Epinephrine by is a Prescription medication manufactured, distributed, or labeled by Sportpharm, Inc. dba Sportpharm. Drug facts, warnings, and ingredients follow.
Epinephrine Injection, 0.3 mg contain epinephrine, are non-selective alpha and beta-adrenergic receptor agonist indicated in the emergency treatment of allergic reactions (Type I) including anaphylaxis. ( 1)
Inject intramuscularly or subcutaneously into the anterolateral aspect of the thigh, through clothing if necessary. Each device is a single-dose injection. ( 2)
None ( 4)
Adverse reactions to epinephrine include anxiety, apprehensiveness, restlessness, tremor, weakness, dizziness, sweating, palpitations, pallor, nausea and vomiting, headache, and/or respiratory difficulties. ( 6)
To report SUSPECTED ADVERSE REACTIONS, contact Teva Pharmaceuticals USA, Inc. at 1-888-838-2872 or FDA at 1-800-FDA-1088 or www.fda.gov/medwatch.
See 17 for PATIENT COUNSELING INFORMATION and FDA-approved patient labeling.
Revised: 10/2025
Epinephrine Injection, 0.3 mg are indicated in the emergency treatment of allergic reactions (Type I) including anaphylaxis to stinging insects (e.g., order Hymenoptera, which include bees, wasps, hornets, yellow jackets and fire ants) and biting insects (e.g., triatoma, mosquitoes), allergen immunotherapy, foods, drugs, diagnostic testing substances (e.g., radiocontrast media) and other allergens, as well as idiopathic anaphylaxis or exercise-induced anaphylaxis.
Epinephrine Injection, 0.3 mg are intended for immediate administration in patients who are determined to be at increased risk for anaphylaxis, including individuals with a history of anaphylactic reactions.
Anaphylactic reactions may occur within minutes after exposure and consist of flushing, apprehension, syncope, tachycardia, thready or unobtainable pulse associated with a fall in blood pressure, convulsions, vomiting, diarrhea and abdominal cramps, involuntary voiding, wheezing, dyspnea due to laryngeal spasm, pruritus, rashes, urticaria or angioedema.
Epinephrine Injection, 0.3 mg are intended for immediate administration as emergency supportive therapy only and are not a substitute for immediate medical care.
Discarding After Use:
The epinephrine injection 0.3 mg each contain 1 mL epinephrine solution. Approximately 0.7 mL remains in the auto-injector after activation, but is not available for future use, and should be discarded.
Epinephrine injection, 0.3 mg and epinephrine injection, 0.15 mg are intended for immediate administration as emergency supportive therapy and are not intended as a substitute for immediate medical care. In conjunction with the administration of epinephrine, the patient should seek immediate medical or hospital care.More than two sequential doses of epinephrine should only be administered under direct medical supervision [ see Indications and Usage ( 1), Dosage and Administration ( 2) and Patient Counseling Information ( 17) ].
Epinephrine injection, 0.3 mg and epinephrine injection, 0.15 mg should onlybe injected into the anterolateral aspect of the thigh [ see Dosage and Administration ( 2) and Patient Counseling Information ( 17) ].
Do not inject intravenously
Large doses or accidental intravenous injection of epinephrine may result in cerebral hemorrhage due to sharp rise in blood pressure. Rapidly acting vasodilators can counteract the marked pressor effects of epinephrine if there is such inadvertent administration.
Do not inject into buttock
Injection into the buttock may not provide effective treatment of anaphylaxis. Advise the patient to go immediately to the nearest emergency room for further treatment of anaphylaxis. Additionally, injection into the buttock has been associated with Clostridial infections (gas gangrene). Cleansing with alcohol does not kill bacterial spores, and therefore, does not lower this risk.
Do not inject into digits, hands or feet
Since epinephrine is a strong vasoconstrictor, accidental injection into the digits, hands or feet may result in loss of blood flow to the affected area. Advise the patient to go immediately to the nearest emergency room and to inform the healthcare provider in the emergency room of the location of the accidental injection. Treatment of such inadvertent administration should consist of vasodilation, in addition to further appropriate treatment of anaphylaxis [
see Adverse Reactions (6)].
Hold leg firmly during injection
Lacerations, bent needles, and embedded needles have been reported when epinephrine injection, 0.3 mg and epinephrine injection, 0.15 mg have been injected into the thigh of young children who are uncooperative and kick or move during an injection. To minimize the risk of injection related injury when administering, hold the child’s leg firmly in place and limit movement prior to and during injection.
Rare cases of serious skin and soft tissue infections, including necrotizing fasciitis and myonecrosis caused by Clostridia (gas gangrene), have been reported at the injection site following epinephrine injection for anaphylaxis. Clostridiumspores can be present on the skin and introduced into the deep tissue with subcutaneous or intramuscular injection. While cleansing with alcohol may reduce presence of bacteria on the skin, alcohol cleansing does not kill Clostridiumspores. To decrease the risk of Clostridiuminfection, do not inject epinephrine injection into the buttock [ see Warnings and Precautions (5.2)]. Advise patients to seek medical care if they develop signs or symptoms of infection, such as persistent redness, warmth, swelling, or tenderness, at the epinephrine injection site.
The presence of a sulfite in this product should not deter administration of the drug for treatment of serious allergic or other emergency situations even if the patient is sulfite-sensitive.
Epinephrine is the preferred treatment for serious allergic reactions or other emergency situations even though this product contains sodium metabisulfite, a sulfite that may, in other products, cause allergic-type reactions including anaphylactic symptoms or life-threatening or less severe asthmatic episodes in certain susceptible persons.
The alternatives to using epinephrine in a life-threatening situation may not be satisfactory.
Some patients may be at greater risk for developing adverse reactions after epinephrine administration. Despite these concerns, it should be recognized that the presence of these conditions is not a contraindication to epinephrine administration in an acute, life-threatening situation. Therefore, patients with these conditions, and/or any other person who might be in a position to administer epinephrine injection, 0.3 mg or epinephrine injection, 0.15 mg to a patient experiencing anaphylaxis should be carefully instructed in regard to the circumstances under which epinephrine should be used.
Patients with Heart Disease
Epinephrine should be administered with caution to patients who have heart disease, including patients with cardiac arrhythmias, coronary artery or organic heart disease, or hypertension .In such patients, or in patients who are on drugs that may sensitize the heart to arrhythmias ,epinephrine may precipitate or aggravate angina pectoris as well as produce ventricular arrhythmias [ see Drug Interactions (7) and Adverse Reactions (6)].
Other Patients and Diseases
Epinephrine should be administered with caution to patients with hyperthyroidism, diabetes, elderly individuals, and pregnant women. Patients with Parkinson’s disease may notice a temporary worsening of symptoms.
Due to the lack of randomized, controlled clinical trials of epinephrine for the treatment of anaphylaxis, the true incidence of adverse reactions associated with the systemic use of epinephrine is difficult to determine. Adverse reactions reported in observational trials, case reports, and studies are listed below.
Common adverse reactions to systemically administered epinephrine include anxiety; apprehensiveness; restlessness; tremor; weakness; dizziness; sweating; palpitations; pallor; nausea and vomiting; headache; and/or respiratory difficulties. These symptoms occur in some persons receiving therapeutic doses of epinephrine, but are more likely to occur in patients with hypertension or hyperthyroidism [ see Warnings and Precautions (5.5) ].
Cardiovascular Reactions
Reactions from Accidental Injection and/or Improper Technique
Skin and Soft Tissue Infections
Cardiac Glycosides, Diuretics, and Anti-arrhythmics
Patients who receive epinephrine while concomitantly taking cardiac glycosides, diuretics, or anti-arrhythmics should be observed carefully for the development of cardiac arrhythmias [ see Warnings and Precautions ( 5.5) ].
Antidepressants, Monoamine Oxidase Inhibitors, Levothyroxine, and Antihistamines
The effects of epinephrine may be potentiated by tricyclic antidepressants, monoamine oxidase inhibitors, levothyroxine sodium, and certain antihistamines, notably chlorpheniramine, tripelennamine, and diphenhydramine.
Beta-Adrenergic Blockers
The cardiostimulating and bronchodilating effects of epinephrine are antagonized by beta-adrenergic blocking drugs, such as propranolol.
Alpha-Adrenergic Blockers
The vasoconstricting and hypertensive effects of epinephrine are antagonized by alpha-adrenergic blocking drugs, such as phentolamine.
Ergot Alkaloids
Ergot alkaloids may also reverse the pressor effects of epinephrine.
Risk Summary
There are no adequate and well controlled studies of the acute effect of epinephrine in pregnant women. In animal reproductive studies, epinephrine administered by the subcutaneous route to rabbits, mice, and hamsters during the period of organogenesis was teratogenic at doses 7 times and higher than the maximum recommended human intramuscular and subcutaneous dose on a mg/m 2basis. Epinephrine is the first-line medication of choice for the treatment of anaphylaxis during pregnancy in humans. Epinephrine should be used for treatment of anaphylaxis during pregnancy in the same manner as it is used in non-pregnant patients.
In the U.S. general population, the estimated background risk of major birth defects and miscarriage in clinically recognized pregnancies is 2% to 4% and 15% to 20%, respectively.
Clinical Considerations
Disease-associated maternal and embryo/fetal risk:
During pregnancy, anaphylaxis can be catastrophic and can lead to hypoxic-ischemic encephalopathy and permanent central nervous system damage or death in the mother and, more commonly, in the fetus or neonate. The prevalence of anaphylaxis occurring during pregnancy is reported to be approximately 3 cases per
100,000 deliveries.
Management of anaphylaxis during pregnancy is similar to management in the general population. Epinephrine is the first line-medication of choice for treatment of anaphylaxis; it should be used in the same manner in pregnant and non-pregnant patients. In conjunction with the administration of epinephrine, the patient should seek immediate medical or hospital care.
Data
Animal Data:
In an embryofetal development study with rabbits dosed during the period of organogenesis, epinephrine was shown to be teratogenic (including gastroschisis and embryonic lethality) at doses approximately 40 times the maximum recommended intramuscular or subcutaneous dose (on a mg/m 2basis at a maternal subcutaneous dose of 1.2 mg/kg/day for two to three days).
In an embryofetal development study with mice dosed during the period of organogenesis, epinephrine was shown to be teratogenic (including embryonic lethality) at doses approximately 8 times the maximum recommended intramuscular or subcutaneous dose (on a mg/m 2basis at maternal subcutaneous dose of 1 mg/kg/day for 10 days). These effects were not seen in mice at approximately 4 times the maximum recommended daily intramuscular or subcutaneous dose (on a mg/m 2basis at a subcutaneous maternal dose of 0.5 mg/kg/day for 10 days).
In an embryofetal development study with hamsters dosed during the period of organogenesis from gestation days 7 to 10, epinephrine was shown to be teratogenic at doses approximately 7 times the maximum recommended intramuscular or subcutaneous dose (on a mg/m 2basis at a maternal subcutaneous dose of 0.5 mg/kg/day).
Risk Summary
There is no information on the presence of epinephrine in human milk, the effects on breastfed infants, or the effects on milk production. Epinephrine is the first line-medication of choice for treatment of anaphylaxis; it should be used in the same manner in breastfeeding and non-breastfeeding patients.
Epinephrine injection, 0.3 mg or epinephrine injection, 0.15 mg may be administered to pediatric patients at a dosage appropriate to body weight [ see Dosage and Administration (2.1) ] .Clinical experience with the use of epinephrine suggests that the adverse reactions seen in children are similar in nature and extent to those both expected and reported in adults. Since the doses of epinephrine delivered from epinephrine injection, 0.3 mg and epinephrine injection, 0.15 mg are fixed, consider using other forms of injectable epinephrine if doses lower than 0.15 mg are deemed necessary.
Clinical studies for the treatment of anaphylaxis have not been performed in subjects aged 65 and over to determine whether they respond differently from younger subjects. However, other reported clinical experience with use of epinephrine for the treatment of anaphylaxis has identified that geriatric patients may be particularly sensitive to the effects of epinephrine. Therefore, epinephrine injection, 0.3 mg should be administered with caution in elderly individuals, who may be at greater risk for developing adverse reactions after epinephrine administration [ see Warnings and Precautions ( 5.5), Overdosage ( 10) ].
Overdosage of epinephrine may produce extremely elevated arterial pressure, which may result in cerebrovascular hemorrhage, particularly in elderly patients. Overdosage may also result in pulmonary edema because of peripheral vascular constriction together with cardiac stimulation. Treatment consists of rapidly acting vasodilators or alpha-adrenergic blocking drugs and/or respiratory support.
Epinephrine overdosage can also cause transient bradycardia followed by tachycardia, and these may be accompanied by potentially fatal cardiac arrhythmias. Premature ventricular contractions may appear within one minute after injection and may be followed by multifocal ventricular tachycardia (prefibrillation rhythm). Subsidence of the ventricular effects may be followed by atrial tachycardia and occasionally by atrioventricular block. Treatment of arrhythmias consists of administration of a beta-adrenergic blocking drug such as propranolol.
Overdosage sometimes results in extreme pallor and coldness of the skin, metabolic acidosis, and kidney failure. Suitable corrective measures must be taken in such situations.
Epinephrine Injection USP, 0.3 mg are single-dose auto-injectors and combination products containing drug and device components.
Each Epinephrine Injection USP, 0.3 mg (Auto-Injector) delivers a single dose of 0.3 mg epinephrine, USP from epinephrine injection USP, 0.3 mg/0.3 mL in a sterile solution.
Each 0.3 mL in the Epinephrine Injection USP, 0.3 mg (Auto-Injector) contains 0.3 mg epinephrine USP, 1.8 mg sodium chloride, 0.4 mg sodium metabisulfite, 0.4 mg sodium tartrate (dihydrate), hydrochloric acid to adjust pH, and water for injection. The pH range is 2.2 to 5.0.
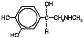
Epinephrine, USP is a sympathomimetic catecholamine. Chemically, epinephrine, USP is (-)-3,4-Dihydroxy-α-[(methylamino)methyl]benzyl alcohol with the following structure:

Epinephrine solution deteriorates rapidly on exposure to air or light, turning pink from oxidation to adrenochrome and brown from the formation of melanin. Replace Epinephrine Injection USP, 0.3 mg if the epinephrine solution appears discolored (pinkish or darker than slightly yellow), cloudy, or if it contains a precipitate.
Thoroughly review the patient instructions and operation of Epinephrine Injection USP, 0.3 mg with patients and caregivers prior to use [ see Patient Counseling Information (17) ].
Through its action on alpha-adrenergic receptors, epinephrine lessens the vasodilation and increased vascular permeability that occurs during anaphylaxis, which can lead to loss of intravascular fluid volume and hypotension.
Through its action on beta-adrenergic receptors, epinephrine causes bronchial smooth muscle relaxation and helps alleviate bronchospasm, wheezing and dyspnea that may occur during anaphylaxis.
Epinephrine also alleviates pruritus, urticaria, and angioedema and may relieve gastrointestinal and genitourinary symptoms associated with anaphylaxis because of its relaxer effects on the smooth muscle of the stomach, intestine, uterus and urinary bladder.
When given subcutaneously or intramuscularly, epinephrine has a rapid onset and short duration of action.
Long-term studies to evaluate the carcinogenic potential of epinephrine have not been conducted.
Epinephrine and other catecholamines have been shown to have mutagenic potential in vitro. Epinephrine was positive in the Salmonellabacterial reverse mutation assay, positive in the mouse lymphoma assay, and negative in the in vivomicronucleus assay. Epinephrine is an oxidative mutagen based on the E. coliWP2 Mutoxitest bacterial reverse mutation assay. This should not prevent the use of epinephrine where indicated [see Indications and Usage (1)].
The potential for epinephrine to impair reproductive performance has not been evaluated, but epinephrine has been shown to decrease implantation in female rabbits dosed subcutaneously with 1.2 mg/kg/day (40-fold the highest human intramuscular or subcutaneous daily dose) during gestation days 3 to 9.
How Supplied
Epinephrine Injection USP, 0.3 mg (Auto-Injectors) is supplied with two single-dose pre-filled auto-injectors and one auto-injector trainer device: 0.3 mg/0.3 mL (NDC: 85766-091-02 relabeled from NDC: 0093-5986-27).
Epinephrine Injection USP, 0.3 mg 2-Pack also includes a W-clip to clip two auto-injectors together.
Storage and Handling
KEEP THIS AND ALL MEDICATIONS OUT OF THE REACH OF CHILDREN.
See FDA-Approved Patient Labeling (Patient Information and Instructions for Use)
A healthcare provider should review the patient instructions and operation of epinephrine injection, 0.3 mg in detail, with the patient or caregiver.
Epinephrine is essential for the treatment of anaphylaxis. Patients who are at risk of or with a history of severe allergic reactions (anaphylaxis) to insect stings or bites, foods, drugs, and other allergens, as well as idiopathic and exercise-induced anaphylaxis, should be carefully instructed about the circumstances under which epinephrine should be used.
Administration
Instruct patients and/or caregivers in the appropriate use of epinephrine injection, 0.3 mg should be injected into the middle of the outer thigh (through clothing, if necessary). Each device is a single-use injection. Advise patients to seek immediate medical care in conjunction with administration of epinephrine injection, 0.3 mg.
Instruct caregivers to hold the leg of young children firmly in place and limit movement prior to and during injection. Lacerations, bent needles, and embedded needles have been reported when epinephrine injection, 0.3 mg have been injected into the thigh of young children who are uncooperative and kick or move during an injection [ see Warnings and Precautions (5.2)].
Instruct patients and/or caregivers to throw away the blue safety release immediately after using epinephrine injection, 0.3 mg. This small part may pose a choking hazard for children.
Complete patient information, including dosage, directions for proper administration and precautions can be found inside each epinephrine injection, 0.3 mg or epinephrine injection, 0.15 mg carton. A printed label on the surface of epinephrine injection, 0.3 mg shows instructions for use and a diagram depicting the injection process.
Training
Instruct patients and/or caregivers to use and practice with the Trainer to familiarize themselves with the use of epinephrine injection, 0.3 mg in an allergic emergency. The Trainer may be used multiple times. A Trainer device is provided in 2-Pack cartons.
Instruct patients and/or caregivers to immediately place the blue safety release back on the Trainer and reset it after practicing. This small part may pose a choking hazard for children.
Adverse Reactions
Epinephrine may produce symptoms and signs that include an increase in heart rate, the sensation of a more forceful heartbeat, palpitations, sweating, nausea and vomiting, difficulty breathing, pallor, dizziness, weakness or shakiness, headache, apprehension, nervousness, or anxiety. These signs and symptoms usually subside rapidly, especially with rest, quiet and recumbency. Patients with hypertension or hyperthyroidism may develop more severe or persistent effects, and patients with coronary artery disease could experience angina. Patients with diabetes may develop increased blood glucose levels following epinephrine administration. Patients with Parkinson’s disease may notice a temporary worsening of symptoms [ see Warnings and Precautions (5.5)].
Accidental Injection
Advise patients to seek immediate medical care in the case of accidental injection. Since epinephrine is a strong vasoconstrictor when injected into the digits, hands, or feet, treatment should be directed at vasodilatation if there is such an accidental injection to these areas [ see Warnings and Precautions (5.2)].
Serious Infections at the Injection Site
Rare cases of serious skin and soft tissue infections, including necrotizing fasciitis and myonecrosis caused by Clostridia (gas gangrene), have been reported at the injection site following epinephrine injection for anaphylaxis. Advise patients to seek medical care if they develop signs or symptoms of infection, such as persistent redness, warmth, swelling, or tenderness, at the epinephrine injection site [ see Warnings and Precautions (5.3)].
Storage and Handling
Instruct patients to inspect the epinephrine solution visually through the clear window of the auto-injector periodically. Replace epinephrine injection, 0.3 mg if the epinephrine solution appears discolored (pinkish or darker than slightly yellow), cloudy or if it contains a precipitate. Epinephrine is light sensitive and should be protected from light. The auto-injector is not waterproof. Instruct patients that epinephrine injection, 0.3 mg must be used or properly disposed once the blue safety release is removed or after use [ see Storage and Handling (16.2)].
Advise patients and caregivers to give used epinephrine injection, 0.3 mg auto-injectors to their healthcare provider for inspection and proper disposal.
Advise patients and caregivers to promptly dispose of medicines that are no longer needed. Dispose of expired, unwanted, or unused epinephrine injection, 0.3 mg in an FDA-cleared sharps container. Instruct patients not to dispose epinephrine injection, 0.3 mg in their household trash. Instruct patients that if they do not have a FDA-cleared sharps disposal container, they may use a household container that is made of a heavy-duty plastic, can be closed with a tight-fitting and puncture-resistant lid without sharps being able to come out, upright and stable during use, leak-resistant, and properly labeled to warn of hazardous waste inside the container. Inform patients that they can visit the FDA website for additional information on disposal of unused medicines.
Complete patient information, including dosage, directions for proper administration and precautions can be found inside each epinephrine injection, 0.3 mg (Auto-Injector) carton.
Distributed by:
Sportpharm LLC
379 Van Ness Ave 1401,
Torrance, CA 90501
Relabeled by:
Enovachem PHARMACEUTICALS
Torrance, CA 90501
Epinephrine Injection USP, 0.3 mg (Auto-Injector)
Epinephrine Injection USP, 0.3 mg = one dose of 0.3 mg epinephrine USP, 0.3 mg/0.3 mL
For allergic emergencies (anaphylaxis)
Patient Information
Read this Patient Information Leaflet carefully before using the epinephrine injection, 0.3 mg (auto-injector) and each time you get a refill. There may be new information. You, your parent, caregiver, or others who may be in a position to administer epinephrine injection, 0.3 mg (auto-injector), should know how to use it before you have an allergic emergency.
This information does not take the place of talking with your healthcare provider about your medical condition or your treatment.
What is the most important information I should know about epinephrine injection, 0.3 mg?
1. Epinephrine injection, 0.3 mg are single-dose automatic injection devices (auto-injectors) that contain epinephrine, a medicine used to treat allergic emergencies (anaphylaxis). Anaphylaxis can be life threatening, can happen within minutes, and can be caused by stinging and biting insects, allergy injections, foods, medicines, exercise, or unknown causes.
Symptoms of anaphylaxis may include:
2. Always carry your epinephrine injection, 0.3 mg with you because you may not know when anaphylaxis may happen.
Talk to your healthcare provider if you need additional units to keep at work, school, or other locations. Tell your family members, caregivers, and others where you keep your epinephrine injection, 0.3 mg and how to use it before you need it. You may be unable to speak in an allergic emergency.
3. When you have an allergic emergency (anaphylaxis)
What are epinephrine injection, 0.3 mg?
What should I tell my healthcare provider before using the epinephrine injection, 0.3 mg ?
Before you use epinephrine injection, 0.3 mg , tell your healthcare provider about all your medical conditions, but especially if you:
Tell your healthcare provider about all the medicines you take, including prescription and over-the-counter medicines, vitamins, and herbal supplements. Tell your healthcare provider about all of your known allergies.
Especially tell your healthcare provider if you take certain asthma medicines.
Epinephrine injection, 0.3 mg and other medicines may affect each other, causing side effects. Epinephrine injection, 0.3 mg may affect the way other medicines work, and other medicines may affect how epinephrine injection, 0.3 mg work.
Know the medicines you take. Keep a list of them to show your healthcare provider and pharmacist when you get a new medicine.
Use your epinephrine injection, 0.3 mg for treatment of anaphylaxis as prescribed by your healthcare provider, regardless of your medical conditions or the medicines you take.
How should I use epinephrine injection, 0.3 mg?
What are the possible side effects of epinephrine injection, 0.3 mg?
Epinephrine injection, 0.3 mg may cause serious side effects.
Common side effects of epinephrine injection, 0.3 mg include:
These side effects may go away with rest. Tell your healthcare provider if you have any side effect that bothers you or that does not go away.
These are not all the possible side effects of the epinephrine injection, 0.3 mg . For more information, ask your healthcare provider or pharmacist.
Call your doctor for medical advice about side effects. You may report side effects to FDA at 1-800-FDA-1088.
How should I store epinephrine injection, 0.3 mg?
When your sharps disposal container is almost full, you will need to follow your community guidelines for the right way to dispose of your sharps disposal container. There may be state or local laws about how you should throw away used needles and syringes. For more information about safe sharps disposal, and for specific information about sharps disposal in the state that you live in, go to the FDA’s website at: http://www.fda.gov/safesharpsdisposal
Visit the FDA’s website (https://www.fda.gov/drugs/safe-disposal-medicines/disposal-unused-medicines-what-you-should-know) for more information about how to throw away (dispose of) unused, unwanted or expired medicines.
Keep epinephrine injection, 0.3 mg and all medicines out of the reach of children.
General information about the safe and effective use of epinephrine injection, 0.3 mg
Medicines are sometimes prescribed for purposes other than those listed in a Patient Information Leaflet. Do not use the epinephrine injection, 0.3 mg for a condition for which it was not prescribed. Do not give your epinephrine injection, 0.3 mg to other people.
This Patient Information Leaflet summarizes the most important information about epinephrine injection, 0.3 mg. If you would like more information, talk to your healthcare provider. You can ask your pharmacist or healthcare provider for information about epinephrine injection, 0.3 mg that is written for health professionals.
For more information and video instructions on the use of epinephrine injection, 0.3 mg go to www.TevaEpinephrine.comor call 1-888-838-2872.
What are the ingredients in epinephrine injection, 0.3 mg?
Active Ingredients: Epinephrine
Inactive Ingredients: sodium chloride, sodium metabisulfite, sodium tartrate (dihydrate), hydrochloric acid, and water
Important Information
INSTRUCTIONS FOR USE
Epinephrine Injection USP, 0.3 mg (Auto-Injector)
Epinephrine Injection USP, 0.3 mg = one dose of 0.3 mg epinephrine USP, 0.3 mg/0.3 mL
For allergic emergencies (anaphylaxis)
Read this Instructions for Use carefully before you use epinephrine injection, 0.3 mg . Before you need to use your single-dose epinephrine injection, 0.3 mg auto-injector, make sure your healthcare provider shows you the right way to use it. Parents, caregivers, and others who may be in a position to administer epinephrine injection, 0.3 mg (auto-injector) should also understand how to use it as well. If you have any questions, ask your healthcare provider.
Your Epinephrine Injection, 0.3 mg (Auto-Injector)
A dose of epinephrine injection, 0.3 mg requires 3 steps: Prepare, Administer and Get emergency medical help
Step 1. Prepare epinephrine injection, 0.3 mg for injection
![]() |
Quickly twist the yellow cap off the epinephrine injection, 0.3 mg auto-injector in the direction of the “twist arrow” to remove it. |
![]() |
Grasp the auto-injector in your fist with the orange tip (needle end) pointing downward.With your other hand, pull off the blue safety release. |
Important: The blue safety release is a small part that may become a choking hazard for children. Throw away the blue safety release immediately after usingepinephrine injection,0.3 mg.
Note:
Step 2. Administer epinephrine injection, 0.3 mg
If you are administering epinephrine injection, 0.3 mg to a young child, hold the leg firmly in place while administering an injection.
![]() |
Place the orange tip against the middle of the outer thigh (upper leg) at a right angle (perpendicular) to the thigh.
The click signals that the injection has started. |
![]() |
Hold firmly in place for 3 seconds (count slowly 1,2,3).The injection is now complete. |
![]() |
Remove the auto-injector from the thigh. The orange tip will extend to cover the needle. If the needle is still visible, do not attempt to reuse it. |
![]() |
Massage the injection area for 10 seconds. |
Step 3. Get emergency medical help now. You may need further medical attention. You may need to use a second epinephrine injection, 0.3 mg (auto-injector) (auto-injector) if symptoms continue or recur.
Note:
This Patient Information and Instructions for Use have been approved by the U.S. Food and Drug Administration.
KEEP THIS AND ALL MEDICATIONS OUT OF THE REACH OF CHILDREN.
Distributed by:
Sportpharm
2237 N Commerce Parkway,
STE 1, Weston, Florida-33326
Relabeled by:
Enovachem PHARMACEUTICALS
Torrance, CA 90501
Epinephrine Injection USP, 0.3 mg (Auto-Injector)
Epinephrine Injection USP, 0.3 mg = one dose of 0.3 mg epinephrine USP, 0.3 mg/0.3 mL
TevaEpinephrine.com
Register your Epinephrine Injection 0.3 mg (Auto-Injector) at www.TevaEpinephrine.com and find out more about:
Register up to 6 Epinephrine Injection 0.3 mg (Auto-Injectors) and receive automatic Refill Reminder Alerts.
For more information about Epinephrine Injection 0.3 mg (Auto-Injector) and proper use of the products, call Teva at 1-888-838-2872 or visit www.TevaEpinephrine.com.
Epinephrine Injection Trainer Instructions for Use
In an emergency: Do not use the grey Trainer. Use your real yellow Epinephrine Injection 0.3 mg Auto-Injector or real green Epinephrine Injection 0.15 mg Auto-Injector.
Important Information
The Epinephrine Injection Trainer
Familiarize yourself with this grey Trainer. Practice until you are comfortable using it.
Your grey Trainer:
Never put your thumb, other fingers, or hand over the orange tip (below grey safety cap).
The orange tip is where the needle comes out of your epinephrine injection 0.3 mg auto-injector.
|
Practice Instructions |
![]() |
1 Prepare the Trainer for Simulated Injection
|
|
|
2 Administer the Trainer Simulation |
||
|
||
![]() ![]() |
Note:
|
|
![]() |
3 To reset the Trainer
|
|
NOTE: With the real yellow Epinephrine Injection 0.3 mg Auto-Injector, the orange tip covers the needle after self-injection to help protect you from accidentally sticking yourself or others.
|
Practice Session Information |
In case of an allergic emergency, use the real yellow Epinephrine Injection 0.3 mg Auto-Injector and not the grey Trainer.
Follow instructions above. Repeat as often as needed until you are able to self-inject quickly and correctly.
Reread:
Train others who could help you in an emergency:
Your parents, caregivers, and others who may be in a position to administer epinephrine injection 0.3 mg or should know how
to help you during an allergic emergency (anaphylaxis). Before an emergency occurs, have them:
For more information about the Epinephrine Injection 0.3 mg Auto-Injector and the proper use of the products, go to www.TevaEpinephrine.com.
Caution:
Important differences between the Trainer and your real yellow Epinephrine Injection 0.3 mg (Auto-Injector)
![]() | ![]() |
|
|
Trainer (Grey) |
Epinephrine Injection 0.3 mg (Yellow) |
|
|
Contains medicine? |
No |
Yes |
|
Has needle? |
No |
Yes |
|
Comes in Carrier Tube? |
No |
No |
|
Color of label |
Grey |
Yellow |
|
Has expiration date? |
No |
Yes |
|
Can be reused? |
Yes |
No (use only one time) |
|
Okay to remove and replace cap and/or safety release? |
Yes |
No (remove just one time before use) |
|
Pressure needed to hold against thigh? |
Moderate |
Strong |
This Trainer Instructions for Use has been approved by the U.S. Food and Drug Administration.
KEEP THIS AND ALL MEDICATIONS OUT OF THE REACH OF CHILDREN.
Distributed by:
Sportpharm LLC
379 Van Ness Ave 1401,
Torrance, CA 90501
Relabeled by:
Enovachem PHARMACEUTICALS
Torrance, CA 90501
| EPINEPHRINE
epinephrine injection |
|||||||||||||||||||||||||
|
|||||||||||||||||||||||||
|
|||||||||||||||||||||||||
|
|||||||||||||||||||||||||
|
|||||||||||||||||||||||||
|
|||||||||||||||||||||||||
| Labeler - Sportpharm LLC (125298538) |