo-controlled trials in adult patients with type 2 diabetes mellitus ranging from 12 to 24 weeks. In 4 trials dapagliflozin was used as monotherapy, and in 8 trials dapagliflozin was used as add-on to background antidiabetic therapy or as combination therapy with metformin [see Clinical Studies (14.1)].
These data reflect exposure of 2338 adult patients to dapagliflozin with a mean exposure duration of 21 weeks. Patients received placebo (N=1393), dapagliflozin tablets, 5 mg (N=1145), or dapagliflozin tablets, 10 mg (N=1193) once daily. The mean age of the population was 55 years and 2% were older than 75 years of age. Fifty percent (50%) of the population were male; 81% were White, 14% were Asian, and 3% were Black or African American. At baseline, the population had diabetes for an average of 6 years, had a mean hemoglobin A1c (HbA1c) of 8.3%, and 21% had established microvascular complications of diabetes. Baseline renal function was normal or mildly impaired in 92% of patients and moderately impaired in 8% of patients (mean eGFR 86 mL/min/1.73 m2).
Table 1 shows common adverse reactions in adults associated with the use of dapagliflozin tablets. These adverse reactions were not present at baseline, occurred more commonly on dapagliflozin tablets than on placebo, and occurred in at least 2% of patients treated with either dapagliflozin tablets, 5 mg or dapagliflozin tablets, 10 mg.
|
|
|||
| % of Patients
|
|||
| Pool of 12 Placebo-Controlled Trials
|
|||
| Adverse Reaction
| Placebo N=1393
| Dapagliflozin Tablets,
5 mg N=1145 | Dapagliflozin Tablets,
10 mg N=1193 |
| Female genital mycotic infections*
| 1.5 | 8.4 | 6.9 |
| Nasopharyngitis | 6.2 | 6.6 | 6.3 |
| Urinary tract infections†
| 3.7 | 5.7 | 4.3 |
| Back pain | 3.2 | 3.1 | 4.2 |
| Increased urination‡
| 1.7 | 2.9 | 3.8 |
| Male genital mycotic infections§
| 0.3 | 2.8 | 2.7 |
| Nausea | 2.4 | 2.8 | 2.5 |
| Influenza | 2.3 | 2.7 | 2.3 |
| Dyslipidemia | 1.5 | 2.1 | 2.5 |
| Constipation | 1.5 | 2.2 | 1.9 |
| Discomfort with urination | 0.7 | 1.6 | 2.1 |
| Pain in extremity | 1.4 | 2 | 1.7 |
Pool of 13 Placebo-Controlled Adult Trials for Dapagliflozin Tablets, 10 mg for Glycemic Control
Dapagliflozin tablets, 10 mg was also evaluated in a larger glycemic control placebo-controlled trial pool in adult patients with type 2 diabetes mellitus. This pool combined 13 placebo-controlled trials, including 3 monotherapy trials, 9 add-on to background antidiabetic therapy trials, and an initial combination with metformin trial. Across these 13 trials, 2360 patients were treated once daily with dapagliflozin tablets, 10 mg for a mean duration of exposure of 22 weeks. The mean age of the population was 59 years and 4% were older than 75 years. Fifty-eight percent (58%) of the population were male; 84% were White, 9% were Asian, and 3% were Black or African American. At baseline, the population had diabetes for an average of 9 years, had a mean HbA1c of 8.2%, and 30% had established microvascular disease. Baseline renal function was normal or mildly impaired in 88% of patients and moderately impaired in 11% of patients (mean eGFR 82 mL/min/1.73 m2).
Other Adverse Reactions in Adult Patients with Type 2 Diabetes Mellitus
Volume Depletion
Dapagliflozin causes an osmotic diuresis, which may lead to a reduction in intravascular volume. Adverse reactions related to volume depletion (including reports of dehydration, hypovolemia, orthostatic hypotension, or hypotension) in adult patients with type 2 diabetes mellitus for the 12-trial and 13-trial, short-term, placebo-controlled pools and for the DECLARE trial are shown in Table 2 [see Warnings and Precautions (5.2)].
|
|
|||||||
|
| Pool of 12 Placebo-Controlled Trials
| Pool of 13 Placebo- Controlled
Trials | DECLARE Trial
|
||||
|
| Placebo
| Dapagliflozin Tablets
5 mg | Dapagliflozin Tablets
10 mg | Placebo
| Dapagliflozin Tablets
10 mg | Placebo
| Dapagliflozin Tablets
10 mg |
| Overall
| N=1393 | N=1145 | N=1193 | N=2295 | N=2360 | N=8569 | N=8574 |
| population N (%)
| 5 | 7 | 9 | 17 | 27 | 207 | 213 |
| (0.4%) | (0.6%) | (0.8%) | (0.7%) | (1.1%) | (2.4%) | (2.5%) |
|
| Patient Subgroup n (%)
|
|||||||
| Patients on loop | n=55 | n=40 | n=31 | n=267 | n=236 | n=934 | n=866 |
| diuretics | 1 | 0 | 3 | 4 | 6 | 57 | 57 |
| (1.8%) | (9.7%) | (1.5%) | (2.5%) | (6.1%) | (6.6%) |
||
| Patients with | n=107 | n=107 | n=89 | n=268 | n=265 | n=658 | n=604 |
| moderate renal | 2 | 1 | 1 | 4 | 5 | 30 | 35 |
| impairment with | (1.9%) | (0.9%) | (1.1%) | (1.5%) | (1.9%) | (4.6%) | (5.8%) |
| eGFR ≥30 and |
|||||||
| <60mL/min/ 1.73 m2 |
|||||||
| Patients ≥65 years | n=276 | n=216 | n=204 | n=711 | n=665 | n=3950 | n=3948 |
| of age | 1 | 1 | 3 | 6 | 11 | 121 | 117 |
| (0.4%) | (0.5%) | (1.5%) | (0.8%) | (1.7%) | (3.1%) | (3%) |
|
The frequency of hypoglycemia by trial in adult patients with type 2 diabetes mellitus [see Clinical Studies (14.1)] is shown in Table 3. Hypoglycemia was more frequent when dapagliflozin was added to sulfonylurea or insulin [see Warnings and Precautions (5.4)].
|
|
|||
|
| Placebo/Active Control
| Dapagliflozin Tablets
5 mg | Dapagliflozin Tablets
10 mg |
| Monotherapy (24 weeks)
| N=75
| N=64
| N=70
|
| Severe [n (%)] | 0 | 0 | 0 |
| Glucose <54 mg/dL [n (%)] | 0 | 0 | 0 |
| Add-on to Metformin (24 weeks)
| N=137
| N=137
| N=135
|
| Severe [n (%)] | 0 | 0 | 0 |
| Glucose <54 mg/dL [n (%)] | 0 | 0 | 0 |
| Add-on to Glimepiride (24 weeks)
| N=146
| N=145
| N=151
|
| Severe [n (%)] | 0 | 0 | 0 |
| Glucose <54 mg/dL [n (%)] | 1 (0.7) | 3 (2.1) | 5 (3.3) |
| Add-on to Metformin and a Sulfonylurea (24 Weeks)
| N=109
| - | N=109
|
| Severe [n (%)] | 0 | - | 0 |
| Glucose <54 mg/dL [n (%)] | 3 (2.8) | - | 7 (6.4) |
| Add-on to Pioglitazone (24 weeks)
| N=139
| N=141
| N=140
|
| Severe [n (%)] | 0 | 0 | 0 |
| Glucose <54 mg/dL [n (%)] | 0 | 1 (0.7) | 0 |
| Add-on to DPP4 inhibitor (24 weeks)
| N=226
| - | N=225
|
| Severe [n (%)] | 0 | - | 1 (0.4) |
| Glucose <54 mg/dL [n (%)] | 1 (0.4) | - | 1 (0.4) |
| Add-on to Insulin with or without other OADs‡ (24 weeks)
| N=197
| N=212
| N=196
|
| Severe [n (%)] | 1 (0.5) | 2 (0.9) | 2 (1.0) |
| Glucose <54 mg/dL [n (%)] | 43 (21.8) | 55 (25.9) | 45 (23.0) |
In the DECLARE trial [see Clinical Studies (14.3)], severe events of hypoglycemia were reported in 58 (0.7%) out of 8574 adult patients treated with dapagliflozin tablets and 83 (1%) out of 8569 adult patients treated with placebo.
Genital Mycotic Infections
In the glycemic control trials in adults, genital mycotic infections were more frequent with dapagliflozin treatment. Genital mycotic infections were reported in 0.9% of patients on placebo, 5.7% on dapagliflozin tablets, 5 mg, and 4.8% on dapagliflozin tablets, 10 mg, in the 12-trial placebo- controlled pool. Discontinuation from trial due to genital infection occurred in 0% of placebo-treated patients and 0.2% of patients treated with dapagliflozin tablets, 10 mg. Infections were more frequently reported in females than in males (see Table 1). The most frequently reported genital mycotic infections were vulvovaginal mycotic infections in females and balanitis in males. Patients with a history of genital mycotic infections were more likely to have a genital mycotic infection during the trial than those with no prior history (10%, 23.1%, and 25% versus 0.8%, 5.9%, and 5% on placebo, dapagliflozin tablets, 5 mg, and dapagliflozin tablets, 10 mg, respectively). In the DECLARE trial [see Clinical Studies (14.3)], serious genital mycotic infections were reported in <0.1% of patients treated with dapagliflozin and <0.1% of patients treated with placebo. Genital mycotic infections that caused trial drug discontinuation were reported in 0.9% of patients treated with dapagliflozin and <0.1% of patients treated with placebo.
Hypersensitivity Reactions
Hypersensitivity reactions (e.g., angioedema, urticaria, hypersensitivity) were reported with dapagliflozin treatment. In glycemic control trials in adults, serious anaphylactic reactions and severe cutaneous adverse reactions and angioedema were reported in 0.2% of comparator-treated patients and 0.3% of dapagliflozin-treated patients. If hypersensitivity reactions occur, discontinue use of dapagliflozin tablets; treat per standard of care and monitor until signs and symptoms resolve.
Ketoacidosis in Patients with Diabetes Mellitus
In the DECLARE trial [see Clinical Studies (14.3)], events of diabetic ketoacidosis (DKA) were reported in 27 out of 8574 adult patients in the dapagliflozin tablets-treated group and 12 out of 8569 adult patients in the placebo group. The events were evenly distributed over the trial period.
Laboratory Tests in Adult Patients with Type 2 Diabetes Mellitus
Increases in Serum Creatinine and Decreases in eGFR
Initiation of SGLT2 inhibitors, including dapagliflozin tablets causes a small increase in serum creatinine and decrease in eGFR. These changes in serum creatinine and eGFR generally occur within two weeks of starting therapy and then stabilize regardless of baseline kidney function. Changes that do not fit this pattern should prompt further evaluation to exclude the possibility of acute kidney injury [see Warnings and Precautions (5.2)]. In two trials that included adult patients with type 2 diabetes mellitus with moderate renal impairment, the acute effect on eGFR reversed after treatment discontinuation, suggesting acute hemodynamic changes may play a role in the renal function changes observed with dapagliflozin tablets.
Increase in Hematocrit
In the pool of 13 placebo-controlled trials of glycemic control, increases from baseline in mean hematocrit values were observed in dapagliflozin tablets-treated adult patients starting at Week 1 and continuing up to Week 16, when the maximum mean difference from baseline was observed. At Week 24, the mean changes from baseline in hematocrit were −0.33% in the placebo group and 2.30% in the dapagliflozin tablets, 10 mg group. By Week 24, hematocrit values >55% were reported in 0.4% of placebo-treated patients and 1.3% of dapagliflozin tablets, 10 mg-treated patients.
Increase in Low-Density Lipoprotein Cholesterol
In the pool of 13 placebo-controlled trials of glycemic control, changes from baseline in mean lipid values were reported in dapagliflozin-treated adult patients compared to placebo-treated patients. Mean percent changes from baseline at Week 24 were 0% versus 2.5% for total cholesterol, and −1% versus 2.9% for LDL cholesterol in the placebo and dapagliflozin tablets, 10 mg groups, respectively. In the DECLARE trial [see Clinical Studies (14.3)], mean changes from baseline after 4 years were 0.4 mg/dL versus -4.1mg/dL for total cholesterol, and -2.5 mg/dL versus -4.4 mg/dL for LDL cholesterol, in dapagliflozin-treated and the placebo groups, respectively.
Decrease in Serum Bicarbonate
In a trial of concomitant therapy of dapagliflozin tablets 10 mg with exenatide extended-release (on a background of metformin) in adults, four patients (1.7%) on concomitant therapy had a serum bicarbonate value of less than or equal to 13 mEq/L compared to one each (0.4%) in the dapagliflozin tablets and exenatide-extended release treatment groups [see Warnings and Precautions (5.1)].
Pediatric use information is approved for AstraZeneca AB's Farxiga® (dapagliflozin) Tablets. However, due to AstraZeneca AB's marketing exclusivity rights, this drug product is not labeled with that information.
Additional adverse reactions have been identified during post-approval use of dapagliflozin tablets in patients with diabetes mellitus. Because these reactions are reported voluntarily from a population of uncertain size, it is generally not possible to reliably estimate their frequency or establish a causal relationship to drug exposure.
Infections:
Necrotizing fasciitis of the perineum (Fournier's Gangrene), urosepsis and pyelonephritis
Metabolism and Nutrition Disorders:
Ketoacidosis
Renal and Urinary Disorders:
Acute kidney injury
Skin and Subcutaneous Tissue Disorders:
Rash
| Insulin or Insulin Secretagogues
|
||
| Clinical
Impact | The risk of hypoglycemia may be increased when dapagliflozin tablets is used concomitantly with insulin or insulin secretagogues (e.g., sulfonylurea) [see Warnings and Precautions (5.4)] . |
|
| Intervention
| Concomitant use may require lower doses of insulin or the insulin secretagogue to reduce the risk of hypoglycemia. |
|
| Lithium
|
||
| Clinical
Impact | Concomitant use of an SGLT2 inhibitor with lithium may decrease serum lithium concentrations. |
|
| Intervention
| Monitor serum lithium concentration more frequently during dapagliflozin tablets initiation and dosage changes. |
|
| Positive Urine Glucose Test
|
||
| Clinical
Impact | SGLT2 inhibitors increase urinary glucose excretion and will lead to positive urine glucose tests. |
|
| Intervention
| Monitoring glycemic control with urine glucose tests is not recommended in patients taking SGLT2 inhibitors. Use alternative methods to monitor glycemic control. |
|
| Interference with 1,5-anhydroglucitol (1,5-AG) Assay
|
||
| Clinical
Impact | Measurements of 1,5-AG are unreliable in assessing glycemic control in patients taking SGLT2 inhibitors. |
|
| Intervention
| Monitoring glycemic control with 1,5-AG assay is not recommended. Use alternative methods to monitor glycemic control. |
|
Based on animal data showing adverse renal effects, dapagliflozin tablets are not recommended during the second and third trimesters of pregnancy.
Limited data with dapagliflozin tablets in pregnant women are not sufficient to determine drug-associated risk for major birth defects or miscarriage. There are risks to the mother and fetus associated with poorly controlled diabetes and untreated heart failure in pregnancy (see Clinical Considerations).
In animal studies, adverse renal pelvic and tubule dilatations, that were not fully reversible, were observed in rats when dapagliflozin was administered during a period of renal development corresponding to the late second and third trimesters of human pregnancy, at all doses tested; the lowest of which provided an exposure 15-times the 10 mg clinical dose (see Data).
The estimated background risk of major birth defects is 6 to 10% in women with pre-gestational diabetes with a HbA1c greater than 7% and has been reported to be as high as 20 to 25% in women with HbA1c greater than 10%. The estimated background risk of miscarriage for the indicated population is unknown. In the U.S. general population, the estimated background risk of major birth defects and miscarriage in clinically recognized pregnancies is 2 to 4% and 15 to 20%, respectively.
Clinical Considerations
Disease-associated maternal and/or embryofetal risk
Poorly controlled diabetes in pregnancy increases the maternal risk for diabetic ketoacidosis, preeclampsia, spontaneous abortions, preterm delivery and delivery complications. Poorly controlled diabetes increases the fetal risk for major birth defects, stillbirth, and macrosomia related morbidity.
Data
Animal Data
Dapagliflozin dosed directly to juvenile rats from postnatal day (PND) 21 until PND 90 at doses of 1, 15, or 75 mg/kg/day, increased kidney weights and increased the incidence of renal pelvic and tubular dilatations at all dose levels. Exposure at the lowest dose tested was 15-times the 10 mg clinical dose (based on AUC). The renal pelvic and tubular dilatations observed in juvenile animals did not fully reverse within a 1-month recovery period.
In a prenatal and postnatal development study, dapagliflozin was administered to maternal rats from gestation day 6 through lactation day 21 at doses of 1, 15, or 75 mg/kg/day, and pups were indirectly exposed in utero and throughout lactation. Increased incidence or severity of renal pelvic dilatation was observed in 21-day-old pups offspring of treated dams at 75 mg/kg/day (maternal and pup dapagliflozin exposures were 1415-times and 137-times, respectively, the human values at the 10 mg clinical dose, based on AUC). Dose-related reductions in pup body weights were observed at greater or equal to 29-times the 10 mg clinical dose (based on AUC). No adverse effects on developmental endpoints were noted at 1 mg/kg/day (19-times the 10 mg clinical dose, based on AUC). These outcomes occurred with drug exposure during periods of renal development in rats that corresponds to the late second and third trimester of human development.
In embryofetal development studies in rats and rabbits, dapagliflozin was administered throughout organogenesis, corresponding to the first trimester of human pregnancy. In rats, dapagliflozin was neither embryolethal nor teratogenic at doses up to 75 mg/kg/day (1441-times the 10 mg clinical dose, based on AUC). Dose-related effects on the rat fetus (structural abnormalities and reduced body weight) occurred only at higher dosages, equal to or greater than 150 mg/kg (more than 2344-times the 10 mg clinical dose, based on AUC), which were associated with maternal toxicity. No developmental toxicities were observed in rabbits at doses up to 180 mg/kg/day (1191-times the 10 mg clinical dose, based on AUC).
There is no information regarding the presence of dapagliflozin in human milk, the effects on the breastfed infant, or the effects on milk production. Dapagliflozin is present in the milk of lactating rats (see Data). However, due to species-specific differences in lactation physiology, the clinical relevance of these data is not clear. Since human kidney maturation occurs in utero and during the first 2 years of life when lactational exposure may occur, there may be risk to the developing human kidney.
Because of the potential for serious adverse reactions in breastfed infants, advise women that use of dapagliflozin tablet is not recommended while breastfeeding.
Data
Dapagliflozin was present in rat milk at a milk/plasma ratio of 0.49, indicating that dapagliflozin and its metabolites are transferred into milk at a concentration that is approximately 50% of that in maternal plasma. Juvenile rats directly exposed to dapagliflozin showed risk to the developing kidney (renal pelvic and tubular dilatations) during maturation.
The safety and effectiveness of dapagliflozin for glycemic control in type 2 diabetes mellitus have not been established in pediatric patients less than 10 years of age.
The safety and effectiveness of dapagliflozin have not been established in pediatric patients to reduce the risk of [see Indications and Usage (1)]:
Pediatric use information is approved for AstraZeneca AB's Farxiga® (dapagliflozin) Tablets. However, due to AstraZeneca AB's marketing exclusivity rights, this drug product is not labeled with that information.
No dapagliflozin dosage change is recommended based on age.
A total of 1424 (24%) of the 5936 dapagliflozin-treated patients were 65 years and older and 207 (3.5%) patients were 75 years and older in a pool of 21 double-blind, controlled, clinical trials assessing the efficacy of dapagliflozin in improving glycemic control in type 2 diabetes mellitus. After controlling for level of renal function (eGFR), efficacy was similar for patients under age 65 years and those 65 years and older. In patients ≥65 years of age, a higher proportion of patients treated with dapagliflozin tablets for glycemic control had adverse reactions of hypotension [see Warnings and Precautions (5.2) and Adverse Reactions (6.1)].
Dapagliflozin tablets was evaluated in two glycemic control adult trials that included patients with type 2 diabetes mellitus with moderate renal impairment (an eGFR of 45 to less than 60 mL/min/1.73 m2 [see Clinical Studies (14.1)], and an eGFR of 30 to less than 60 mL/min/1.73 m2, respectively). Patients with diabetes and renal impairment using dapagliflozin tablets may be more likely to experience hypotension and may be at higher risk for acute kidney injury secondary to volume depletion. In the trial of adult patients with an eGFR 30 to less than 60 mL/min/1.73 m2, 13 patients receiving dapagliflozin tablets experienced bone fractures compared to none receiving placebo. Use of dapagliflozin tablets for glycemic control in patients without established CV disease or CV risk factors is not recommended when eGFR is less than 45 mL/min/1.73 m2[see Dosage and Administration (2.1)]
Efficacy and safety trials with dapagliflozin tablets did not enroll patients with an eGFR less than 25 mL/min/1.73 m2 or on dialysis.
No dose adjustment is recommended for patients with mild, moderate, or severe hepatic impairment. However, the benefit-risk for the use of dapagliflozin in patients with severe hepatic impairment should be individually assessed since the safety and efficacy of dapagliflozin have not been specifically studied in this population [see Clinical Pharmacology (12.3)].
There were no reports of overdose during the clinical development program for dapagliflozin tablets.
In the event of an overdose, consider contacting the Poison Help line (1-800-222-1222) or a medical toxicologist for additional overdosage management recommendations. It is also reasonable to employ supportive measures as dictated by the patient's clinical status. The removal of dapagliflozin by hemodialysis has not been studied.
Dapagliflozin, an inhibitor of SGLT2, is described chemically as (2S,3R,4R,5S,6R)-2-(4-chloro-3-(4-ethoxybenzyl)phenyl)-6-(hydroxymethyl) tetrahydro-2H-pyran-3,4,5-triol. The empirical formula is C21H25ClO6 and the molecular weight is 408.88. The structural formula is:

Dapagliflozin tablets are available as a film-coated tablet for oral administration containing 5 mg dapagliflozin or 10 mg dapagliflozin, and the following inactive ingredients: colloidal silicon dioxide, crospovidone, lactose anhydrous, microcrystalline cellulose, povidone, and sodium stearyl fumarate. In addition, the film coating contains the following inactive ingredients: polyethylene glycol, polyvinyl alcohol, talc, titanium dioxide, and yellow iron oxide.
Sodium-glucose cotransporter 2 (SGLT2), expressed in the proximal renal tubules, is responsible for the majority of the reabsorption of filtered glucose from the tubular lumen. Dapagliflozin is an inhibitor of SGLT2. By inhibiting SGLT2, dapagliflozin reduces reabsorption of filtered glucose and thereby promotes urinary glucose excretion.
Dapagliflozin also reduces sodium reabsorption and increases the delivery of sodium to the distal tubule. This may influence several physiological functions including, but not restricted to, lowering both pre- and afterload of the heart and downregulation of sympathetic activity.
Increases in the amount of glucose excreted in the urine were observed in healthy subjects and in patients with type 2 diabetes mellitus following the administration of dapagliflozin (see Figure 1). Dapagliflozin doses of 5 or 10 mg per day in patients with type 2 diabetes mellitus for 12 weeks resulted in excretion of approximately 70 grams of glucose in the urine per day at Week 12. A near maximum glucose excretion was observed at the dapagliflozin daily dosage of 20 mg. This urinary glucose excretion with dapagliflozin also results in increases in urinary volume [see Adverse Reactions (6.1)]. After discontinuation of dapagliflozin, on average, the elevation in urinary glucose excretion approaches baseline by about 3 days for the 10 mg dosage.
Figure 1: Scatter Plot and Fitted Line of Change from Baseline in 24-Hour Urinary Glucose Amount versus Dapagliflozin Dose in Healthy Subjects and Subjects with Type 2 Diabetes Mellitus (T2DM) (Semi-Log Plot)

Dapagliflozin was not associated with clinically meaningful prolongation of QTc interval at daily doses up to 150 mg (15-times the recommended maximum dose) in a study of healthy subjects. In addition, no clinically meaningful effect on QTc interval was observed following single doses of up to 500 mg (50-times the recommended maximum dose) of dapagliflozin in healthy subjects.
Following oral administration of dapagliflozin, the maximum plasma concentration (Cmax) is usually attained within 2 hours under fasting state. The Cmax and AUC values increase dose proportionally with increase in dapagliflozin dose in the therapeutic dose range. The absolute oral bioavailability of dapagliflozin following the administration of a 10 mg dose is 78%. Administration of dapagliflozin with a high-fat meal decreases its Cmax by up to 50% and prolongs Tmax by approximately 1 hour but does not alter AUC as compared with the fasted state. These changes are not considered to be clinically meaningful and dapagliflozin can be administered with or without food.
Distribution
Dapagliflozin is approximately 91% protein bound. Protein binding is not altered in patients with renal or hepatic impairment.
Metabolism
The metabolism of dapagliflozin is primarily mediated by UGT1A9; CYP-mediated metabolism is a minor clearance pathway in humans. Dapagliflozin is extensively metabolized, primarily to yield dapagliflozin 3-O-glucuronide, which is an inactive metabolite. Dapagliflozin 3-O-glucuronide accounted for 61% of a 50 mg [14C]-dapagliflozin dose and is the predominant drug-related component in human plasma.
Elimination
Dapagliflozin and related metabolites are primarily eliminated via the renal pathway. Following a single 50 mg dose of [14C]-dapagliflozin, 75% and 21% total radioactivity is excreted in urine and feces, respectively. In urine, less than 2% of the dose is excreted as parent drug. In feces, approximately 15% of the dose is excreted as parent drug. The mean plasma terminal half-life (t½) for dapagliflozin is approximately 12.9 hours following a single oral dose of dapagliflozin tablets, 10 mg.
Specific Populations
Effects of Age, Gender, Race, and Body Weight on Pharmacokinetics
Based on a population pharmacokinetic analysis, age, gender, race, and body weight do not have a clinically meaningful effect on the pharmacokinetics of dapagliflozin and thus, no dose adjustment is recommended.
Patients with Renal Impairment
At steady-state (20 mg once daily dapagliflozin for 7 days), adult patients with type 2 diabetes with mild, moderate, or severe renal impairment (as determined by eGFR) had geometric mean systemic exposures of dapagliflozin that were 45%, 100%, and 200% higher, respectively, as compared to patients with type 2 diabetes mellitus with normal renal function. Higher systemic exposure of dapagliflozin in patients with type 2 diabetes mellitus with renal impairment did not result in a correspondingly higher 24-hour urinary glucose excretion. The steady-state 24-hour urinary glucose excretion in patients with type 2 diabetes mellitus and mild, moderate, and severe renal impairment was 42%, 80%, and 90% lower, respectively, than in patients with type 2 diabetes mellitus with normal renal function. The impact of hemodialysis on dapagliflozin exposure is not known [see Warnings and Precautions (5.2), Use in Specific Populations (8.6), and Clinical Studies (14)].
Patients with Hepatic Impairment
In adult subjects with mild and moderate hepatic impairment (Child-Pugh classes A and B), mean Cmax and AUC of dapagliflozin were up to 12% and 36% higher, respectively, as compared to healthy matched control subjects following single-dose administration of 10 mg dapagliflozin. These differences were not considered to be clinically meaningful. In adult patients with severe hepatic impairment (Child-Pugh class C), mean Cmax and AUC of dapagliflozin were up to 40% and 67% higher, respectively, as compared to healthy matched controls [see Use in Specific Populations (8.7)].
Drug Interactions
In Vitro Assessment of Drug Interactions
In in vitro studies, dapagliflozin and dapagliflozin 3-O-glucuronide neither inhibited CYP 1A2, 2C9, 2C19, 2D6, or 3A4, nor induced CYP 1A2, 2B6, or 3A4. Dapagliflozin is a weak substrate of the P-glycoprotein (P-gp) active transporter, and dapagliflozin 3-O-glucuronide is a substrate for the OAT3 active transporter. Dapagliflozin or dapagliflozin 3-O- glucuronide did not meaningfully inhibit P-gp, OCT2, OAT1, or OAT3 active transporters. Overall, dapagliflozin is unlikely to affect the pharmacokinetics of concurrently administered medications that are P-gp, OCT2, OAT1, or OAT3 substrates.
Effects of Other Drugs on Dapagliflozin
Table 5 shows the effect of coadministered drugs on the pharmacokinetics of dapagliflozin in adults. No dose adjustments are recommended for dapagliflozin.
|
↔ = no change (geometric mean ratio of test: reference within 0.80 to 1.25); ↓ or ↑ = parameter was lower or higher, respectively, with coadministration compared to dapagliflozin administered alone (geometric mean ratio of test: reference was lower than 0.80 or higher than 1.25) |
|||
|
|
|||
| Coadministered Drug (Dose Regimen) *
| Dapagliflozin (Dose Regimen)*
| Effect on Dapagliflozin Exposure
(% Change [90% CI]) |
|
| Cmax
| AUC†
|
||
| No dosing adjustments required for the following:
|
|||
| Oral Antidiabetic Agents
|
|||
| Metformin (1000 mg) | 20 mg | ↔ | ↔ |
| Pioglitazone (45 mg) | 50 mg | ↔ | ↔ |
| Sitagliptin (100 mg) | 20 mg | ↔ | ↔ |
| Glimepiride (4 mg) | 20 mg | ↔ | ↔ |
| Voglibose (0.2 mg three times daily) | 10 mg | ↔ | ↔ |
| Other Medications
|
|||
| Hydrochlorothiazide (25 mg) | 50 mg | ↔ | ↔ |
| Bumetanide (1 mg) | 10 mg once daily for 7 days | ↔ | ↔ |
| Valsartan (320 mg) | 20 mg | ↓12% [↓3%, ↓20%] | ↔ |
| Simvastatin (40 mg) | 20 mg | ↔ | ↔ |
| Anti-infective Agent
|
|||
| Rifampin (600 mg once daily for 6 days) | 10 mg | ↓7% [↓22%, ↑11%] | ↓22% [↓27%, ↓17%] |
| Nonsteroidal Anti-inflammatory Agent
|
|||
| Mefenamic Acid (loading dose of 500 mg followed by 14 doses of 250 mg every 6 hours) | 10 mg | ↑13% [↑3%, ↑24%] | ↑51% [↑44%, ↑58%] |
Effects of Dapagliflozin on Other Drugs
Table 6 shows the effect of dapagliflozin on other coadministered drugs in adults. Dapagliflozin did not meaningfully affect the pharmacokinetics of the coadministered drugs.
|
↔ = no change (geometric mean ratio of test: reference within 0.80 to 1.25); ↓ or ↑ = parameter was lower or higher, respectively, with coadministration compared to the other medicine administered alone (geometric mean ratio of test: reference was lower than 0.80 or higher than 1.25). |
|||
|
|
|||
| Coadministered Drug (Dose Regimen)*
| Dapagliflozin
(Dose Regimen)* | Effect on Coadministered Drug Exposure (% Change [90% CI])
|
|
| Cmax
| AUC†
|
||
| No dosing adjustments required for the following:
|
|||
| Oral Antidiabetic Agents
|
|||
| Metformin (1000 mg) | 20 mg | ↔ | ↔ |
| Pioglitazone (45 mg) | 50 mg | ↓7% [↓25%, ↑15%] | ↔ |
| Sitagliptin (100 mg) | 20 mg | ↔ | ↔ |
| Glimepiride (4 mg) | 20 mg | ↔ | ↑13% [0%, ↑29%] |
| Other Medications
|
|||
| Hydrochlorothiazide (25 mg) | 50 mg | ↔ | ↔ |
| Bumetanide (1 mg) | 10 mg once daily for 7 days | ↑13% [↓2%, ↑31%] | ↑13% [↓1%, ↑30%] |
| Valsartan (320 mg) | 20 mg | ↓6% [↓24%, ↑16%] | ↑5% [↓15%, ↑29%] |
| Simvastatin (40 mg) | 20 mg | ↔ | ↑19% |
| Digoxin (0.25 mg) | 20 mg loading dose then 10 mg once daily for 7 days | ↔ | ↔ |
| Warfarin (25 mg) | 20 mg loading dose then 10 mg once daily for 7 days | ↔ | ↔ |
Pediatric use information is approved for AstraZeneca AB's Farxiga® (dapagliflozin) Tablets. However, due to AstraZeneca AB's marketing exclusivity rights, this drug product is not labeled with that information.
Dapagliflozin did not induce tumors in either mice or rats at any of the doses evaluated in 2-year carcinogenicity studies. Oral doses in mice consisted of 5, 15, and 40 mg/kg/day in males and 2, 10, and 20 mg/kg/day in females, and oral doses in rats were 0.5, 2, and 10 mg/kg/day for both males and females. The highest doses evaluated in mice were approximately 72-times (males) and 105-times (females) the clinical dose of 10 mg per day, based on AUC exposure. In rats, the highest dose was approximately 131-times (males) and 186-times (females) the clinical dose of 10 mg per day, based on AUC exposure.
Dapagliflozin was negative in the Ames mutagenicity assay and was positive in a series of in vitro clastogenicity assays in the presence of S9 activation and at concentrations greater than or equal to 100 μg/mL. Dapagliflozin was negative for clastogenicity in a series of in vivo studies evaluating micronuclei or DNA repair in rats at exposure multiples greater than 2100-times the clinical dose.
There was no carcinogenicity or mutagenicity signal in animal studies, suggesting that dapagliflozin does not represent a genotoxic risk to humans.
Dapagliflozin had no effects on mating, fertility, or early embryonic development in treated male or female rats at exposure multiples less than or equal to 1708-times and 998-times the maximum recommended human dose in males and females, respectively.
Overview of Clinical Trials of Dapagliflozin in Adults with Type 2 Diabetes Mellitus
Dapagliflozin has been studied in adult patients as monotherapy, in combination with metformin, pioglitazone, sulfonylurea (glimepiride), sitagliptin (with or without metformin), metformin plus a sulfonylurea, or insulin (with or without other oral antidiabetic therapy), compared to a sulfonylurea (glipizide), and in combination with a GLP-1 receptor agonist (exenatide extended-release) added-on to metformin. Dapagliflozin has also been studied in adult patients with type 2 diabetes mellitus and moderate renal impairment.
Treatment with dapagliflozin as monotherapy and in combination with metformin, glimepiride, pioglitazone, sitagliptin, or insulin produced statistically significant improvements in mean change from baseline at Week 24 in HbA1c compared to control. Reductions in HbA1c were seen across subgroups including gender, age, race, duration of disease, and baseline body mass index (BMI).
Monotherapy
A total of 840 treatment-naive adult patients with inadequately controlled type 2 diabetes mellitus participated in 2 placebo-controlled trials to evaluate the safety and efficacy of monotherapy with dapagliflozin.
In 1 monotherapy trial, a total of 558 treatment-naive patients with inadequately controlled diabetes participated in a 24-week trial (NCT00528372). Following a 2-week diet and exercise placebo lead-in period, 485 patients with HbA1c ≥7% and ≤10% were randomized to dapagliflozin tablets, 5 mg or dapagliflozin tablets, 10 mg once daily in either the morning (QAM, main cohort) or evening (QPM), or placebo.
At Week 24, treatment with dapagliflozin tablets, 10 mg QAM provided significant improvements in HbA1c and the fasting plasma glucose (FPG) compared with placebo (see Table 7).
|
|
|||
| Efficacy Parameter
| Dapagliflozin Tablets, 10 mg N=70†
| Dapagliflozin Tablets, 5 mg N=64†
| Placebo N=75†
|
| HbA1c (%)
|
|||
| Baseline (mean) | 8 | 7.8 | 7.8 |
| Change from baseline (adjusted mean‡) | −0.9 | −0.8 | −0.2 |
| Difference from placebo (adjusted mean‡) (95% CI) | −0.7§
(−1, −0.4) | −0.5 (−0.8, −0.2) | |
| Percent of patients achieving HbA1c <7% adjusted for baseline | 50.8%¶
| 44.2%¶
| 31.6% |
| FPG (mg/dL)
|
|||
| Baseline (mean) | 166.6 | 157.2 | 159.9 |
| Change from baseline (adjusted mean‡) | −28.8 | −24.1 | −4.1 |
| Difference from placebo (adjusted mean‡) (95% CI) | −24.7§
(−35.7, −13.6) | −19.9 (−31.3, −8.5) | |
Initial Combination Therapy with Metformin XR
A total of 1236 treatment-naïve adult patients with inadequately controlled type 2 diabetes mellitus (HbA1c ≥7.5% and ≤12%) participated in 2 active-controlled trials of 24-week duration to evaluate initial therapy with dapagliflozin tablets, 5 mg or 10 mg in combination with metformin extended-release (XR) formulation.
In one trial (NCT00859898), 638 patients randomized to 1 of 3 treatment arms following a 1-week lead-in period received: dapagliflozin tablets, 10 mg plus metformin XR (up to 2000 mg per day), dapagliflozin tablets, 10 mg plus placebo, or metformin XR (up to 2000 mg per day) plus placebo. Metformin XR dose was up-titrated weekly in 500 mg increments, as tolerated, with a median dose achieved of 2000 mg.
The combination treatment of dapagliflozin tablets, 10 mg plus metformin XR provided statistically significant improvements in HbA1c and FPG compared with either of the monotherapy treatments and statistically significant reduction in body weight compared with metformin XR alone (see Table 8 and Figure 2). Dapagliflozin tablets, 10 mg as monotherapy also provided statistically significant improvements in FPG and statistically significant reduction in body weight compared with metformin alone and was non-inferior to metformin XR monotherapy in lowering HbA1c.
|
|
|||
| Efficacy Parameter
| Dapagliflozin Tablets, 10 mg
+ Metformin XR N=211† | Dapagliflozin Tablets, 10 mg
N=219† | Metformin XR
N=208† |
| HbA1c (%)
|
|||
| Baseline (mean) | 9.1 | 9 | 9 |
| Change from baseline (adjusted mean‡) | −2 | −1.5 | −1.4 |
| Difference from dapagliflozin (adjusted mean‡) (95% CI) | −0.5§
(−0.7, −0.3) | ||
| Difference from metformin XR (adjusted mean‡) (95% CI) | −0.5§
(−0.8, −0.3) | 0¶
(−0.2, 0.2) | |
| Percent of patients achieving HbA1c <7% adjusted for baseline | 46.6%#
| 31.7% | 35.2% |
| FPG (mg/dL)
|
|||
| Baseline (mean) | 189.6 | 197.5 | 189.9 |
| Change from baseline (adjusted mean‡) | −60.4 | −46.4 | −34.8 |
| Difference from dapagliflozin (adjusted mean‡) (95% CI) | −13.9§
(−20.9, −7) | ||
| Difference from metformin XR (adjusted mean‡) (95% CI) | −25.5§
(−32.6, −18.5) | −11.6#
(−18.6, −4.6) | |
| Body Weight (kg)
|
|||
| Baseline (mean) | 88.6 | 88.5 | 87.2 |
| Change from baseline (adjusted mean‡) | −3.3 | −2.7 | −1.4 |
| Difference from metformin XR (adjusted mean‡) (95% CI) | −2§
(−2.6, −1.3) | −1.4§
(−2, −0.7) | |
Figure 2: Adjusted Mean Change from Baseline Over Time in HbA1c (%) in a 24-Week Active-Controlled Trial of Dapagliflozin Initial Combination Therapy with Metformin XR

In a second trial (NCT00643851), 603 patients were randomized to 1 of 3 treatment arms following a 1-week lead-in period: dapagliflozin tablets, 5 mg plus metformin XR (up to 2000 mg per day), dapagliflozin tablets, 5 mg plus placebo, or metformin XR (up to 2000 mg per day) plus placebo. Metformin XR dose was up-titrated weekly in 500 mg increments, as tolerated, with a median dose achieved of 2000 mg.
The combination treatment of dapagliflozin tablets, 5 mg plus metformin XR provided statistically significant improvements in HbA1c and FPG compared with either of the monotherapy treatments and statistically significant reduction in body weight compared with metformin XR alone (see Table 9).
|
|
|||
| Efficacy Parameter
| Dapagliflozin Tablets, 5 mg
+ Metformin XR N=194† | Dapagliflozin Tablets, 5 mg
N=203† | Metformin XR
N=201† |
| HbA1c (%)
|
|||
| Baseline (mean) | 9.2 | 9.1 | 9.1 |
| Change from baseline (adjusted mean‡) | −2.1 | −1.2 | −1.4 |
| Difference from dapagliflozin (adjusted mean‡) (95% CI) | −0.9§
(−1.1, −0.6) | ||
| Difference from metformin XR (adjusted mean‡) (95% CI) | −0.7§
(−0.9, −0.5) | ||
| Percent of patients achieving HbA1c <7% adjusted for baseline | 52.4%¶
| 22.5% | 34.6% |
| FPG (mg/dL)
|
|||
| Baseline (mean) | 193.4 | 190.8 | 196.7 |
| Change from baseline (adjusted mean‡) | −61 | −42 | −33.6 |
| Difference from dapagliflozin (adjusted mean‡) (95% CI) | −19.1§
(−26.7, −11.4) | ||
| Difference from metformin XR (adjusted mean‡) (95% CI) | −27.5§
(−35.1, −19.8) | ||
| Body Weight (kg)
|
|||
| Baseline (mean) | 84.2 | 86.2 | 85.8 |
| Change from baseline (adjusted mean‡) | −2.7 | −2.6 | −1.3 |
| Difference from metformin XR (adjusted mean‡) (95% CI) | −1.4§
(−2, −0.7) | ||
A total of 546 adult patients with type 2 diabetes mellitus with inadequate glycemic control (HbA1c ≥7% and ≤10%) participated in a 24-week, placebo-controlled trial to evaluate dapagliflozin tablets in combination with metformin (NCT00528879). Patients on metformin at a dose of at least 1,500 mg per day were randomized after completing a 2-week, single-blind, placebo lead-in period. Following the lead-in period, eligible patients were randomized to dapagliflozin tablets 5 mg, dapagliflozin tablets 10 mg, or placebo in addition to their current dose of metformin.
As add-on treatment to metformin, dapagliflozin tablets 10 mg provided statistically significant improvements in HbA1c and FPG, and statistically significant reduction in body weight compared with placebo at Week 24 (see Table 10 and Figure 3). Statistically significant (p <0.05 for both doses) mean changes from baseline in systolic blood pressure relative to placebo plus metformin were −4.5 mmHg and −5.3 mmHg with dapagliflozin tablets 5 mg and 10 mg plus metformin, respectively.
|
|
|||
| Efficacy Parameter
| Dapagliflozin Tablets 10 mg
+ Metformin N=135† | Dapagliflozin Tablets 5 mg
+ Metformin N=137† | Placebo
+ Metformin N=137† |
| HbA1c (%)
|
|||
| Baseline (mean) | 7.9 | 8.2 | 8.1 |
| Change from baseline (adjusted mean‡) | −0.8 | −0.7 | −0.3 |
| Difference from placebo (adjusted mean‡) (95% CI) | −0.5§
(−0.7, −0.3) | −0.4§
(−0.6, −0.2) | |
| Percent of patients achieving HbA1c <7% adjusted for baseline | 40.6%¶
| 37.5%¶
| 25.9% |
| FPG (mg/dL)
|
|||
| Baseline (mean) | 156.0 | 169.2 | 165.6 |
| Change from baseline at Week 24 (adjusted mean‡) | −23.5 | −21.5 | −6.0 |
| Difference from placebo (adjusted mean‡) (95% CI) | −17.5§
(−25.0, −10.0) | −15.5§
(−22.9, −8.1) | |
| Change from baseline at Week 1 (adjusted mean‡) | −16.5§
(N=115) | −12.0§
(N=121) | 1.2 (N=126) |
| Body Weight (kg)
|
|||
| Baseline (mean) | 86.3 | 84.7 | 87.7 |
| Change from baseline (adjusted mean‡) | −2.9 | −3.0 | −0.9 |
| Difference from placebo (adjusted mean‡) (95% CI) | −2.0§
(−2.6, −1.3) | −2.2§
(−2.8, −1.5) | |
Figure 3: Adjusted Mean Change from Baseline Over Time in HbA1c (%) in a 24-Week Placebo- Controlled Trial of Dapagliflozin Tablets in Combination with Metformin

Active Glipizide-Controlled Trial Add-On to Metformin
A total of 816 adult patients with type 2 diabetes mellitus with inadequate glycemic control (HbA1c >6.5% and ≤10%) were randomized in a 52-week, glipizide-controlled, non-inferiority trial to evaluate dapagliflozin tablets as add-on therapy to metformin (NCT00660907). Patients on metformin at a dose of at least 1,500 mg per day were randomized following a 2-week placebo lead-in period to glipizide or dapagliflozin (5 mg or 2.5 mg, respectively) and were up-titrated over 18 weeks to optimal glycemic effect (FPG <110 mg/dL, <6.1 mmol/L) or to the highest dose level (up to glipizide 20 mg and dapagliflozin tablets 10 mg) as tolerated by patients. Thereafter, doses were kept constant, except for down- titration to prevent hypoglycemia.
At the end of the titration period, 87% of patients treated with dapagliflozin tablets had been titrated to the maximum trial dose (10 mg) versus 73% treated with glipizide (20 mg). dapagliflozin tablets led to a similar mean reduction in HbA1c from baseline at Week 52 (LOCF), compared with glipizide, thus demonstrating non-inferiority (see Table 11). dapagliflozin tablets treatment led to a statistically significant mean reduction in body weight from baseline at Week 52 (LOCF) compared with a mean increase in body weight in the glipizide group. Statistically significant (p<0.0001) mean change from baseline in systolic blood pressure relative to glipizide plus metformin was -5.0 mmHg with dapagliflozin tablets plus metformin.
|
|
||
| Efficacy Parameter
| Dapagliflozin Tablets + Metformin N=400†
| Glipizide
+ Metformin N=401† |
| HbA1c (%)
|
||
| Baseline (mean) | 7.7 | 7.7 |
| Change from baseline (adjusted mean‡) | −0.5 | −0.5 |
| Difference from glipizide + metformin (adjusted mean‡) (95% CI) | 0.0§
(−0.1, 0.1) | |
| Body Weight (kg)
|
||
| Baseline (mean) | 88.4 | 87.6 |
| Change from baseline (adjusted mean‡) | −3.2 | 1.4 |
| Difference from glipizide + metformin (adjusted mean‡) (95% CI) | −4.7 (−5.1, −4.2) | |
Add-On Combination Therapy with Other Antidiabetic Agents
Add-On Combination Therapy with a Sulfonylurea
A total of 597 adult patients with type 2 diabetes mellitus and inadequate glycemic control (HbA1c ≥7% and ≤10%) were randomized in this 24-week, placebo-controlled trial to evaluate dapagliflozin tablets in combination with glimepiride (a sulfonylurea) (NCT00680745).
Patients on at least half the maximum recommended dose of glimepiride as monotherapy (4 mg) for at least 8 weeks lead-in were randomized to dapagliflozin tablets 5 mg, dapagliflozin tablets 10 mg, or placebo in addition to glimepiride 4 mg per day. Down-titration of glimepiride to 2 mg or 0 mg was allowed for hypoglycemia during the treatment period; no up-titration of glimepiride was allowed.
In combination with glimepiride, dapagliflozin tablets 10 mg provided statistically significant improvement in HbA1c, FPG, and 2-hour PPG, and statistically significant reduction in body weight compared with placebo plus glimepiride at Week 24 (see Table 12). Statistically significant (p<0.05 for both doses) mean changes from baseline in systolic blood pressure relative to placebo plus glimepiride were −2.8 mmHg and −3.8 mmHg with dapagliflozin tablets 5 mg and 10 mg plus glimepiride, respectively.
Add-on Combination Therapy with Metformin and a Sulfonylurea
A total of 218 adult patients with type 2 diabetes mellitus and inadequate glycemic control (HbA1c ≥7% and ≤10.5%) participated in a 24-week, placebo-controlled trial to evaluate dapagliflozin tablets in combination with metformin and a sulfonylurea (NCT01392677). Patients on a stable dose of metformin (immediate- or extended-release formulations) ≥1,500 mg/day plus maximum tolerated dose, which must be at least half the maximum dose, of a sulfonylurea for at least 8 weeks prior to enrollment were randomized after an 8-week placebo lead-in period to dapagliflozin tablets 10 mg or placebo. Dose-titration of dapagliflozin tablets or metformin was not permitted during the 24–week treatment period. Down-titration of the sulfonylurea was permitted to prevent hypoglycemia, but no up-titration was permitted. As add-on treatment to combined metformin and a sulfonylurea, treatment with dapagliflozin tablets 10 mg provided statistically significant improvements in HbA1c and FPG and statistically significant reduction in body weight compared with placebo at Week 24 (Table 12). A statistically significant (p <0.05) mean change from baseline in systolic blood pressure relative to placebo in combination with metformin and a sulfonylurea was -3.8 mmHg with dapagliflozin tablets 10 mg in combination with metformin and a sulfonylurea at Week 8.
Add-On Combination Therapy with a Thiazolidinedione
A total of 420 adult patients with type 2 diabetes mellitus with inadequate glycemic control (HbA1c ≥7% and ≤10.5%) participated in a 24-week, placebo-controlled trial to evaluate dapagliflozin tablets in combination with pioglitazone [a thiazolidinedione (TZD)] alone (NCT00683878). Patients on a stable dose of pioglitazone of 45 mg per day (or 30 mg per day, if 45 mg per day was not tolerated) for 12 weeks were randomized after a 2-week lead-in period to 5 or 10 mg of dapagliflozin tablets or placebo in addition to their current dose of pioglitazone. Dose titration of dapagliflozin tablets or pioglitazone was not permitted during the trial.
In combination with pioglitazone, treatment with dapagliflozin tablets 10 mg provided statistically significant improvements in HbA1c, 2-hour PPG, FPG, the proportion of patients achieving HbA1c <7%, and a statistically significant reduction in body weight compared with the placebo plus pioglitazone treatment groups (see Table 12) at Week 24. A statistically significant (p <0.05) mean change from baseline in systolic blood pressure relative to placebo in combination with pioglitazone was −4.5 mmHg with dapagliflozin tablets 10 mg in combination with pioglitazone.
Add-On Combination Therapy with a DPP4 Inhibitor
A total of 452 adult patients with type 2 diabetes mellitus who were drug naive, or who were treated at entry with metformin or a DPP4 inhibitor alone or in combination, and had inadequate glycemic control (HbA1c ≥7.0% and ≤10.0% at randomization), participated in a 24-week, placebo-controlled trial to evaluate dapagliflozin tablets in combination with sitagliptin (a DPP4 inhibitor) with or without metformin (NCT00984867).
Eligible patients were stratified based on the presence or absence of background metformin (≥1,500 mg per day), and within each stratum were randomized to either dapagliflozin tablets 10 mg plus sitagliptin 100 mg once daily, or placebo plus sitagliptin 100 mg once daily. Endpoints were tested for dapagliflozin tablets 10 mg versus placebo for the total trial group (sitagliptin with and without metformin) and for each stratum (sitagliptin alone or sitagliptin with metformin). Thirty-seven percent (37%) of patients were drug naive, 32% were on metformin alone, 13% were on a DPP4 inhibitor alone, and 18% were on a DPP4 inhibitor plus metformin. Dose titration of dapagliflozin tablets, sitagliptin, or metformin was not permitted during the trial.
In combination with sitagliptin (with or without metformin), dapagliflozin tablets 10 mg provided statistically significant improvements in HbA1c, FPG, and a statistically significant reduction in body weight compared with the placebo plus sitagliptin (with or without metformin) group at Week 24 (see Table 12). These improvements were also seen in the stratum of patients who received dapagliflozin tablets 10 mg plus sitagliptin alone (placebo-corrected mean change for HbA1c −0.56%; n=110) compared with placebo plus sitagliptin alone (n=111), and the stratum of patients who received dapagliflozin tablets 10 mg plus sitagliptin and metformin (placebo-corrected mean change for HbA1c −0.40; n=113) compared with placebo plus sitagliptin with metformin (n=113).
Add-On Combination Therapy with Insulin
A total of 808 adult patients with type 2 diabetes mellitus who had inadequate glycemic control (HbA1c ≥7.5% and ≤10.5%) were randomized in a 24-week, placebo-controlled trial to evaluate dapagliflozin tablets as add-on therapy to insulin (NCT00673231). Patients on a stable insulin regimen, with a mean dose of at least 30 IU of injectable insulin per day, for a period of at least 8 weeks prior to enrollment and on a maximum of 2 oral antidiabetic medications (OADs), including metformin, were randomized after completing a 2-week enrollment period to receive either dapagliflozin tablets 5 mg, dapagliflozin tablets 10 mg, or placebo in addition to their current dose of insulin and other OADs, if applicable. Patients were stratified according to the presence or absence of background OADs. Up- or down-titration of insulin was only permitted during the treatment phase in patients who failed to meet specific glycemic goals. Dose modifications of blinded trial medication or OAD(s) were not allowed during the treatment phase, with the exception of decreasing OAD(s) where there were concerns over hypoglycemia after cessation of insulin therapy.
In this trial, 50% of patients were on insulin monotherapy at baseline, while 50% were on 1 or 2 OADs in addition to insulin. At Week 24, dapagliflozin tablets 10 mg dose provided statistically significant improvement in HbA1c and reduction in mean insulin dose, and a statistically significant reduction in body weight compared with placebo in combination with insulin, with or without up to 2 OADs (see Table 12); the effect of dapagliflozin tablets on HbA1c was similar in patients treated with insulin alone and patients treated with insulin plus OAD. Statistically significant (p<0.05) mean change from baseline in systolic blood pressure relative to placebo in combination with insulin was −3.0 mmHg with dapagliflozin tablets 10 mg in combination with insulin.
At Week 24, dapagliflozin tablets 5 mg (−5.7 IU, difference from placebo) and 10 mg (−6.2 IU, difference from placebo) once daily resulted in a statistically significant reduction in mean daily insulin dose (p<0.0001 for both doses) compared to placebo in combination with insulin, and a statistically significantly higher proportion of patients on dapagliflozin tablets 10 mg (19.6%) reduced their insulin dose by at least 10% compared to placebo (11.0%).
|
|
|||
| Efficacy Parameter
| Dapagliflozin Tablets 10 mg
| Dapagliflozin Tablets 5 mg
| Placebo
|
| In Combination with Sulfonylurea (Glimepiride)
|
|||
| Intent-to-Treat Population
| N=151†
| N=142†
| N=145†
|
| HbA1c (%)
|
|||
| Baseline (mean) | 8.1 | 8.1 | 8.2 |
| Change from baseline (adjusted mean‡) | −0.8 | −0.6 | −0.1 |
| Difference from placebo (adjusted mean‡) (95% CI) | −0.7§
(−0.9, −0.5) | −0.5§
(−0.7, −0.3) | |
| Percent of patients achieving HbA1c <7% adjusted for baseline | 31.7%§
| 30.3%§
| 13.0% |
| FPG (mg/dL)
|
|||
| Baseline (mean) | 172.4 | 174.5 | 172.7 |
| Change from baseline (adjusted mean‡) | −28.5 | −21.2 | −2.0 |
| Difference from placebo (adjusted mean‡) (95% CI) | −26.5§
(−33.5, −19.5) | −19.3§
(−26.3, −12.2) | |
| 2-hour PPG¶ (mg/dL)
|
|||
| Baseline (mean) | 329.6 | 322.8 | 324.1 |
| Change from baseline (adjusted mean‡) | −60.6 | –54.5 | −11.5 |
| Difference from placebo (adjusted mean‡) (95% CI) | −49.1§
64.1, −34.1) | −43.0§
(–58.4, −27.5) | |
| Body Weight (kg)
|
|||
| Baseline (mean) | 80.6 | 81.0 | 80.9 |
| Change from baseline (adjusted mean‡) | −2.3 | −1.6 | −0.7 |
| Difference from placebo (adjusted mean‡) (95% CI) | −1.5§
(−2.2, −0.9) | −0.8§
(−1.5, −0.2) | |
| In Combination with Metformin and a Sulfonylurea
|
|||
| Intent-to-Treat Population
| N=108†
| -
| N=108†
|
| HbA1c (%)
|
|||
| Baseline (mean) | 8.08 | - | 8.24 |
| Change from baseline (adjusted mean ‡#) | −0.86 | - | −0.17 |
| Difference from placebo (adjusted mean ‡# (95% CI) | −0.69§
(−0.89, −0.49) | - | |
| Percent of patients achieving HbA1c <7% adjusted for baseline | 31.8%§
| - | 11.1% |
| FPG (mg/dL)
|
|||
| Baseline (mean) | 167.4 | - | 180.3 |
| Change from baseline (adjusted mean‡) | −34.2 | - | −0.8 |
| Difference from placebo (adjusted mean‡) (95% CI) | −33.5§
(−43.1, −23.8) | - | |
| Body Weight (kg)
|
|||
| Baseline (mean) | 88.57 | - | 90.07 |
| Change from baseline (adjusted mean‡) | −2.65 | - | −0.58 |
| Difference from placebo (adjusted mean‡) (95% CI) | −2.07§
(−2.79, −1.35) | - | |
| In Combination with Thiazolidinedione (Pioglitazone)
|
|||
| Intent-to-Treat Population
| N=140Þ
| N=141Þ
| N=139Þ
|
| HbA1c (%)
|
|||
| Baseline (mean) | 8.4 | 8.4 | 8.3 |
| Change from baseline (adjusted mean‡) | −1.0 | −0.8 | −0.4 |
| Difference from placebo (adjusted mean‡) (95% CI) | −0.6§
(−0.8, −0.3) | −0.4§
(−0.6, −0.2) | |
| Percent of patients achieving HbA1c <7% adjusted for baseline | 38.8%ß
| 32.5%ß
| 22.4% |
| FPG (mg/dL)
|
|||
| Baseline (mean) | 164.9 | 168.3 | 160.7 |
| Change from baseline (adjusted mean‡) | −29.6 | −24.9 | −5.5 |
| Difference from placebo (adjusted mean‡) (95% CI) | −24.1§
(−32.2, −16.1) | −19.5§
(−27.5, −11.4) | |
| 2-hour PPG¶ (mg/dL)
|
|||
| Baseline (mean) | 308.0 | 284.8 | 293.6 |
| Change from baseline (adjusted mean‡) | −67.5 | −65.1 | −14.1 |
| Difference from placebo (adjusted mean‡) (95% CI) | −53.3§
(−71.1, −35.6) | −51.0§
(−68.7, −33.2) | |
| Body Weight (kg)
|
|||
| Baseline (mean) | 84.8 | 87.8 | 86.4 |
| Change from baseline (adjusted mean‡) | −0.1 | 0.1 | 1.6 |
| Difference from placebo (adjusted mean‡) (95% CI) | −1.8§
(−2.6, −1.0) | −1.6§
(−2.3, −0.8) | |
| In Combination with DPP4 Inhibitor (Sitagliptin) with or without Metformin
|
|||
| Intent-to-Treat Population
| N=223†
| –
| N=224†
|
| HbA1c (%)
|
|||
| Baseline (mean) | 7.90 | – | 7.97 |
| Change from baseline (adjusted mean‡) | −0.45 | – | 0.04 |
| Difference from placebo (adjusted mean‡) (95% CI) | −0.48§
(−0.62, −0.34) | – | |
| Patients with HbA1c decrease ≥0.7% (adjusted percent) | 35.4% | – | 16.6% |
| FPG (mg/dL)
|
|||
| Baseline (mean) | 161.7 | – | 163.1 |
| Change from baseline at Week 24 (adjusted mean‡) | −24.1 | – | 3.8 |
| Difference from placebo (adjusted mean‡) (95% CI) | −27.9§
(−34.5, −21.4) | – | |
| Body Weight (kg)s
|
|||
| Baseline (mean) | 91.02 | – | 89.23 |
| Change from baseline (adjusted mean‡) | −2.14 | – | −0.26 |
| Difference from placebo (adjusted mean‡) (95% CI) | −1.89§
(−2.37, −1.40) | – | |
| In Combination with Insulin with or without up to 2 Oral Antidiabetic Therapies
|
|||
| Intent-to-Treat Population
| N=194†
| N=211†
| N=193†
|
| HbA1c (%)
|
|||
| Baseline (mean) | 8.6 | 8.6 | 8.5 |
| Change from baseline (adjusted mean‡) | −0.9 | −0.8 | −0.3 |
| Difference from placebo (adjusted mean‡) (95% CI) | −0.6§
(−0.7, −0.5) | −0.5§
(−0.7, −0.4) | |
| FPG (mg/dL)
|
|||
| Baseline (mean) | 173.7 | NT à
| 170.0 |
| Change from baseline (adjusted mean‡) | −21.7 | NT à
| 3.3 |
| Difference from placebo (adjusted mean‡) (95% CI) | −25.0§
(−34.3, −15.8) | NT à
| |
| Body Weight (kg)
|
|||
| Baseline (mean) | 94.6 | 93.2 | 94.2 |
| Change from baseline (adjusted mean‡) | −1.7 | −1.0 | 0.0 |
| Difference from placebo (adjusted mean‡) (95% CI) | −1.7§
(−2.2, −1.2) | −1.0§
(−1.5, −0.5) | |
Combination Therapy with Exenatide-Extended Release as Add-On to Metformin
A total of 694 adult patients with type 2 diabetes mellitus and inadequate glycemic control (HbA1c ≥8.0 and ≤12.0%) on metformin, were evaluated in a 28-week double-blind, active-controlled trial to compare dapagliflozin in combination with exenatide extended-release (a GLP-1 receptor agonist) to dapagliflozin alone and exenatide extended-release alone, as add-on to metformin (NCT02229396). Patients on metformin at a dose of at least 1,500 mg per day were randomized following a 1-week placebo lead-in period to receive either dapagliflozin 10 mg once daily (QD) in combination with exenatide extended-release 2 mg once weekly (QW), Dapagliflozin 10 mg QD, or exenatide extended–release 2 mg QW. At Week 28, Dapagliflozin in combination with exenatide extended-release provided statistically significantly greater reductions in HbA1c (-1.77%) compared to dapagliflozin alone (-1.32%, p=0.001) and exenatide extended-release alone (-1.42%, p=0.012). Dapagliflozin in combination with exenatide extended-release provided statistically significantly greater reductions in FPG (-57.35 mg/dL) compared to dapagliflozin alone (-44.72 mg/dL, p=0.006) and exenatide extended-release alone (-40.53, p <0.001).
Use in Adults with Type 2 Diabetes Mellitus and Moderate Renal Impairment
Dapagliflozin was assessed in two placebo-controlled trials of adult patients with type 2 diabetes mellitus and moderate renal impairment.
Patients with type 2 diabetes mellitus and an eGFR between 45 to less than 60 mL/min/1.73 m2inadequately controlled on current diabetes therapy participated in a 24-week, double-blind, placebo-controlled clinical trial (NCT02413398). Patients were randomized to either dapagliflozin 10 mg or placebo, administered orally once daily. At Week 24, dapagliflozin provided statistically significant reductions in HbA1c compared with placebo (Table 13).
|
|
||
| Dapagliflozin Tablets 10 mg
| Placebo
|
|
| Number of patients:
| N=160
| N=161
|
| HbA1c (%)
|
||
| Baseline (mean) | 8.3 | 8 |
| Change from baseline (adjusted mean*) | -0.4 | -0.1 |
| Difference from placebo (adjusted mean*) (95% CI) | -0.3†
(-0.5, - 0.1) | |
Pediatric use information is approved for AstraZeneca AB's Farxiga® (dapagliflozin) Tablets. However, due to AstraZeneca AB's marketing exclusivity rights, this drug product is not labeled with that information.
Dapagliflozin Effect on Cardiovascular Events (DECLARE, NCT01730534) was an international, multicenter, randomized, double-blind, placebo-controlled, clinical trial conducted to determine the effect of dapagliflozin relative to placebo on cardiovascular (CV) outcomes when added to current background therapy. All patients had type 2 diabetes mellitus and either established CV disease or two or more additional CV risk factors (age ≥55 years in men or ≥60 years in women and one or more of dyslipidemia, hypertension, or current tobacco use). Concomitant antidiabetic and atherosclerotic therapies could be adjusted, at the discretion of investigators, to ensure participants were treated according to the standard care for these diseases.
Of 17160 randomized patients, 6974 (40.6%) had established CV disease and 10186 (59.4%) did not have established CV disease. A total of 8582 patients were randomized to dapagliflozin 10 mg, 8578 to placebo, and patients were followed for a median of 4.2 years.
Approximately 80% of the trial population was White, 4% Black or African-American, and 13% Asian. The mean age was 64 years, and approximately 63% were male.
Mean duration of diabetes was 11.9 years and 22.4% of patients had diabetes for less than 5 years. Mean eGFR was 85.2 mL/min/1.73 m2. At baseline, 23.5% of patients had microalbuminuria (UACR ≥30 to ≤300 mg/g) and 6.8% had macroalbuminuria (UACR >300 mg/g). Mean HbA1c was 8.3% and mean BMI was 32.1 kg/m2. At baseline, 10% of patients had a history of heart failure.
Most patients (98.1%) used one or more antihyperglycemic medications at baseline. 82% of the patients were being treated with metformin, 40.9% with insulin, 42.7% with a sulfonylurea, 16.8% with a DPP4 inhibitor, and 4.4% with a GLP-1 receptor agonist.
Approximately 81.3% of patients were treated with angiotensin converting enzyme inhibitors or angiotensin receptor blockers, 75% with statins, 61.1% with antiplatelet therapy, 55.5% with acetylsalicylic acid, 52.6% with beta-blockers, 34.9% with calcium channel blockers, 22% with thiazide diuretics, and 10.5% with loop diuretics.
A Cox proportional hazards model was used to test for non-inferiority against the pre-specified risk margin of 1.3 for the hazard ratio (HR) of the composite of CV death, myocardial infarction (MI), or ischemic stroke (MACE) and if non-inferiority was demonstrated, to test for superiority on the two primary endpoints:1) the composite of hospitalization for heart failure or CV death, and 2) MACE.
The incidence rate of MACE was similar in both treatment arms: 2.30 MACE events per 100 patient-years on dapagliflozin vs 2.46 MACE events per 100 patient-years on placebo. The estimated hazard ratio of MACE associated with dapagliflozin relative to placebo was 0.93 with a 95% CI of (0.84,1.03). The upper bound of this confidence interval, 1.03, excluded the pre-specified non-inferiority margin of 1.3.
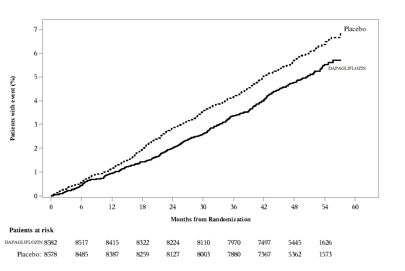
Dapagliflozin was superior to placebo in reducing the incidence of the primary composite endpoint of hospitalization for heart failure or CV death (HR 0.83 [95% CI 0.73, 0.95]).
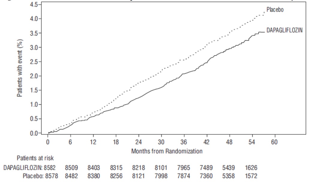
The treatment effect was due to a significant reduction in the risk of hospitalization for heart failure in subjects randomized to dapagliflozin (HR 0.73 [95% CI 0.61, 0.88]), with no change in the risk of CV death (Table 15 and Figures 4 and 5).
|
N=Number of patients, CI=Confidence interval, CV=Cardiovascular, MI=Myocardial infarction. |
|||
|
|
|||
|
| Patients with events n (%)
| ||
| Efficacy Variable
(time to first occurrence) | Dapagliflozin tablets
10 mg N=8582 | Placebo N=8578
| Hazard ratio
(95% CI) |
| Primary Endpoints
| |||
| Composite of Hospitalization for Heart Failure, CV Death†
| 417 (4.9) | 496 (5.8) | 0.83 (0.73, 0.95) |
| Composite Endpoint of CV Death, MI, Ischemic Stroke
| 756 (8.8) | 803 (9.4) | 0.93 (0.84, 1.03) |
| Components of the composite endpoints‡
| |||
| Hospitalization for Heart Failure | 212 (2.5) | 286 (3.3) | 0.73 (0.61, 0.88) |
| CV Death | 245 (2.9) | 249 (2.9) | 0.98 (0.82, 1.17) |
| Myocardial Infarction | 393 (4.6) | 441 (5.1) | 0.89 (0.77, 1.01) |
| Ischemic Stroke | 235 (2.7) | 231 (2.7) | 1.01 (0.84, 1.21) |
Figure 4: Time to First Occurrence of Hospitalization for Heart Failure or CV Death in the DECLARE Trial

Figure 5: Time to First Occurrence of Hospitalization for Heart Failure in the DECLARE Trial

Dapagliflozin tablets have markings on one side and are available in the strengths and packages listed in Table 18.
| Tablet Strength
| Film-Coated Tablet Color/Shape
| Tablet Markings
| Package Size
| NDC Code
|
| 5 mg
| yellow, biconvex, round | "L40" engraved on one side and plain on other side | Bottles of 30 | 70748-105-06 |
| 10 mg
| yellow, biconvex, diamond-shaped | "L41" engraved on one side and plain on other side | Bottles of 30 | 70748-106-06 |
Store at 25°C (77°F); excursions permitted to 15° to 30°C (59° to 86°F) [see USP Controlled Room Temperature].
Advise the patient to read the FDA-approved patient labeling (Medication Guide).
Diabetic Ketoacidosis in Patients with Type 1 Diabetes Mellitus and Other Ketoacidosis
In patients with type 1 diabetes mellitus, inform them that using dapagliflozin tablets can increase their risk of life- threatening diabetic ketoacidosis. For all other patients, inform them that dapagliflozin tablets can cause potentially fatal ketoacidosis and that type 2 diabetes mellitus and pancreatic disorders (e.g., history of pancreatitis or pancreatic surgery) are risk factors.
Educate all patients on precipitating factors (such as insulin dose reduction or missed insulin doses, infection, reduced caloric intake, ketogenic diet, surgery, dehydration, and alcohol abuse) and symptoms of ketoacidosis (including nausea, vomiting, abdominal pain, tiredness, and labored breathing). Inform patients that blood glucose may be normal even in the presence of ketoacidosis.
Advise patients that they may be asked to monitor ketones. If symptoms of ketoacidosis occur, instruct patients to discontinue dapagliflozin tablets and seek medical attention immediately [see Warnings and Precautions (5.1)].
Volume Depletion
Inform patients that symptomatic hypotension may occur with dapagliflozin tablets and advise them to contact their healthcare provider if they experience such symptoms [see Warnings and Precautions (5.2)]. Inform patients that dehydration may increase the risk for hypotension, and to have adequate fluid intake.
Serious Urinary Tract Infections
Inform patients of the potential for urinary tract infections, which may be serious. Provide them with information on the symptoms of urinary tract infections. Advise them to seek medical advice promptly if such symptoms occur [see Warnings and Precautions (5.3)].
Hypoglycemia with Concomitant Use with Insulin and Insulin Secretagogues
Inform patients that the incidence of hypoglycemia may increase when dapagliflozin tablets is added to an insulin secretagogue (e.g., sulfonylurea) and/or insulin. Educate patients on the signs and symptoms of hypoglycemia [see Warnings and Precautions (5.4)].
Necrotizing Fasciitis of the Perineum (Fournier's Gangrene)
Inform patients that necrotizing infections of the perineum (Fournier's Gangrene) have occurred with dapagliflozin tablets in patients with diabetes mellitus. Counsel patients to promptly seek medical attention if they develop pain or tenderness, redness, or swelling of the genitals or the area from the genitals back to the rectum, along with a fever above 100.4°F or malaise [see Warnings and Precautions (5.5)].
Genital Mycotic Infections in Females (e.g., Vulvovaginitis)
Inform female patients that vaginal yeast infections may occur and provide them with information on the signs and symptoms of vaginal yeast infections. Advise them of treatment options and when to seek medical advice [see Warnings and Precautions (5.6)].
Genital Mycotic Infections in Males (e.g., Balanitis)
Inform male patients that yeast infections of the penis (e.g., balanitis or balanoposthitis) may occur, especially in patients with prior history. Provide them with information on the signs and symptoms of balanitis and balanoposthitis (rash or redness of the glans or foreskin of the penis). Advise them of treatment options and when to seek medical advice [see Warnings and Precautions (5.6)].
Hypersensitivity Reactions
Inform patients that serious hypersensitivity reactions (e.g., urticaria, anaphylactic reactions, and angioedema) have been reported with dapagliflozin tablets. Advise patients to immediately report any signs or symptoms suggesting allergic reaction or angioedema, and to take no more of the drug until they have consulted prescribing physicians.
Pregnancy
Advise pregnant patients of the potential risk to a fetus with treatment with dapagliflozin tablets. Instruct patients to immediately inform their healthcare provider if pregnant or planning to become pregnant [see Use in Specific Populations (8.1)].
Lactation
Advise patients that use of dapagliflozin tablets is not recommended while breastfeeding [see Use in Specific Populations (8.2)].
Laboratory Tests
Due to its mechanism of action, patients taking dapagliflozin tablets will test positive for glucose in their urine.
Missed Dose
If a dose is missed, advise patients to take it as soon as it is remembered unless it is almost time for the next dose, in which case patients should skip the missed dose and take the medicine at the next regularly scheduled time. Advise patients not to take two doses of dapagliflozin tablets at the same time.
LUPIN and the
are registered trademarks of Lupin Pharmaceuticals, Inc.
The brands listed are trademarks of their respective owners and are not trademarks of Lupin Limited. The makers of these brands are not affiliated with and do not endorse Lupin Limited or its products.
Manufactured for:
Lupin Pharmaceuticals, Inc.
Naples, FL 34108
United States
MADE IN INDIA
Revised: March 2026 ID#: 283372
Dispense with Medication Guide available at: www.lupin.com/dapagliflozintab-mg.pdf"
| MEDICATION GUIDE
Dapagliflozin (dap-a-gli-FLOE-zin) Tablets, For Oral Use |
| What is the most important information I should know about dapagliflozin tablets? Dapagliflozin tablets can cause serious side effects, including:
Diabetic ketoacidosis (increased ketones in your blood or urine) in people with type 1 diabetes and other ketoacidosis. Dapagliflozin tablets can cause ketoacidosis that can be life-threatening and may lead to death. Ketoacidosis is a serious condition which needs to be treated in a hospital. People with type 1 diabetes have a high risk of getting ketoacidosis. People with type 2 diabetes or pancreas problems also have an increased risk of getting ketoacidosis. Ketoacidosis can also happen in people who: are sick, cannot eat or drink as usual, skip meals, are on a diet high in fat and low in carbohydrates (ketogenic diet), take less than the usual amount of insulin or miss insulin doses, drink too much alcohol, have a loss of too much fluid from the body (volume depletion), or who have surgery. Ketoacidosis can happen even if your blood sugar is less than 250 mg/dL. Your healthcare provider may ask you to periodically check ketones in your urine or blood. Stop taking dapagliflozin tablets and call your healthcare provider or get medical help right away if you get any of the following. If possible, check for ketones in your urine or blood, even if your blood sugar is less than 250 mg/dL. o nausea o vomiting o stomach area (abdominal) pain o tiredness o trouble breathing o ketones in your urine or blood Dehydration. Dapagliflozin tablets can cause some people to become dehydrated (the loss of body water and salt). Dehydration may cause you to feel dizzy, faint, lightheaded, or weak, especially when you stand up (orthostatic hypotension). There have been reports of sudden kidney injury in people with Type 2 diabetes who are taking dapagliflozin tablets. You may be at a higher risk of dehydration if you: o take medicines to lower your blood pressure, including water pills (diuretics) o are on a low salt diet o have kidney problems o are 65 years of age or older Talk to your healthcare provider about what you can do to prevent dehydration including how much fluid you should drink on a daily basis. Call your healthcare provider right away if you reduce the amount of food or liquid you drink, for example if you cannot eat or you start to lose liquids from your body, for example from vomiting, diarrhea, or being in the sun too long. Vaginal yeast infection. Women who take dapagliflozin may get vaginal yeast infections. Symptoms of a vaginal yeast infection include: o vaginal odor o white or yellowish vaginal discharge (discharge may be lumpy or look like cottage cheese) o vaginal itching Yeast infection of the penis (balanitis). Swelling of an uncircumcised penis may develop that makes it difficult to pull back the skin around the tip of the penis. Other symptoms of yeast infection of the penis include: o redness, itching, or swelling of the penis o foul smelling discharge from the penis o rash of the penis o pain in the skin around the penis Talk to your healthcare provider about what to do if you get symptoms of a yeast infection of the vagina or penis. Your healthcare provider may suggest you use an over-the-counter antifungal medicine. Talk to your healthcare provider right away if you use an over-the-counter antifungal medication and your symptoms do not go away. |
| What is Dapagliflozin?
Dapagliflozin is a prescription medicine used: o to reduce the risk of hospitalization for heart failure in adults with type 2 diabetes who also have known cardiovascular disease or multiple cardiovascular risk factors. o along with diet and exercise to improve blood sugar (glucose) control in adults with type 2 diabetes. Dapagliflozin is not for use to improve blood sugar (glucose) control in people with type 1 diabetes. Dapagliflozin is not for use to improve blood sugar (glucose) control in people with type 2 diabetes who have moderate to severe kidney problems, because it may not work. It is not known if dapagliflozin is safe and effective to lower blood sugar (glucose) in children younger than 10 years of age with type 2 diabetes. |
| Who should not take dapagliflozin tablets?
Do not take dapagliflozin tablets if you: are allergic to dapagliflozin or any of the ingredients in dapagliflozin tablets. See the end of this Medication Guide for a list of ingredients in dapagliflozin tablets. Symptoms of a serious allergic reaction to dapagliflozin tablets may include: o rash o raised red patches on your skin (hives) o swelling of the face, lips, tongue, and throat that may cause difficulty in breathing or swallowing If you have any of these symptoms, stop taking dapagliflozin tablets and contact your healthcare provider or go to the nearest hospital emergency room right away. |
| What should I tell my healthcare provider before taking dapagliflozin tablets?
Before you take dapagliflozin tablets, tell your healthcare provider if you: have type 1 diabetes or have had diabetic ketoacidosis. have a decrease in your insulin dose. have a serious infection. have a history of infection of the vagina or penis. have liver problems. have a history of urinary tract infections or problems with urination. are on a low sodium (salt) diet. Your healthcare provider may ask you to change your diet. are going to have surgery. Your healthcare provider may stop your dapagliflozin tablets before you have surgery. Talk to your healthcare provider if you are having surgery about when to stop taking dapagliflozin tablets and when to start it again. are eating less or there is a change in your diet. are dehydrated. have or have had problems with your pancreas, including pancreatitis or surgery on your pancreas. drink alcohol very often or drink a lot of alcohol in the short term ("binge" drinking). are pregnant or plan to become pregnant. Dapagliflozin tablets may harm your unborn baby. If you become pregnant while taking dapagliflozin tablets, your healthcare provider may switch you to a different medicine to control your blood sugar. Talk to your healthcare provider about the best way to control your blood sugar if you plan to become pregnant or while you are pregnant. are breastfeeding or plan to breastfeed. It is not known if dapagliflozin passes into your breast milk. You should not breastfeed if you take dapagliflozin tablets. Tell your healthcare provider about all the medicines you take, including prescription and over-the-counter medicines, vitamins, and herbal supplements. Dapagliflozin tablets may affect the way other medicines work, and other medicines may affect how dapagliflozin tablets works. Know the medicines you take. Keep a list of them to show your healthcare provider and pharmacist when you get a new medicine. |
| How should I take dapagliflozin tablets?
Take dapagliflozin tablets exactly as your healthcare provider tells you to take it. Take dapagliflozin tablets by mouth 1 time each day, with or without food. Your healthcare provider will tell you how much dapagliflozin tablets to take and when to take it. Your healthcare provider may change your dose if needed. If you miss a dose, take it as soon as you remember. If it is almost time for your next dose, skip the missed dose and take the medicine at the next regularly scheduled time. Do not take 2 doses of dapagliflozin tablets at the same time. Talk with your healthcare provider if you have questions about a missed dose. If you take too much dapagliflozin tablets, call your healthcare provider or Poison Help line at 1-800-222-1222, or go to the nearest emergency room right away. If you have diabetes: o When your body is under some types of stress, such as fever, trauma (such as a car accident), infection, or surgery, the amount of diabetes medicine you need may change. Tell your healthcare provider right away if you have any of these conditions and follow your healthcare provider's instructions. o Your healthcare provider may tell you to take dapagliflozin tablets along with other diabetes medicines. Low blood sugar can happen more often when dapagliflozin tablets is taken with certain other diabetes medicines. See "What are the possible side effects of dapagliflozin tablets?" o Dapagliflozin tablets will cause your urine to test positive for glucose. Your healthcare provider may do certain blood tests before you start dapagliflozin tablets and during treatment as needed. Your healthcare provider may change your dose of dapagliflozin tablets based on the results of your blood tests. |
| What are the possible side effects of dapagliflozin tablets?
Dapagliflozin tablets may cause serious side effects, including: See "What is the most important information I should know about dapagliflozin tablets?" Serious urinary tract infections. Serious urinary tract infections that may lead to hospitalization have happened in people who are taking dapagliflozin tablets. Tell your healthcare provider if you have any signs or symptoms of a urinary tract infection such as a burning feeling when passing urine, a need to urinate often, the need to urinate right away, pain in the lower part of your stomach (pelvis), or blood in the urine. Sometimes people also may have a fever, back pain, nausea or vomiting. Low blood sugar (hypoglycemia) in patients with diabetes mellitus. If you take dapagliflozin tablets with another medicine that can cause low blood sugar, such as a sulfonylurea or insulin, your risk of getting low blood sugar is higher. The dose of your sulfonylurea medicine or insulin may need to be lowered while you take dapagliflozin tablets. Signs and symptoms of low blood sugar may include: o headache o confusion o hunger o shaking or feeling jittery o drowsiness o dizziness o fast heartbeat o weakness o sweating o irritability A rare but serious bacterial infection that causes damage to the tissue under the skin (necrotizing fasciitis) in the area between and around the anus and genitals (perineum). Necrotizing fasciitis of the perineum has happened in women and men with diabetes mellitus who take dapagliflozin tablets. Necrotizing fasciitis of the perineum may lead to hospitalization, may require multiple surgeries, and may lead to death. Seek medical attention right away if you have fever or you are feeling very weak, tired, or uncomfortable (malaise) and you develop any of the following symptoms in the area between and around the anus and genitals: o pain or tenderness o swelling o redness of skin (erythema) Serious allergic reaction. If you have any symptoms of a serious allergic reaction, stop taking dapagliflozin tablets and call your healthcare provider right away or go to the nearest hospital emergency room. See "Who should not take dapagliflozin tablets?" . Your healthcare provider may give you a medicine for your allergic reaction and prescribe a different medicine for your diabetes. The most common side effects of dapagliflozin tablets include: vaginal yeast infections and yeast infections of the penis stuffy or runny nose and sore throat changes in urination, including urgent need to urinate more often, in larger amounts, or at night These are not all the possible side effects of dapagliflozin tablets. For more information, ask your healthcare provider or pharmacist. Call your doctor for medical advice about side effects. You may report side effects to FDA at 1-800-FDA-1088. |
| How should I store dapagliflozin tablets?
Store dapagliflozin tablets at room temperature between 68°F and 77°F (20°C and 25°C). |
| General information about the safe and effective use of dapagliflozin tablets
Medicines are sometimes prescribed for purposes other than those listed in a Medication Guide. Do not use dapagliflozin tablets for a condition for which it is not prescribed. Do not give dapagliflozin tablets to other people, even if they have the same symptoms you have. It may harm them. This Medication Guide summarizes the most important information about dapagliflozin tablets. If you would like more information, talk to your healthcare provider. You can ask your pharmacist or healthcare provider for information about dapagliflozin tablets that is written for healthcare professionals. For more information about dapagliflozin tablets, go to www.lupinpharmaceuticals.com or call Lupin Pharmaceuticals, Inc. at 1-800-399-2561. |
| What are the ingredients in dapagliflozin tablets?
Active ingredient: dapagliflozin. Inactive ingredients: colloidal silicon dioxide, crospovidone, lactose anhydrous, microcrystalline cellulose, povidone, and sodium stearyl fumarate. The film coating contains: polyethylene glycol, polyvinyl alcohol, talc, titanium dioxide, and yellow iron oxide. ![]() Manufactured for: Lupin Pharmaceuticals, Inc. Naples, FL 34108 United States MADE IN INDIA |
Pediatric use information is approved for AstraZeneca AB's Farxiga® (dapagliflozin) Tablets. However, due to AstraZeneca AB's marketing exclusivity rights, this drug product is not labeled with that information.
The brands listed are trademarks of their respective owners and are not trademarks of Lupin Limited. The makers of these brands are not affiliated with and do not endorse Lupin Limited or its products.
This Medication Guide has been approved by the U.S. Food and Drug Administration.
Revised: March 2026 ID#: 283373
Rx only
5mg
NDC: 70748-105-06
30 tablets bottle label

Rx only
10 mg
NDC: 70748-106-06
30 tablets bottle label

| DAPAGLIFLOZIN
dapagliflozin tablet |
||||||||||||||||||||||||||
|
||||||||||||||||||||||||||
|
||||||||||||||||||||||||||
|
||||||||||||||||||||||||||
|
||||||||||||||||||||||||||
|
||||||||||||||||||||||||||
|
||||||||||||||||||||||||||
| DAPAGLIFLOZIN
dapagliflozin tablet |
||||||||||||||||||||||||||
|
||||||||||||||||||||||||||
|
||||||||||||||||||||||||||
|
||||||||||||||||||||||||||
|
||||||||||||||||||||||||||
|
||||||||||||||||||||||||||
|
||||||||||||||||||||||||||
| Labeler - Lupin Pharmaceuticals, Inc. (089153071) |
| Registrant - LUPIN LIMITED (675923163) |
| Establishment | |||
| Name | Address | ID/FEI | Business Operations |
|---|---|---|---|
| LUPIN LIMITED | 650759348 | MANUFACTURE(70748-105, 70748-106) , PACK(70748-105, 70748-106) | |