DICLOFENAC POTASSIUM by is a Prescription medication manufactured, distributed, or labeled by Umedica Laboratories USA Inc., Umedica Laboratories Pvt. Ltd.. Drug facts, warnings, and ingredients follow.
Warnings and Precautions ( 5.9) 11/2024
Diclofenac potassium for oral solution is a non-steroidal anti-inflammatory drug (NSAID) indicated for the acute treatment of migraine attacks with or without aura in adults 18 years of age or older ( 1)
Limitations of Use( 1):
Single 50 mg dose; mix single packet contents with 1 to 2 ounces (30 to 60 mL) of water prior to administration
Packets: Each containing buffered diclofenac potassium 50 mg in a soluble powder (3)
Most common adverse reactions (≥1% and >placebo) were nausea and dizziness ( 6.1)
To report SUSPECTED ADVERSE REACTIONS, contact Umedica Laboratories USA Inc. at 1-855-288-5777 or FDA at 1-800-FDA-1088 or www.fda.gov/medwatch.
See 17 for PATIENT COUNSELING INFORMATION and Medication Guide.
Revised: 1/2026
Cardiovascular Thrombotic Events
Gastrointestinal Bleeding, Ulceration, and Perforation
Diclofenac potassium for oral solution is indicated for the acute treatment of migraine attacks with or without aura in adults (18 years of age or older).
Limitations of Use:
Administer one packet (50 mg) of diclofenac potassium for oral solution for the acute treatment of migraine. Empty the contents of one packet into a cup containing 1 to 2 ounces (30 to 60 mL) of water, mix well and drink immediately.
Do not use liquids other than water.
Taking diclofenac potassium for oral solution with food may cause a reduction in effectiveness compared to taking diclofenac potassium for oral solution on an empty stomach [see Clinical Pharmacology ( 12.3)] .
Use the lowest effective dose for the shortest duration consistent with individual patient treatment goals. The safety and effectiveness of a second dose have not been established.
Different formulations of oral diclofenac (e.g., diclofenac potassium for oral solution, diclofenac sodium enteric-coated tablets, diclofenac sodium extended-release tablets, or diclofenac potassium immediate-release tablets) may not be bioequivalent even if the milligram strength is the same. Therefore, it is not possible to convert dosing from any other formulation of diclofenac to diclofenac potassium for oral solution.
Diclofenac potassium for oral solution is contraindicated in the following patients:
Clinical trials of several COX-2 selective and nonselective NSAIDs of up to three years duration have shown an increased risk of serious cardiovascular (CV) thrombotic events, including myocardial infarction (MI) and stroke, which can be fatal. Based on available data, it is unclear that the risk for CV thrombotic events is similar for all NSAIDs. The relative increase in serious CV thrombotic events over baseline conferred by NSAID use appears to be similar in those with and without known CV disease or risk factors for CV disease. However, patients with known CV disease or risk factors had a higher absolute incidence of excess serious CV thrombotic events, due to their increased baseline rate. Some observational studies found that this increased risk of serious CV thrombotic events began as early as the first weeks of treatment. The increase in CV thrombotic risk has been observed most consistently at higher doses.
To minimize the potential risk for an adverse CV event in NSAID-treated patients, use the lowest effective dose for the shortest duration possible. Physicians and patients should remain alert for the development of such events, throughout the entire treatment course, even in the absence of previous CV symptoms. Patients should be informed about the symptoms of serious CV events and the steps to take if they occur.
There is no consistent evidence that concurrent use of aspirin mitigates the increased risk of serious CV thrombotic events associated with NSAID use. The concurrent use of aspirin and an NSAID, such as diclofenac, increases the risk of serious gastrointestinal (GI) events [see Warnings and Precautions ( 5.2)] .
Status Post Coronary Artery Bypass Graft (CABG) Surgery
Two large, controlled clinical trials of a COX-2 selective NSAID for the treatment of pain in the first 10-14 days following CABG surgery found an increased incidence of myocardial infarction and stroke. NSAIDs are contraindicated in the setting of CABG [see Contraindications ( 4)] .
Post-MI Patients
Observational studies conducted in the Danish National Registry have demonstrated that patients treated with NSAIDs in the post-MI period were at increased risk of reinfarction, CV-related death, and all-cause mortality beginning in the first week of treatment. In this same cohort, the incidence of death in the first year post-MI was 20 per 100 person years in NSAID-treated patients compared to 12 per 100 person years in non-NSAID exposed patients. Although the absolute rate of death declined somewhat after the first year post-MI, the increased relative risk of death in NSAID users persisted over at least the next four years of follow-up.
Avoid the use of diclofenac potassium for oral solution in patients with a recent MI unless the benefits are expected to outweigh the risk of recurrent CV thrombotic events. If diclofenac potassium for oral solution is used in patients with a recent MI, monitor patients for signs of cardiac ischemia.
NSAIDs, including diclofenac, cause serious gastrointestinal (GI) adverse events including inflammation, bleeding, ulceration, and perforation of the esophagus, stomach, small intestine, or large intestine, which can be fatal. These serious adverse events can occur at any time, with or without warning symptoms, in patients treated with NSAIDs. Only one in five patients who develop a serious upper GI adverse event on NSAID therapy is symptomatic. Upper GI ulcers, gross bleeding, or perforation caused by NSAIDs occurred in approximately 1% of patients treated for 3-6 months, and in about 2%-4% of patients treated for one year. However, even short-term NSAID therapy is not without risk.
Risk Factors for GI Bleeding, Ulceration, and Perforation
Patients with a prior history of peptic ulcer disease and/or GI bleeding who used NSAIDs had a greater than 10-fold increased risk for developing a GI bleed compared to patients without these risk factors. Other factors that increase the risk for GI bleeding in patients treated with NSAIDs include longer duration of NSAID therapy; concomitant use of oral corticosteroids, aspirin, anticoagulants, or selective serotonin reuptake inhibitors (SSRI); smoking; use of alcohol; older age; and poor general health status. Most postmarketing reports of fatal GI events occurred in elderly or debilitated patients. Additionally, patients with advanced liver disease and/or coagulopathy are at increased risk for GI bleeding.
Strategies to Minimize the GI Risk in NSAID-treated patients:
Elevations of one or more liver tests may occur during therapy with diclofenac potassium for oral solution. These laboratory abnormalities may progress, may persist, or may only be transient with continued therapy. Borderline elevations (less than 3 times the upper limit of the normal [ULN] range) or greater elevations of transaminases occurred in about 15% of diclofenac-treated patients. Of the markers of hepatic function, ALT (SGPT) is recommended for the monitoring of liver injury.
In clinical trials, meaningful elevations (i.e., more than 3 times the ULN) of AST (SGOT) occurred in about 2% of approximately 5,700 patients at some time during treatment (ALT was not measured in all studies). In an open-label, controlled trial of 3,700 patients treated for 2-6 months, patients were monitored at 8 weeks and 1,200 patients were monitored again at 24 weeks. Meaningful elevations of ALT and/or AST occurred in about 4% of the 3,700 patients and included marked elevations (>8 times the ULN) in about 1% of the 3,700 patients. In this open-label study, a higher incidence of borderline (less than 3 times the ULN), moderate (3-8 times the ULN), and marked (>8 times the ULN) elevations of ALT or AST was observed in patients receiving diclofenac when compared to other NSAIDs. Almost all meaningful elevations in transaminases were detected before patients became symptomatic [see Warnings and Precautions ( 5.15)].
Abnormal tests occurred during the first 2 months of therapy with diclofenac in 42 of the 51 patients in all trials who developed marked transaminase elevations. In postmarketing reports, cases of drug-induced hepatotoxicity have been reported in the first month, and in some cases, the first 2 months of NSAID therapy, but can occur at any time during treatment with diclofenac.
Postmarketing surveillance has reported cases of severe hepatic reactions, including liver necrosis, jaundice, fulminant hepatitis with and without jaundice, and liver failure. Some of these reported cases resulted in fatalities or liver transplantation.
Inform patients of the warning signs and symptoms of hepatotoxicity (e.g., nausea, fatigue, lethargy, diarrhea, pruritus, jaundice, right upper quadrant tenderness, and "flu-like" symptoms). If clinical signs and symptoms consistent with liver disease develop, or if systemic manifestations occur (e.g., eosinophilia, rash, etc.), discontinue diclofenac potassium for oral solution immediately, and perform a clinical evaluation of the patient.
To minimize the potential risk for an adverse liver-related event in patients treated with diclofenac potassium for oral solution, use the lowest effective dose for the shortest duration possible. Exercise caution when prescribing diclofenac potassium for oral solution with concomitant drugs that are known to be potentially hepatotoxic (e.g., acetaminophen, certain antibiotics, antiepileptics). Caution patients to avoid taking nonprescription acetaminophen-containing products while using diclofenac potassium for oral solution.
NSAIDs, including diclofenac potassium for oral solution, can lead to new onset of hypertension or worsening of pre-existing hypertension, either of which may contribute to the increased incidence of CV events. Use NSAIDs, including diclofenac potassium for oral solution, with caution in patients with hypertension. Monitor blood pressure closely during the initiation of NSAID treatment and throughout the course of therapy.
Patients taking angiotensin converting enzyme (ACE) inhibitors, thiazides, or loop diuretics may have impaired response to these therapies when taking NSAIDs
[see Drug Interactions (
7)]
.
The Coxib and traditional NSAID Trialists’ Collaboration meta-analysis of randomized controlled trials demonstrated an approximately two-fold increase in hospitalizations for heart failure in COX-2 selective-treated patients and nonselective NSAID-treated patients compared to placebo-treated patients. In a Danish National Registry study of patients with heart failure, NSAID use increased the risk of MI, hospitalization for heart failure, and death.
Additionally, fluid retention and edema have been observed in some patients treated with NSAIDs. Use of diclofenac may blunt the CV effects of several therapeutic agents used to treat these medical conditions (e.g., diuretics, ACE inhibitors, or angiotensin receptor blockers [ARBs]) [see Drug Interactions ( 7)] .
Avoid the use of diclofenac potassium for oral solution in patients with severe heart failure unless the benefits are expected to outweigh the risk of worsening heart failure. If diclofenac potassium for oral solution is used in patients with severe heart failure, monitor patients for signs of worsening heart failure.
Renal Toxicity
Long-term administration of NSAIDs has resulted in renal papillary necrosis and other renal injury. Renal toxicity has also been seen in patients in whom renal prostaglandins have a compensatory role in the maintenance of renal perfusion. In these patients, administration of an NSAID may cause a dose-dependent reduction in prostaglandin formation and, secondarily, in renal blood flow, which may precipitate overt renal decompensation. Patients at greatest risk of this reaction are those with impaired renal function, dehydration, hypovolemia, heart failure, liver dysfunction, those taking diuretics and ACE inhibitors or ARBs, and the elderly. Discontinuation of NSAID therapy is usually followed by recovery to the pretreatment state.
No information is available from controlled clinical studies regarding the use of diclofenac potassium for oral solution in patients with advanced renal disease. The renal effects of diclofenac potassium for oral solution may hasten the progression of renal dysfunction in patients with pre-existing renal disease.
Correct volume status in dehydrated or hypovolemic patients prior to initiating diclofenac potassium for oral solution. Monitor renal function in patients with renal or hepatic impairment, heart failure, dehydration, or hypovolemia during use of diclofenac potassium for oral solution
[see Drug Interactions (
7)]
. Avoid the use of diclofenac potassium for oral solution in patients with advanced renal disease unless the benefits are expected to outweigh the risk of worsening renal function. If diclofenac potassium for oral solution is used in patients with advanced renal disease, monitor patients for signs of worsening renal function.
Hyperkalemia
Increases in serum potassium concentration, including hyperkalemia, have been reported with use of NSAIDs, even in some patients without renal impairment. In patients with normal renal function, these effects have been attributed to a hyporeninemic-hypoaldosteronism state.
Diclofenac has been associated with anaphylactic reactions in patients with and without known hypersensitivity to diclofenac and in patients with aspirin-sensitive asthma [see Contraindications ( 4) and Warnings and Precautions ( 5.8)] .
Seek emergency help if an anaphylactic reaction occurs.
A subpopulation of patients with asthma may have aspirin-sensitive asthma which may include chronic rhinosinusitis complicated by nasal polyps; severe, potentially fatal bronchospasm; and/or intolerance to aspirin and other NSAIDs. Because cross-reactivity between aspirin and other NSAIDs has been reported in such aspirin-sensitive patients, diclofenac potassium is contraindicated in patients with this form of aspirin sensitivity [see Contraindications ( 4)] . When diclofenac potassium for oral solution is used in patients with preexisting asthma (without known aspirin sensitivity), monitor patients for changes in the signs and symptoms of asthma.
NSAIDs, including diclofenac, can cause serious skin adverse reactions such as exfoliative dermatitis, Stevens-Johnson Syndrome (SJS), and toxic epidermal necrolysis (TEN), which can be fatal. NSAIDs can also cause fixed drug eruption (FDE). FDE may present as a more severe variant known as generalized bullous fixed drug eruption (GBFDE), which can be life-threatening. These serious events may occur without warning. Inform patients about the signs and symptoms of serious skin reactions, and to discontinue the use of diclofenac potassium for oral solution at the first appearance of skin rash or any other sign of hypersensitivity.
Diclofenac potassium for oral solution is contraindicated in patients with previous serious skin reactions to NSAIDs
[see Contraindications (
4)]
.
Drug Reaction with Eosinophilia and Systemic Symptoms (DRESS) has been reported in patients taking NSAIDs such as diclofenac potassium for oral solution. Some of these events have been fatal or life-threatening. DRESS typically, although not exclusively, presents with fever, rash, lymphadenopathy, and/or facial swelling. Other clinical manifestations may include hepatitis, nephritis, hematological abnormalities, myocarditis, or myositis. Sometimes symptoms of DRESS may resemble an acute viral infection. Eosinophilia is often present. Because this disorder is variable in its presentation, other organ systems not noted here may be involved. It is important to note that early manifestations of hypersensitivity, such as fever or lymphadenopathy, may be present even though rash is not evident. If such signs or symptoms are present, discontinue diclofenac potassium for oral solution and evaluate the patient immediately.
Overuse of acute migraine drugs (e.g., ergotamine, triptans, opioids, nonsteroidal anti-inflammatory drugs or combination of these drugs for 10 or more days per month) may lead to exacerbation of headache (medication overuse headache). Medication overuse headache may present as migraine-like daily headaches or as a marked increase in frequency of migraine attacks. Detoxification of patients, including withdrawal of the overused drugs and treatment of withdrawal symptoms (which often includes a transient worsening of headache) may be necessary.
Premature Closure of Fetal Ductus Arteriosus
Avoid use of NSAIDs, including diclofenac potassium for oral solution, in pregnant women at about 30 weeks gestation and later. NSAIDs, including diclofenac potassium for oral solution, increase the risk of premature closure of the fetal ductus arteriosus at approximately this gestational age.
Oligohydramnios/Neonatal Renal Impairment
Use of NSAIDs, including diclofenac potassium for oral solution, at about 20 weeks gestation or later in pregnancy may cause fetal renal dysfunction leading to oligohydramnios and, in some cases, neonatal renal impairment. These adverse outcomes are seen, on average, after days to weeks of treatment, although oligohydramnios has been infrequently reported as soon as 48 hours after NSAID initiation.
Oligohydramnios is often, but not always, reversible with treatment discontinuation. Complications of prolonged oligohydramnios may, for example, include limb contractures and delayed lung maturation. In some postmarketing cases of impaired neonatal renal function, invasive procedures such as exchange transfusion or dialysis were required.
If NSAID treatment is necessary between about 20 weeks and 30 weeks gestation, limit diclofenac potassium for oral solution use to the lowest effective dose and shortest duration possible. Consider ultrasound monitoring of amniotic fluid if diclofenac potassium for oral solution treatment extends beyond 48 hours. Discontinue diclofenac potassium for oral solution if oligohydramnios occurs and follow up according to clinical practice [see Use in Specific Population ( 8.1)] .
Anemia has occurred in NSAID-treated patients. This may be due to occult or gross blood loss, fluid retention, or an incompletely described effect upon erythropoiesis. If a patient treated with diclofenac potassium for oral solution has any signs or symptoms of anemia, monitor hemoglobin or hematocrit.
NSAIDs, including diclofenac potassium, may increase the risk of bleeding events. Concomitant use of warfarin and other anticoagulants, antiplatelet agents (e.g., aspirin), and serotonin reuptake inhibitors (SSRIs) and serotonin norepinephrine reuptake inhibitors (SNRIs) may increase this risk. Monitor these patients and any patient who may be adversely affected by alterations in platelet function for signs of bleeding [see Drug Interactions ( 7)] .
The pharmacological activity of diclofenac potassium in reducing inflammation, and possibly fever, may diminish the utility of diagnostic signs in detecting infections.
Because serious GI bleeding, hepatotoxicity, and renal injury can occur without warning symptoms or signs, consider monitoring patients on long-term NSAID treatment with a CBC and a chemistry profile periodically [see Warnings and Precautions ( 5.2, 5.3, 5.6)] .
Discontinue diclofenac potassium for oral solution if abnormal liver tests or renal tests persist or worsen.
The following serious adverse reactions are discussed in greater detail in other sections of the labeling:
Because clinical trials are conducted under widely varying conditions, adverse reaction rates observed in the clinical trials of a drug cannot be directly compared with rates in the clinical trials of another drug and may not reflect the rates observed in practice.
The safety of a single dose of diclofenac potassium for oral solution was evaluated in 2 placebo-controlled trials with a total of 634 migraine patients treated with diclofenac potassium for oral solution for a single migraine headache. Following treatment with diclofenac potassium (either diclofenac potassium for oral solution or diclofenac potassium immediate-release tablets [as a control]), 5 subjects (0.8%) withdrew from the studies; following placebo exposure, 1 subject (0.2%) withdrew.
The most common adverse reactions (i.e., that occurred in 1% or more of diclofenac potassium for oral solution-treated patients) and more frequent with diclofenac potassium for oral solution than with placebo were nausea and dizziness (see Table 1).
| Adverse Reactions | Diclofenac Potassium for Oral Solution | Placebo |
|---|---|---|
| N=634 | N=646 | |
| Gastrointestinal | ||
| Nausea | 3% | 2% |
| Nervous System | ||
| Dizziness | 1% | 0.5% |
The most common adverse events resulting in discontinuation of patients following diclofenac potassium for oral solution dosing in controlled clinical trials were urticaria (0.2%) and flushing (0.2%). No withdrawals were due to a serious reaction.
The following adverse reactions have been identified during post approval use of diclofenac or other NSAIDs. Because these reactions are reported voluntarily from a population of uncertain size, it is not always possible to reliably estimate their frequency or establish a causal relationship to drug exposure.
Adverse Reactions Reported With Diclofenac and Other NSAIDs
In patients taking diclofenac or other NSAIDs, the most frequently reported adverse reactions occurring in approximately 1%-10% of patients are: GI reactions (including abdominal pain, constipation, diarrhea, dyspepsia, flatulence, gross bleeding/perforation, heartburn, nausea, GI ulcers [gastric/duodenal], and vomiting), abnormal renal function, anemia, dizziness, edema, elevated liver enzymes, headaches, increased bleeding time, pruritus, rashes, and tinnitus.
Other less frequently occurring adverse reactions identified during post approval use of diclofenac and other NSAIDs include fixed drug eruption [see Warnings and Precautions ( 5.9)] .
Additional adverse reactions reported in patients taking NSAIDs include occasionally:
Body as a Whole:Fever, infection, sepsis
Cardiovascular System:Congestive heart failure, hypertension, tachycardia, syncope
Digestive System:Dry mouth, esophagitis, gastric/peptic ulcers, gastritis, gastrointestinal bleeding, glossitis, hematemesis, hepatitis, jaundice
Hemic and Lymphatic System:Ecchymosis, eosinophilia, leukopenia, melena, purpura, rectal bleeding, stomatitis, thrombocytopenia
Metabolic and Nutritional:Weight changes
Nervous System:Anxiety, asthenia, confusion, depression, dream abnormalities, drowsiness, insomnia, malaise, nervousness, paresthesia, somnolence, tremors, vertigo
Respiratory System:Asthma, dyspnea
Skin and Appendages:Alopecia, photosensitivity, sweating increased
Special Senses:Blurred vision
Urogenital System:Cystitis, dysuria, hematuria, interstitial nephritis, oliguria/polyuria, proteinuria, renal failure
Other adverse reactions in patients taking NSAIDs, which occur rarely, are:
Body as a Whole:Anaphylactic reactions, appetite changes, death
Cardiovascular System:Arrhythmia, hypotension, myocardial infarction, palpitations, vasculitis
Digestive System:Colitis, eructation, liver failure, pancreatitis
Hemic and Lymphatic System:Agranulocytosis, hemolytic anemia, aplastic anemia, lymphadenopathy, pancytopenia
Metabolic and Nutritional:Hyperglycemia
Nervous System:Convulsions, coma, hallucinations, meningitis
Respiratory System:Respiratory depression, pneumonia
Skin and Appendages:Angioedema, toxic epidermal necrolysis, erythema multiforme, exfoliative dermatitis, Stevens-Johnson syndrome [see Warnings and Precautions ( 5.9)] , urticaria
Special Senses:Conjunctivitis, hearing impairment
See Table 2for clinically significant drug interactions with diclofenac.
| Drugs That Interfere with Hemostasis | |
| Clinical Impact: |
|
| Intervention: | Monitor patients with concomitant use of diclofenac potassium for oral solution with anticoagulants (e.g., warfarin), antiplatelet agents (e.g., aspirin), selective serotonin reuptake inhibitors (SSRIs), and serotonin norepinephrine reuptake inhibitors (SNRIs) for signs of bleeding [see Warnings and Precautions ( 5.13)] |
| Aspirin | |
| Clinical Impact: | Controlled clinical studies showed that the concomitant use of NSAIDs and analgesic doses of aspirin does not produce any greater therapeutic effect than the use of NSAIDs alone. In a clinical study, the concomitant use of an NSAID and aspirin was associated with a significantly increased incidence of GI adverse reactions as compared to use of the NSAID alone [see Warnings and Precautions ( 5.2) and Clinical Pharmacology ( 12.3)] . |
| Intervention: | Concomitant use of diclofenac potassium for oral solution and analgesic doses of aspirin is not generally recommended because of the increased risk of bleeding [see Warnings and Precautions ( 5.13)] . |
| ACE Inhibitors, Angiotensin Receptor Blockers, and Beta-Blockers | |
| Clinical Impact: |
|
| Intervention: |
|
| Diuretics | |
| Clinical Impact: | Clinical studies, as well as post-marketing observations, showed that NSAIDs reduced the natriuretic effect of loop diuretics (e.g., furosemide) and thiazide diuretics in some patients. This effect has been attributed to the NSAID inhibition of renal prostaglandin synthesis. |
| Intervention: | During concomitant use of diclofenac potassium for oral solution with diuretics, observe patients for signs of worsening renal function, in addition to assuring diuretic efficacy including antihypertensive effects [see Warnings and Precautions ( 5.6)] . |
| Digoxin | |
| Clinical Impact: | The concomitant use of diclofenac with digoxin has been reported to increase the serum concentration and prolong the half-life of digoxin. |
| Intervention: | During concomitant use of diclofenac potassium for oral solution and digoxin, monitor serum digoxin levels. |
| Lithium | |
| Clinical Impact: | NSAIDs have produced elevations in plasma lithium levels and reductions in renal lithium clearance. The mean minimum lithium concentration increased 15%, and the renal clearance decreased by approximately 20%. This effect has been attributed to NSAID inhibition of renal prostaglandin synthesis. |
| Intervention: | During concomitant use of diclofenac potassium for oral solution and lithium, monitor patients for signs of lithium toxicity. |
| Methotrexate | |
| Clinical Impact: | Concomitant use of NSAIDs and methotrexate may increase the risk for methotrexate toxicity (e.g., neutropenia, thrombocytopenia, renal dysfunction). |
| Intervention: | During concomitant use of diclofenac potassium for oral solution and methotrexate, monitor patients for methotrexate toxicity. |
| Cyclosporine | |
| Clinical Impact: | Concomitant use of diclofenac potassium for oral solution and cyclosporine may increase cyclosporine’s nephrotoxicity. |
| Intervention: | During concomitant use of diclofenac potassium for oral solution and cyclosporine, monitor patients for signs of worsening renal function. |
| NSAIDs and Salicylates | |
| Clinical Impact: | Concomitant use of diclofenac with other NSAIDs or salicylates (e.g., diflunisal, salsalate) increases the risk of GI toxicity, with little or no increase in efficacy [see Warnings and Precautions ( 5.2)] . |
| Intervention: | The concomitant use of diclofenac with other NSAIDs or salicylates is not recommended. |
|
Pemetrexed |
|
| Clinical Impact: | Concomitant use of diclofenac potassium for oral solution and pemetrexed may increase the risk of pemetrexed-associated myelosuppression, renal, and GI toxicity (see the pemetrexed prescribing information). |
| Intervention: |
During concomitant use of NSAIDs and pemetrexed, in patients with renal impairment whose creatinine clearance ranges from 45 to 79 mL/min, monitor for myelosuppression, renal and GI toxicity. NSAIDs with short elimination half-lives (e.g., diclofenac, indomethacin) should be avoided for a period of two days before, the day of, and two days following administration of pemetrexed. In the absence of data regarding potential interaction between pemetrexed and NSAIDs with longer half-lives (e.g., meloxicam, nabumetone), patients taking these NSAIDs should interrupt dosing for at least five days before, the day of, and two days following pemetrexed administration. |
| Inhibitors of Cytochrome P450 2C9 | |
| Clinical Impact: | Diclofenac is metabolized predominantly by Cytochrome P-450 CYP2C9. Co- administration of medications that inhibit CYP2C9 may affect the pharmacokinetics of diclofenac [see Clinical Pharmacology ( 12.3)] |
| Intervention: | During concomitant use of diclofenac potassium for oral solution and drugs that inhibit CYP2C9, an increase in the duration between diclofenac potassium for oral solution doses for subsequent migraine attacks may be necessary. |
Risk Summary
Use of NSAIDs, including diclofenac potassium for oral solution, can cause premature closure of the fetal ductus arteriosus and fetal renal dysfunction leading to oligohydramnios and, in some cases, neonatal renal impairment. Because of these risks, limit dose and duration of diclofenac potassium for oral solution use between about 20 and 30 weeks of gestation, and avoid diclofenac potassium for oral solution use at about 30 weeks of gestation and later in pregnancy (see Clinical Considerations, Data) .
Premature Closure of Fetal Ductus Arteriosus
Use of NSAIDs, including diclofenac potassium for oral solution, at about 30 weeks gestation or later in pregnancy increases the risk of premature closure of the fetal ductus arteriosus.
Oligohydramnios/Neonatal Renal Impairment
Use of NSAIDs at about 20 weeks gestation or later in pregnancy has been associated with cases of fetal renal dysfunction leading to oligohydramnios, and in some cases, neonatal renal impairment.
Data from observational studies regarding other potential embryofetal risks of NSAID use in women in the first or second trimesters of pregnancy are inconclusive. In animal studies, oral administration of diclofenac sodium to pregnant mice, rats, and rabbits resulted in adverse effects on development (embryofetal mortality, reduced fetal growth) at doses similar to those used clinically. Based on animal data, prostaglandins have been shown to have an important role in endometrial vascular permeability, blastocyst implantation, and decidualization. In animal studies, administration of prostaglandin synthesis inhibitors such as diclofenac potassium, resulted in increased pre- and post-implantation loss. Prostaglandins also have been shown to have an important role in fetal kidney development. In published animal studies, prostaglandin synthesis inhibitors have been reported to impair kidney development when administered at clinically relevant doses.
All pregnancies have a background risk of birth defects, loss, or other adverse outcomes. In the U.S. general population, the estimated background risk of major birth defects and miscarriage in clinically recognized pregnancies is 2-4% and 15-20%, respectively. The reported rate of major birth defects among deliveries to women with migraine ranged from 2.2% to 2.9% and the reported rate of miscarriage was 17%, which were similar to rates reported in women without migraine.
Disease-Associated Maternal and/or Embryo/Fetal Risk
Several studies have suggested that women with migraine may be at increased risk of preeclampsia and gestational hypertension during pregnancy.
Fetal/Neonatal Adverse Reactions
Premature Closure of Fetal Ductus Arteriosus:
Avoid use of NSAIDs in women at about 30 weeks gestation and later in pregnancy, because NSAIDs, including diclofenac potassium for oral solution, can cause premature closure of the fetal ductus arteriosus (see Data) .
Oligohydramnios/Neonatal Renal Impairment:
If an NSAID is necessary at about 20 weeks gestation or later in pregnancy, limit the use to the lowest effective dose and shortest duration possible. If diclofenac potassium for oral solution treatment extends beyond 48 hours, consider monitoring with ultrasound for oligohydramnios. If oligohydramnios occurs, discontinue diclofenac potassium for oral solution and follow up according to clinical practice (see Data) .
Labor or Delivery
The effects of diclofenac potassium for oral solution on labor and delivery in pregnant women are unknown. In rat studies, maternal exposure to NSAIDs, as with other drugs known to inhibit prostaglandin synthesis, increased the incidence of dystocia, delayed parturition, and decreased pup survival.
Human Data
Premature Closure of Fetal Ductus Arteriosus:
Published literature reports that the use of NSAIDs at about 30 weeks of gestation and later in pregnancy may cause premature closure of the fetal ductus arteriosus.
Oligohydramnios/Neonatal Renal Impairment:
Published studies and postmarketing reports describe maternal NSAID use at about 20 weeks gestation or later in pregnancy associated with fetal renal dysfunction leading to oligohydramnios, and in some cases, neonatal renal impairment. These adverse outcomes are seen, on average, after days to weeks of treatment, although oligohydramnios has been infrequently reported as soon as 48 hours after NSAID initiation. In many cases, but not all, the decrease in amniotic fluid was transient and reversible with cessation of the drug. There have been a limited number of case reports of maternal NSAID use and neonatal renal dysfunction without oligohydramnios, some of which were irreversible. Some cases of neonatal renal dysfunction required treatment with invasive procedures, such as exchange transfusion or dialysis.
Methodological limitations of these postmarketing studies and reports include lack of a control group; limited information regarding dose, duration, and timing of drug exposure; and concomitant use of other medications. These limitations preclude establishing a reliable estimate of the risk of adverse fetal and neonatal outcomes with maternal NSAID use. Because the published safety data on neonatal outcomes involved mostly preterm infants, the generalizability of certain reported risks to the full-term infant exposed to NSAIDs through maternal use is uncertain.
Animal Data
Oral administration of diclofenac sodium to pregnant mice and rabbits during organogenesis resulted in embryofetal toxicity at oral doses of up to 20 and 10 mg/kg/day (up to approximately 2 and 4 times, respectively, the recommended human dose [RHD] of 50 mg/day, based on body surface area [mg/m 2]). In rats, oral administration of diclofenac at doses of up to 10 mg/kg/day (up to approximately 2 times the RHD on a mg/m 2basis) during organogenesis resulted in increased embryofetal mortality and reduced fetal body weights.
Risk Summary
Data from published literature reports with oral preparations of diclofenac indicate the presence of small amounts of diclofenac in human milk. There are no data on the effects on the breastfed infant, or the effects on milk production. The developmental and health benefits of breastfeeding should be considered along with the mother’s clinical need for diclofenac potassium for oral solution and any potential adverse effects on the breastfed infant from diclofenac potassium for oral solution or from the underlying maternal condition.
Infertility
Females
Based on the mechanism of action, the use of prostaglandin-mediated NSAIDs, including diclofenac potassium for oral solution, may delay or prevent rupture of ovarian follicles, which has been associated with reversible infertility in some women. Published animal studies have shown that administration of prostaglandin synthesis inhibitors has the potential to disrupt prostaglandin-mediated follicular rupture required for ovulation. Small studies in women treated with NSAIDs have also shown a reversible delay in ovulation. Consider withdrawal of NSAIDs, including diclofenac potassium for oral solution, in women who have difficulties conceiving or who are undergoing investigation of infertility.
Elderly patients, compared to younger patients, are at greater risk for NSAID-associated serious cardiovascular, gastrointestinal, and/or renal adverse reactions. If the anticipated benefit for the elderly patient outweighs these potential risks, monitor patients for adverse effects [see Warnings and Precautions ( 5.1, 5.2, 5.3, 5.6, 5.15)] .
Clinical studies of diclofenac potassium for oral solution did not include sufficient numbers of subjects aged 65 and over to determine whether they respond differently from younger subjects.
Because hepatic metabolism accounts for almost 100% of diclofenac elimination, patients with hepatic impairment should be considered for treatment with diclofenac potassium for oral solution only if the benefits outweigh the risks. There is insufficient information available to support dosing recommendations for diclofenac potassium for oral solution in patients with hepatic insufficiency [see Clinical Pharmacology ( 12.3)] .
No information is available from controlled clinical studies regarding the use of diclofenac potassium for oral solution in patients with advanced renal disease. Therefore, treatment with diclofenac potassium for oral solution is not recommended in patients with advanced renal disease. If diclofenac potassium for oral solution therapy must be initiated, close monitoring of the patient’s renal function is advisable.
Symptoms following acute NSAID overdoses have been typically limited to lethargy, drowsiness, nausea, vomiting, and epigastric pain, which have been generally reversible with supportive care. Gastrointestinal bleeding has occurred. Hypertension, acute renal failure, respiratory depression and, coma have occurred, but were rare [see Warnings and Precautions ( 5.1, 5.2, 5.4, 5.6)] .
Manage patients with symptomatic and supportive care following an NSAID overdosage. There are no specific antidotes. Consider emesis and/or activated charcoal (60 to 100 grams in adults, 1 to 2 grams per kg of body weight in pediatric patients) and/or osmotic cathartic in symptomatic patients seen within four hours of ingestion or in patients with a large overdosage (5 to 10 times the recommended dosage). Forced diuresis, alkalinization of urine, hemodialysis, or hemoperfusion may not be useful due to high protein binding.
For additional information about overdosage treatment contact a poison control center (1-800-222-1222).
Anaphylactic reactions have been reported with therapeutic ingestion of NSAIDs and may occur following an overdose.
Diclofenac potassium for oral solution USP, 50 mg is a nonsteroidal anti-inflammatory drug, available as a buffered soluble powder, designed to be mixed with water prior to oral administration. Diclofenac potassium for oral solution USP, 50 mg is a white to off-white buffered, flavored powder for oral solution packaged in individual unit dose packets.
The chemical name is 2-[(2,6-dichlorophenyl)amino] benzeneacetic acid monopotassium salt. The molecular weight is 334.25. Its molecular formula is C 14H 10Cl 2NKO 2, and it has the following structure.

The inactive ingredients in diclofenac potassium for oral solution USP, 50 mg include: Potassium bicarbonate, glyceryl behenate, mannitol, natural peppermint flavor and sucralose.
Diclofenac potassium for oral solution has analgesic, anti-inflammatory, and antipyretic properties.
The mechanism of action of diclofenac potassium for oral solution, like that of other NSAIDs, is not completely understood but involves inhibition of cyclooxygenase (COX-1 and COX-2).
Diclofenac is a potent inhibitor of prostaglandin synthesis in vitro. Diclofenac concentrations reached during therapy have produced in vivo effects. Prostaglandins sensitize afferent nerves and potentiate the action of bradykinin in inducing pain in animal models. Prostaglandins are mediators of inflammation. Because diclofenac is an inhibitor of prostaglandin synthesis, its mode of action may be due to a decrease of prostaglandins in peripheral tissues.
Absorption
Diclofenac is 100% absorbed after oral administration compared to intravenous administration as measured by urine recovery. However, due to first-pass metabolism, only about 50% of the absorbed dose is systemically available. In fasting volunteers, measurable plasma levels were observed within 5 minutes of dosing with diclofenac potassium for oral solution. Peak plasma levels were achieved at approximately 0.25 hour in fasting normal volunteers, with a range of 0.17 to 0.67 hours. High fat food had no significant effect on the extent of diclofenac absorption, but there was a reduction in peak plasma levels of approximately 70% after a high fat meal. Decreased C maxmay be associated to decreased effectiveness.
Distribution
The apparent volume of distribution (V/F) of diclofenac potassium is 1.3 L/kg.
Diclofenac is more than 99% bound to human serum proteins, primarily to albumin. Serum protein binding is constant over the concentration range (0.15-105 μg/mL) achieved with recommended doses.
Elimination
Metabolism
Five diclofenac metabolites have been identified in human plasma and urine. The metabolites include 4’-hydroxy-, 5-hydroxy-, 3’-hydroxy-, 4’,5-dihydroxy- and 3’-hydroxy-4’-methoxy diclofenac. The major diclofenac metabolite, 4’-hydroxydiclofenac, has very weak pharmacologic activity. The formation of 4’-hydroxy diclofenac is primarily mediated by CPY2C9. Both diclofenac and its oxidative metabolites undergo glucuronidation or sulfation followed by biliary excretion. Acylglucuronidation mediated by UGT2B7 and oxidation mediated by CPY2C8 may also play a role in diclofenac metabolism. CYP3A4 is responsible for the formation of minor metabolites, 5-hydroxy and 3’-hydroxy- diclofenac. In patients with renal impairment, peak concentrations of metabolites 4’hydroxy-and 5-hydroxydiclofenac were approximately 50% and 4% of the parent compound after single oral dosing compared to 27% and 1% in normal healthy subjects.
Excretion
Diclofenac is eliminated through metabolism and subsequent urinary and biliary excretion of the glucuronide and the sulfate conjugates of the metabolites. Little or no free unchanged diclofenac is excreted in the urine. Approximately 65% of the dose is excreted in the urine and approximately 35% in the bile as conjugates of unchanged diclofenac plus metabolites. Because renal elimination is not a significant pathway of elimination for unchanged diclofenac, dosing adjustment in patients with mild to moderate renal dysfunction is not necessary. The terminal half-life of unchanged diclofenac is approximately 2 hours.
Specific Populations
Race:There are no pharmacokinetic differences due to race.
Hepatic Impairment:The liver metabolizes almost 100% of diclofenac; there is insufficient information available to support dosing recommendations for diclofenac potassium for oral solution in patients with hepatic insufficiency [see Warnings and Precautions ( 5.3) and Use in Specific Populations ( 8.6)] .
Renal Impairment:In patients with renal impairment (inulin clearance 60-90, 30-60, and <30 mL/min; N=6 in each group), AUC values and elimination rate were comparable to those in healthy subjects [see Warnings and Precautions ( 5.6) and Use in Specific Populations ( 8.7)] .
Drug Interaction Studies
Aspirin:When NSAIDs were administered with aspirin, the protein binding of NSAIDs were reduced, although the clearance of free NSAID was not altered. The clinical significance of this interaction is not known. See Table 2for clinically significant drug interactions of NSAIDs with aspirin [see Drug Interactions ( 7)] .
Carcinogenesis
Long term carcinogenicity studies in rats given diclofenac sodium up to 2 mg/kg/day (less than the recommended human dose [RHD] of 50 mg/day on a body surface area [mg/m 2] basis) have revealed no significant increases in tumor incidence. There was a slight increase in benign mammary fibroadenomas in mid-dose treated (0.5 mg/kg/day or 3 mg/m 2/day) female rats (high-dose females had excessive mortality), but the increase was not significant for this common rat tumor. A 2-year carcinogenicity study conducted in mice employing diclofenac sodium at doses up to 0.3 mg/kg/day (less than the RHD on a mg/m 2basis) in males and 1 m/kg/day (less than the RHD on a mg/m 2basis) in females did not reveal any oncogenic potential.
Mutagenesis
Diclofenac sodium was not genotoxic in in vitro(reverse mutation in bacteria [Ames], mouse lymphoma tk) or in in vivo(including dominant lethal and male germinal epithelial chromosomal aberration in Chinese hamster) assays.
Impairment of Fertility
Diclofenac sodium administered to male and female rats at 4 mg/kg/day (less than the RHD on a mg/m 2basis) did not affect fertility.
The efficacy of diclofenac potassium for oral solution in the acute treatment of migraine headache was demonstrated in two randomized, double-blind, placebo-controlled trials.
Patients enrolled in these two trials were predominantly female (85%) and white (86%), with a mean age of 40 years (range: 18 to 65). Patients were instructed to treat a migraine of moderate to severe pain with 1 dose of study medication. Patients evaluated their headache pain 2 hours later. Associated symptoms of nausea, photophobia, and phonophobia were also evaluated. In addition, the proportion of patients who were “sustained pain free”, defined as a reduction in headache severity from moderate or severe pain to no pain at 2 hours post- dose without a return of mild, moderate, or severe pain and no use of rescue medication for 24 hours post-dose, was also evaluated. In these studies, the percentage of patients achieving pain freedom 2 hours after treatment and sustained pain freedom from 2 to 24 hours post-dose was significantly greater in patients who received diclofenac potassium for oral solution compared with those who received placebo (see Table 3). The percentage of patients achieving pain relief 2 hours after treatment (defined as a reduction in headache severity from moderate or severe pain to mild or no pain) was also significantly greater in patients who received diclofenac potassium for oral solution compared with those who received placebo (see Table 3).
| Study 1 | Diclofenac Potassium for Oral Solution (n=265) | Placebo (n=257) |
|---|---|---|
| 2-Hour Pain Free | 24% | 13% |
| 2-24h Sustained Pain Free | 22% | 10% |
| 2-Hour Pain Relief | 48% | 27% |
| Study 2 | Diclofenac Potassium for Oral Solution (n=343) | Placebo (n=347) |
| 2-Hour Pain Free | 25% | 10% |
| 2-24h Sustained Pain Free | 19% | 7% |
| 2-Hour Pain Relief | 65% | 41% |
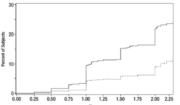
The estimated probability of achieving migraine headache pain freedom within 2 hours following treatment with diclofenac potassium for oral solutionis shown in Figure 1.
Figure 1: Percentage of Patients with Initial Headache Pain Freedom within 2 Hours

— Diclofenac potassium for oral solution
……… Placebo
There was a decreased incidence of nausea, photophobia and phonophobia following administration of diclofenac potassium for oral solution, compared to placebo. The efficacy and safety of diclofenac potassium for oral solution was unaffected by age or gender of the patient.
Diclofenac potassium for oral solution USP 50 mg, is a white to off-white buffered, flavored powder for oral solution, supplied as nine packets in one carton. Each individual packet is designed to deliver a dose of 50 mg diclofenac potassium when mixed in water.
NDC: 60290-061-01 Individual diclofenac potassium for oral solution USP, 50 mg Packets
NDC: 60290-061-02 Boxes of nine (9) diclofenac potassium for oral solution USP, 50 mg Packets
Storage
Store at 25°C (77°F). Excursions permitted from 15°C-30°C (59°F-86°F). [See USP Controlled Room Temperature].
Advise the patient to read the FDA-approved patient labeling (Medication Guide) that accompanies each prescription dispensed. Inform patients, families, or their caregivers of the following information before initiating therapy with diclofenac potassium for oral solution and periodically during the course of ongoing therapy.
Cardiovascular Thrombotic Events
Advise patients to be alert for the symptoms of cardiovascular thrombotic events, including chest pain, shortness of breath, weakness, or slurring of speech, and to report any of these symptoms to their health care provider immediately [see Warnings and Precautions ( 5.1)] .
Gastrointestinal Bleeding, Ulceration, and Perforation
Diclofenac potassium for oral solution, like other NSAIDS, can cause GI discomfort and more serious GI adverse events such as ulcers and bleeding, which may result in hospitalization and even death. Inform patients of the increased risk, and advise patients to report symptoms of ulcerations and bleeding, including epigastric pain, dyspepsia, melena, and hematemesis to their health care provider. Inform patients of the importance of follow-up in the setting of concomitant use of low-dose aspirin for cardiac prophylaxis [see Warnings and Precautions ( 5.2)] .
Hepatotoxicity
Inform patients of the warning signs and symptoms of hepatotoxicity (e.g., nausea, fatigue, lethargy, pruritus, diarrhea, jaundice, right upper quadrant tenderness, and “flu-like” symptoms). If these occur, instruct patients to stop diclofenac potassium for oral solution and seek immediate medical therapy [see Warnings and Precautions ( 5.3)] .
Heart Failure and Edema
Advise patients to be alert for the symptoms of congestive heart failure including shortness of breath, unexplained weight gain, or edema and to contact their healthcare provider if such symptoms occur [see Warnings and Precautions ( 5.5)] .
Anaphylactic Reactions
Inform patients of the signs of an anaphylactic reaction (e.g., difficulty breathing, swelling of the face or throat). Instruct patients to seek immediate emergency help if these occur [see Contraindications ( 4) and Warnings and Precautions ( 5.7)] .
Serious Skin Reactions, Including DRESS
Advise patients to stop taking diclofenac potassium for oral solution immediately if they develop any type of rash, blisters, fever or other signs of hypersensitivity such as itching and to contact their healthcare provider as soon as possible. Diclofenac potassium for oral solution, like other NSAIDs, can cause serious skin reactions such as exfoliative dermatitis, Steven-Johnson syndrome (SJS), toxic epidermal necrosis (TEN), and DRESS, which may result in hospitalizations and even death [see Warnings and Precautions ( 5.9, 5.10)] .
Medication Overuse Headache
Inform patients that use of acute migraine drugs for 10 or more days per month may lead to an exacerbation of headache and encourage patients to record headache frequency and drug use (e.g., by keeping a headache diary) [see Warnings and Precautions ( 5.11)] .
Fetal Toxicity
Inform pregnant women to avoid use of diclofenac potassium for oral solution and other NSAIDs starting at 30 weeks gestation because of the risk of the premature closing of the fetal ductus arteriosus. If treatment with diclofenac potassium for oral solution is needed for a pregnant woman between about 20 to 30 weeks gestation, advise her that she may need to be monitored for oligohydramnios, if treatment continues for longer than 48 hours [see Warnings and Precautions ( 5.12) and Use in Specific Populations ( 8.1)] .
Lactation
Advise patients to notify their healthcare provider if they are breastfeeding or plan to breastfeed [see Use in specific Populations ( 8.2)] .
Female Fertility
Advise females of reproductive potential who desire pregnancy that NSAIDs, including diclofenac potassium for oral solution , may delay or prevent rupture of ovarian follicles, which has been associated with reversible infertility in some women [see Use in Specific Populations ( 8.3)] .
Avoid Concomitant Use of NSAIDs
Inform patients that the concomitant use of diclofenac potassium for oral solution with other NSAIDs or salicylates (e.g., diflunisal, salsalate) is not recommended due to the increased risk of gastrointestinal toxicity, and little or no increase in efficacy [see Warnings and Precautions ( 5.2) and Drug Interactions ( 7)] Alert patients that NSAIDs may be present in “over the counter” medications for treatment of colds, fever, or insomnia.
Use of NSAIDS and Low-Dose Aspirin
Inform patients not to use low-dose aspirin concomitantly with diclofenac potassium for oral solution until they talk to their healthcare provider [see Drug Interactions ( 7)] .
Manufactured by:
Umedica Laboratories Pvt. Ltd
Vapi, Gujarat 396195, INDIA.
Distributed by:
Umedica Laboratories USA Inc.
Parsippany, NJ, 07054.
Product of India
Rev. 12/25, V-00
| Medication Guide
Diclofenac Potassium (dye kloe’ fen ak poe tas’ ee um) for Oral Solution |
|
|
What is the most important information I should know about diclofenac potassium for oral solution? Diclofenac potassium for oral solution contains diclofenac (a non-steroidal anti-inflammatory drug or NSAID). NSAIDs, including diclofenac potassium for oral solution, can cause serious side effects, including:
Do not take NSAIDs, including diclofenac potassium for oral solution, right before or after a heart surgery called a “coronary artery bypass graft (CABG)." Avoid taking NSAIDs, including diclofenac potassium for oral solution, after a recent heart attack, unless your healthcare provider tells you to. You may have an increased risk of another heart attack if you take NSAIDs after a recent heart attack.
|
|
|
What is diclofenac potassium for oral solution? Diclofenac potassium for oral solution is a prescription medicine used to treat migraine attacks in adults. It does not prevent or lessen the number of migraines you have, and it is not for other types of headaches. Diclofenac potassium for oral solution contains diclofenac potassium (a non-steroidal anti-inflammatory drug or NSAID). |
|
|
How should I take diclofenac potassium for oral solution? Take diclofenac potassium for oral solution exactly as your healthcare provider tells you to take it. Take 1 dose of diclofenac potassium for oral solution to treat your migraine headache:
|
|
|
Who should not take diclofenac potassium for oral solution? Do not take diclofenac potassium for oral solution:
|
|
|
Before taking diclofenac potassium for oral solution, tell your healthcare provider about all of your medical conditions, including if you:
Tell your healthcare provider about all of the medicines you take, including prescription or over-the- counter medicines, vitamins or herbal supplements.NSAIDs, like diclofenac potassium for oral solution, and some other medicines can interact with each other and cause serious side effects. Do not start taking any new medicine without talking to your healthcare provider first. Especially tell your doctor if you take:
Know the medicines you take. Keep a list of your medicines and show it to your doctor and pharmacist when you get a new medicine. |
|
|
What are the possible side effects of diclofenac potassium for oral solution? Diclofenac potassium for oral solution can cause serious side effects, including: See “ What is the most important information I should know about diclofenac potassium for oral solution?"
Get emergency help right away if you get any of the following symptoms:
Stop taking diclofenac potassium for oral solution and call your healthcare provider right away if you get any of the following symptoms
If you take too much of your NSAID, call your healthcare provider or get medical help right away. These are not all the possible side effects of NSAIDs. For more information, ask your healthcare provider or pharmacist about NSAIDs. Call your doctor for medical advice about side effects. You may report side effects to FDA at 1-800-FDA-1088. |
|
Other information about NSAIDs
|
|
|
General information about the safe and effective use of NSAIDs Medicines are sometimes prescribed for purposes other than those listed in a Medication Guide. Do not use NSAIDs for a condition for which it was not prescribed. Do not give NSAIDs to other people, even if they have the same symptoms that you have. It may harm them. If you would like more information about NSAIDs, talk with your healthcare provider. You can ask your pharmacist or healthcare provider for information about NSAIDs that is written for health professionals. |
|
|
Manufactured by:
Distributed by:
Product of India |
|
|
This Medication Guide has been approved by the U.S. Food and Drug Administration. Rev. 12/25, V-00 |
Diclofenac Potassium for Oral Solution, USP 50 mg - NDC: 60290-061-01 - Individual Packet Label

Diclofenac Potassium for Oral Solution, USP 50 mg - NDC: 60290-061-02 - 9 count Carton Label
| DICLOFENAC POTASSIUM
diclofenac potassium powder, for solution |
||||||||||||||||||||
|
||||||||||||||||||||
|
||||||||||||||||||||
|
||||||||||||||||||||
|
||||||||||||||||||||
|
||||||||||||||||||||
|
||||||||||||||||||||
| Labeler - Umedica Laboratories USA Inc. (119579082) |
| Establishment | |||
| Name | Address | ID/FEI | Business Operations |
|---|---|---|---|
| Umedica Laboratories Pvt. Ltd. | 920635096 | manufacture(60290-061) , analysis(60290-061) , pack(60290-061) | |