Leuprolide Acetate by is a Prescription medication manufactured, distributed, or labeled by Avenacy Inc.. Drug facts, warnings, and ingredients follow.
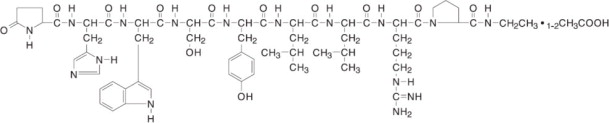
Leuprolide acetate is a synthetic nonapeptide analog of naturally occurring gonadotropin releasing hormone (GnRH or LH-RH). The analog possesses greater potency than the natural hormone. The chemical name is 5-oxo-L-prolyl-L-histidyl-L-tryptophyl-L-seryl-L-tyrosyl-D-leucyl-L-leucyl-L-arginyl-N-ethyl-L-prolinamide acetate (salt) with the following structural formula:
Leuprolide acetate injection is a sterile, aqueous solution intended for subcutaneous injection. It is available in a 2.8 mL multiple-dose vial containing leuprolide acetate (5 mg per mL), sodium chloride, USP (6.3 mg per mL) for tonicity adjustment, benzyl alcohol, NF as a preservative (9 mg per mL), and water for injection, USP. The pH may have been adjusted with sodium hydroxide, NF and/or acetic acid, NF. The pH range is 4.0 to 6.0.
Leuprolide acetate, a GnRH agonist, acts as an inhibitor of gonadotropin secretion. Animal studies indicate that following an initial stimulation, continuous administration of leuprolide acetate results in suppression of ovarian and testicular steroidogenesis. This effect was reversible upon discontinuation of drug therapy. Administration of leuprolide acetate has resulted in inhibition of the growth of certain hormone dependent tumors (prostatic tumors in Noble and Dunning male rats and DMBA-induced mammary tumors in female rats) as well as atrophy of the reproductive organs.
In humans, subcutaneous administration of single daily doses of leuprolide acetate results in an initial increase in circulating levels of luteinizing hormone (LH) and follicle stimulating hormone (FSH), leading to a transient increase in levels of the gonadal steroids (testosterone and dihydrotestosterone in males, and estrone and estradiol in pre-menopausal females). However, continuous daily administration of leuprolide acetate results in decreased levels of LH and FSH. In males, testosterone is reduced to castrate levels. In pre-menopausal females, estrogens are reduced to post-menopausal levels. These decreases occur within two to four weeks after initiation of treatment, and castrate levels of testosterone in prostatic cancer patients have been demonstrated for periods of up to five years.
Leuprolide acetate is not active when given orally.
Bioavailability by subcutaneous administration is comparable to that by intravenous administration.
The mean steady-state volume of distribution of leuprolide following intravenous bolus administration to healthy male volunteers was 27 L. In vitro binding to human plasma proteins ranged from 43% to 49%.
In healthy male volunteers, a 1 mg bolus of leuprolide administered intravenously revealed that the mean systemic clearance was 7.6 L/h, with a terminal elimination half-life of approximately 3 hours based on a two compartment model. In rats and dogs, administration of 14C-labeled leuprolide was shown to be metabolized to smaller inactive peptides, a pentapeptide (Metabolite I), tripeptides (Metabolites II and III) and a dipeptide (Metabolite IV). These fragments may be further catabolized.
The major metabolite (M-I) plasma concentrations measured in 5 prostate cancer patients reached maximum concentration 2 to 6 hours after dosing and were approximately 6% of the peak parent drug concentration. One week after dosing, mean plasma M-I concentrations were approximately 20% of mean leuprolide concentrations.
Following administration of LUPRON DEPOT 3.75 mg to 3 patients, less than 5% of the dose was recovered as parent and M-I metabolite in the urine.
The pharmacokinetics of the drug in hepatically and renally impaired patients has not been determined.
No pharmacokinetic-based drug-drug interaction studies have been conducted with leuprolide acetate. However, because leuprolide acetate is a peptide that is primarily degraded by peptidase and not by cytochrome P-450 enzymes as noted in specific studies, and the drug is only about 46% bound to plasma proteins, drug interactions would not be expected to occur.
Initially, leuprolide acetate, like other LH-RH agonists, causes increases in serum levels of testosterone. Transient worsening of symptoms, or the occurrence of additional signs and symptoms of prostate cancer, may occasionally develop during the first few weeks of leuprolide acetate treatment. A small number of patients may experience a temporary increase in bone pain, which can be managed symptomatically. As with other LH-RH agonists, isolated cases of ureteral obstruction and spinal cord compression have been observed, which may contribute to paralysis with or without fatal complications.
Safe use of leuprolide acetate in pregnancy has not been established clinically. Leuprolide acetate may cause fetal harm.
Periodic monitoring of serum testosterone and prostate-specific antigen (PSA) levels is recommended, especially if the anticipated clinical or biochemical response to treatment has not been achieved. It should be noted that results of testosterone determinations are dependent on assay methodology. It is advisable to be aware of the type and precision of the assay methodology to make appropriate clinical and therapeutic decisions.
Leuprolide acetate can cause severe cutaneous adverse reactions (SCARs), including Stevens-Johnson syndrome/toxic epidermal necrolysis (SJS/TEN), drug reaction with eosinophilia and systemic symptoms (DRESS), and acute generalized exanthematous pustulosis (AGEP). SCARs, including SJS/TEN, DRESS, and AGEP, occurred in patients receiving leuprolide acetate; including cases with visceral involvement and/or requiring skin grafts [see ADVERSE REACTIONS].
Monitor patients for the development of SCARs.
If a SCAR is suspected, interrupt leuprolide acetate until the etiology of the reaction has been determined. Consultation with a dermatologist is recommended. If a SCAR is confirmed, or for other grade 4 skin reactions, permanently discontinue leuprolide acetate.
Patients with metastatic vertebral lesions and/or with urinary tract obstruction should be closely observed during the first few weeks of therapy (see WARNINGS and ADVERSE REACTIONS sections).
Patients with known allergies to benzyl alcohol, an ingredient of the drug's vehicle, may present symptoms of hypersensitivity, usually local, in the form of erythema and induration at the injection site.
Hyperglycemia and an increased risk of developing diabetes have been reported in men receiving GnRH agonists. Hyperglycemia may represent development of diabetes mellitus or worsening of glycemic control in patients with diabetes. Monitor blood glucose and/or glycosylated hemoglobin (HbA1c) periodically in patients receiving a GnRH agonist and manage with current practice for treatment of hyperglycemia or diabetes.
Increased risk of developing myocardial infarction, sudden cardiac death and stroke has been reported in association with use of GnRH agonists in men. The risk appears low based on the reported odds ratios, and should be evaluated carefully along with cardiovascular risk factors when determining a treatment for patients with prostate cancer. Patients receiving a GnRH agonist should be monitored for symptoms and signs suggestive of development of cardiovascular disease and be managed according to current clinical practice.
Based on findings in animal studies, leuprolide acetate may cause fetal harm when administered to a pregnant woman. In animal developmental and reproductive toxicology studies, administration of the monthly formulation of leuprolide acetate on day 6 of pregnancy (sustained exposure was expected throughout the period of organogenesis) caused adverse embryo-fetal toxicity in animals at doses less than the human dose, based on body surface area, using an estimated daily dose. Advise pregnant patients and females of reproductive potential of the potential risk to the fetus.
Androgen deprivation therapy may prolong the QT/QTc interval. Providers should consider whether the benefits of androgen deprivation therapy outweigh the potential risks in patients with congenital long QT syndrome, congestive heart failure, frequent electrolyte abnormalities, and in patients taking drugs known to prolong the QT interval. Electrolyte abnormalities should be corrected. Consider periodic monitoring of electrocardiograms and electrolytes.
Response to leuprolide acetate should be monitored by measuring serum levels of testosterone and prostate-specific antigen (PSA). In the majority of patients, testosterone levels increased above baseline during the first week, declining thereafter to baseline levels or below by the end of the second week of treatment. Castrate levels were reached within two to four weeks and once attained were maintained for as long as drug administration continued.
Administration of leuprolide acetate in therapeutic doses results in suppression of the pituitary-gonadal system. Normal function is usually restored within 4 to 12 weeks after treatment is discontinued.
Two-year carcinogenicity studies were conducted with leuprolide acetate in rats and mice. In rats, a dose-related increase of benign pituitary hyperplasia and benign pituitary adenomas was noted at 24 months when the drug was administered subcutaneously at high daily doses (0.6 to 4 mg/kg). There was a significant but not dose-related increase of pancreatic islet-cell adenomas in females and of testicular interstitial cell adenomas in males (highest incidence in the low dose group). In mice, no pituitary abnormalities were observed at a dose as high as 60 mg/kg for two years. Patients have been treated with leuprolide acetate for up to three years with doses as high as 10 mg/day and for two years with doses as high as 20 mg/day without demonstrable pituitary abnormalities.
Mutagenicity studies have been performed with leuprolide acetate using bacterial and mammalian systems. These studies provided no evidence of a mutagenic potential.
Leuprolide may reduce male and female fertility. Administration of leuprolide acetate to male and female rats at dose of 0.024, 0.24, and 2.4 mg/kg as monthly depot formulation for up to 3 months (approximately as low as 1/30 of the human dose based on body surface area using an estimated daily dose in animals and humans) caused atrophy of the reproductive organs, and suppression of reproductive function. These changes were reversible upon cessation of treatment.
Based on findings in animal studies and mechanism of action, leuprolide acetate may cause fetal harm when administered to a pregnant woman. There are no available data in pregnant women to inform the drug-associated risk. In animal developmental and reproductive toxicology studies, administration of a monthly formulation of leuprolide acetate on day 6 of pregnancy (sustained exposure was expected throughout the period of organogenesis) caused adverse embryo-fetal toxicity in animals at doses less than the human dose based on body surface area using an estimated daily dose (see Data). Advise pregnant patients and females of reproductive potential of the potential risk to the fetus.
Major fetal malformations were observed in developmental and reproductive toxicology studies in rabbits after a single administration of the monthly formulation of leuprolide acetate administered on day 6 of pregnancy at test dosages of 0.00024, 0.0024, and 0.024 mg/kg (approximately 1/600 to 1/6 the human dose based on body surface area using an estimated daily dose in animals and humans). Since a depot formulation was utilized in the study, a sustained exposure to leuprolide was expected throughout the period of organogenesis and to the end of gestation. Similar studies in rats did not demonstrate an increase in fetal malformations, however, there was increased fetal mortality and decreased fetal weights with the two higher doses of the monthly formulation of leuprolide acetate in rabbits and with the highest dose in rats.
The safety and efficacy of leuprolide acetate have not been established in females. There is no information regarding the presence of leuprolide acetate in human milk, the effects on the breastfed child, or the effects on milk production. Because many drugs are excreted in human milk and because of the potential for serious adverse reactions in a breastfed child from leuprolide acetate, a decision should be made to discontinue breastfeeding or discontinue the drug, taking into account the importance of the drug to the mother.
In the majority of patients testosterone levels increased above baseline during the first week, declining thereafter to baseline levels or below by the end of the second week of treatment. This transient increase was occasionally associated with a temporary worsening of signs and symptoms, usually manifested by an increase in bone pain (see WARNINGS section). Cases of temporary worsening of existing hematuria and urinary tract obstruction have occurred during the first week. Temporary weakness and paresthesia of the lower limbs have been reported.
Potential exacerbations of signs and symptoms during the first few weeks of treatment is a concern in patients with vertebral metastases and/or urinary obstruction which, if aggravated, may lead to neurological problems or increase the obstruction.
In a comparative trial of leuprolide acetate injection versus DES, in 5% or more of the patients receiving either drug, the following adverse reactions were reported to have a possible or probable relationship to drug as ascribed by the treating physician. Often, causality is difficult to assess in patients with metastatic prostate cancer. Reactions considered not drug related are excluded.
|
* Physiologic effect of decreased testosterone. |
||
| Leuprolide Acetate
(N=98) | DES
(N=101) |
|
| Number of Reports | ||
| Cardiovascular System | ||
| Congestive heart failure | 1 | 5 |
| ECG changes/ischemia | 19 | 22 |
| High blood pressure | 8 | 5 |
| Murmur | 3 | 8 |
| Peripheral edema | 12 | 30 |
| Phlebitis/thrombosis | 2 | 10 |
| Gastrointestinal System | ||
| Anorexia | 6 | 5 |
| Constipation | 7 | 9 |
| Nausea/vomiting | 5 | 17 |
| Endocrine System | ||
| *Decreased testicular size | 7 | 11 |
| *Gynecomastia/breast tenderness or pain | 7 | 63 |
| *Hot flashes | 55 | 12 |
| *Impotence | 4 | 12 |
| Hemic and Lymphatic System | ||
| Anemia | 5 | 5 |
| Musculoskeletal System | ||
| Bone pain | 5 | 2 |
| Myalgia | 3 | 9 |
| Central/Peripheral Nervous System | ||
| Dizziness/lightheadedness | 5 | 7 |
| General pain | 13 | 13 |
| Headache | 7 | 4 |
| Insomnia/sleep disorders | 7 | 5 |
| Respiratory System | ||
| Dyspnea | 2 | 8 |
| Sinus congestion | 5 | 6 |
| Integumentary System | ||
| Dermatitis | 5 | 8 |
| Urogenital System | ||
| Frequency/urgency | 6 | 8 |
| Hematuria | 6 | 4 |
| Urinary tract infection | 3 | 7 |
| Miscellaneous | ||
| Asthenia | 10 | 10 |
In this same study, the following adverse reactions were reported in less than 5% of the patients on leuprolide acetate.
Cardiovascular System – Angina, Cardiac arrhythmias, Myocardial infarction, Pulmonary emboli;
Gastrointestinal System – Diarrhea, Dysphagia, Gastrointestinal bleeding, Gastrointestinal disturbance, Peptic ulcer, Rectal polyps;
Endocrine System – Libido decrease, Thyroid enlargement;
Musculoskeletal System – Joint pain;
Central/Peripheral Nervous System – Anxiety, Blurred vision, Lethargy, Memory disorder, Mood swings, Nervousness, Numbness, Paresthesia, Peripheral neuropathy, Syncope/blackouts, Taste disorders;
Respiratory System – Cough, Pleural rub, Pneumonia, Pulmonary fibrosis;
Integumentary System – Carcinoma of skin/ear, Dry skin, Ecchymosis, Hair loss, Itching, Local skin reactions, Pigmentation, Skin lesions;
Urogenital System – Bladder spasms, Dysuria, Incontinence, Testicular pain, Urinary obstruction;
Miscellaneous – Depression, Diabetes, Fatigue, Fever/chills, Hypoglycemia, Increased BUN, Increased calcium, Increased creatinine, Infection/inflammation, Ophthalmologic disorders, Swelling (temporal bone).
In an additional clinical trial and from long-term observation of both studies, the following additional adverse events (excluding those considered not drug related) were reported for patients receiving leuprolide acetate.
Cardiovascular System – Bradycardia, Carotid bruit, Extrasystole, Palpitations, Perivascular cuffing (eyes), Ruptured aortic aneurysm, Stroke, Tachycardia, Transient ischemic attack;
Gastrointestinal System – Flatus, Dryness of mouth and throat, Hepatitis, Hepatomegaly, Occult blood (rectal exam), Rectal fistula/erythema;
Endocrine System – Libido increase, Thyroid nodule;
Musculoskeletal System – Ankylosing spondylosis, Arthritis, Blurred disc margins, Bone fracture, Muscle stiffness, Muscle tenderness, Pelvic fibrosis, Spasms/cramps;
Central/Peripheral Nervous System – Auditory hallucinations/tinnitus, Decreased hearing, Decreased reflexes, Euphoria, Hyperreflexia, Loss of smell, Motor deficiency;
Respiratory System – Chest tightness, Decreased breathing sounds, Hemoptysis, Pleuritic chest pain, Pulmonary infiltrate, Rales/rhonchi, Rhinitis, Strep throat, Wheezing/bronchitis;
Integumentary System – Boil (pubic), Bruises, Hives, Keratosis, Mole, Shingles, Spiders;
Urogenital System – Blisters on penis, Inguinal hernia, Penile swelling, Post void residual, Prostatic pain, Pyuria;
Miscellaneous – Abdominal distention, Facial swelling/edema, Feet burning, Flu, Eyelid growth, Hypoproteinemia, Accidental injury, Knee effusion, Mass, Pallid, Sallow, Weakness.
During postmarketing surveillance which includes other dosage forms and other patient populations, the following adverse events were reported.
Symptoms consistent with an anaphylactoid or asthmatic process have been rarely (incidence rate of about 0.002%) reported.
Symptoms consistent with fibromyalgia (e.g., joint and muscle pain, headaches, sleep disorders, gastrointestinal distress, and shortness of breath) have been reported individually and collectively.
General disorders and administration site conditions – injection site reactions including induration, abscess, and necrosis;
Cardiovascular System – Hypotension, Myocardial infarction, Pulmonary embolism;
Endocrine System – Diabetes;
Gastrointestinal System – Hepatic dysfunction;
Hepato-biliary disorder – Serious drug-induced liver injury;
Hemic and Lymphatic System – Decreased WBC;
Skin and Subcutaneous Tissue Disorders – Rash, Urticaria, Photosensitivity, Hair growth, SJS/TEN, DRESS, AGEP, Dermatitis exfoliative, Bullous dermatitis, Erythema multiforme;
Central/Peripheral Nervous System – Convulsion, Peripheral neuropathy, Spinal fracture/paralysis, Hearing disorder;
Miscellaneous – Hard nodule in throat, Weight gain, Increased uric acid;
Musculoskeletal System – Tenosynovitis-like symptoms;
Respiratory System – Respiratory disorders, Interstitial lung disease;
Urogenital System – Prostate pain.
Changes in Bone Density – Decreased bone density has been reported in the medical literature in men who have had orchiectomy or who have been treated with an LH-RH agonist analog. In a clinical trial, 25 men with prostate cancer, 12 of whom had been treated previously with leuprolide acetate for at least six months, underwent bone density studies as a result of pain. The leuprolide-treated group had lower bone density scores than the nontreated control group. It can be anticipated that long periods of medical castration in men will have effects on bone density.
Pituitary apoplexy – During post-marketing surveillance, rare cases of pituitary apoplexy (a clinical syndrome secondary to infarction of the pituitary gland) have been reported after the administration of gonadotropin-releasing hormone agonists. In a majority of these cases, a pituitary adenoma was diagnosed, with a majority of pituitary apoplexy cases occurring within 2 weeks of the first dose, and some within the first hour. In these cases, pituitary apoplexy has presented as sudden headache, vomiting, visual changes, ophthalmoplegia, altered mental status, and sometimes cardiovascular collapse. Immediate medical attention has been required.
Psychiatric Disorders ̵ Suicidal ideation and attempt;
See other LUPRON DEPOT and leuprolide acetate injection package inserts for other events reported in the same and different patient populations.
To report SUSPECTED ADVERSE REACTIONS, contact Avenacy at 1-855-283-6229 or FDA at 1-800-FDA-1088 or www.fda.gov/medwatch.
In rats subcutaneous administration of 250 to 500 times the recommended human dose, expressed on a per body weight basis, resulted in dyspnea, decreased activity, and local irritation at the injection site. There is no evidence at present that there is a clinical counterpart of this phenomenon. In early clinical trials with leuprolide acetate doses as high as 20 mg/day for up to two years caused no adverse effects differing from those observed with the 1 mg/day dose.
The recommended dose is 1 mg (0.2 mL or 20 unit mark) administered as a single daily subcutaneous injection. As with other drugs administered chronically by subcutaneous injection, the injection site should be varied periodically. Each 0.2 mL contains 1 mg of leuprolide acetate, sodium chloride for tonicity adjustment, 1.8 mg of benzyl alcohol as preservative and water for injection. The pH may have been adjusted with sodium hydroxide and/or acetic acid.
Follow the pictorial directions on the reverse side of this package insert for administration.
NOTE: As with all parenteral products, inspect the solution for discoloration and particulate matter before each use.
Be sure to consult your physician with any questions you may have or for information about leuprolide acetate injection and its use.
WHAT IS LEUPROLIDE ACETATE INJECTION?
Leuprolide acetate injection is chemically similar to gonadotropin releasing hormone (GnRH or LH-RH) a hormone which occurs naturally in your body.
Normally, your body releases small amounts of LH-RH and this leads to events which stimulate the production of sex hormones.
However, when you inject leuprolide acetate injection, the normal events that lead to sex hormone production are interrupted and testosterone is no longer produced by the testes.
Leuprolide acetate must be injected because, like insulin which is injected by diabetics, leuprolide acetate is inactive when taken by mouth.
If you were to discontinue the drug for any reason, your body would begin making testosterone again.
DIRECTIONS FOR USING LEUPROLIDE ACETATE INJECTION
SOME SPECIAL ADVICE
Brands listed are the trademarks of their respective owners.
AVENACY
Mfd. for Avenacy
Schaumburg, IL 60173 (USA)
Made in Taiwan
©2026 Avenacy
Revised: March 2026
LEUPROLIDE (loo-PROE-lide) ACETATE INJECTION
Read the Instructions for Use before you start using leuprolide acetate injection and each time you get a refill. There may be new information. This information does not take the place of talking to your doctor about your medical condition or your treatment. Your doctor should show you how to draw up leuprolide acetate injection and give the injection the right way before you inject the first time.
Do not share your syringes with other people, even if the needle has been changed. You may give other people a serious infection or get a serious infection from them.
Supplies you will need for the Leuprolide Acetate Injection:
Preparing the Leuprolide Acetate Injection
Step 1.
Wash hands thoroughly (See Figure B) and dry them with a clean towel.
Step 2.
Step 3.
Remove outer wrapping from 1 syringe (See Figure D).
Step 4.
Pull the syringe plunger back until the tip is at the proper mark for the prescribed dose (See Figure E).
Step 5.
Uncover needle by pulling the cap straight off (See Figure F). Do not touch the needle.
Step 6.
Step 7.
Step 8.
Giving Leuprolide Acetate Injection
Step 9.
Step 10.
Disposal of used needles, syringes, and vials
Step 11.
AVENACY
Mfd. for Avenacy
Schaumburg, IL 60173 (USA)
Made in Taiwan
©2025 Avenacy
Revised: September 2025
PACKAGE LABEL – PRINCIPAL DISPLAY PANEL – Vial Label
NDC: 83634-452-03
Leuprolide Acetate Injection
14 mg per 2.8 mL (1 mg per 0.2 mL)
Rx only
For Subcutaneous Injection
Multi-Dose Vial
PACKAGE LABEL – PRINCIPAL DISPLAY PANEL – Carton
NDC: 83634-452-03
Leuprolide Acetate Injection
14 mg per 2.8 mL (1 mg per 0.2 mL)
Rx only
For Subcutaneous Injection
One Multi-Dose Vial
PACKAGE LABEL – PRINCIPAL DISPLAY PANEL – Kit
NDC: 83634-454-61
Leuprolide Acetate Injection
14 mg per 2.8 mL (1 mg per 0.2 mL)
Rx only
For Subcutaneous Injection
14 Day Patient Administration Kit
| LEUPROLIDE ACETATE
leuprolide acetate kit |
|||||||||||||||
|
|||||||||||||||
|
|||||||||||||||
|
|||||||||||||||
|
|||||||||||||||
|
|||||||||||||||
|
|||||||||||||||
|
|||||||||||||||
|
|||||||||||||||
|
|||||||||||||||
|
|||||||||||||||
|
|||||||||||||||
|
|||||||||||||||
|
|||||||||||||||
|
|||||||||||||||
|
|||||||||||||||
|
|||||||||||||||
| Labeler - Avenacy, LLC (119060628) |