Econazole Nitrate by is a Prescription medication manufactured, distributed, or labeled by Trifluent Pharma, LLC. Drug facts, warnings, and ingredients follow.
Econazole nitrate is an azole antifungal indicated for the treatment of interdigital tinea pedis caused by Trichophyton rubrum, Trichophyton mentagrophytes, and Epidermophyton floccosumin patients 12 years of age and older. ( 1)
Foam, 1%. ( 3)
None. ( 4)
Contents are flammable. Instruct the patient to avoid heat, flame, and/or smoking during and immediately following application. ( 5.1)
During clinical trials with econazole nitrate topical foam, the most common adverse reactions were application site reactions which occurred in less than 1% of subjects in both the econazole nitrate and vehicle arms. ( 6.1)
To report SUSPECTED ADVERSE REACTIONS, contact Trifluent Pharma at 1-800-927-5191 or FDA at 1-800-FDA-1088 or www.fda.gov/medwatch.
See 17 for PATIENT COUNSELING INFORMATION and FDA-approved patient labeling.
Revised: 09/2025
See 17 for PATIENT COUNSELING INFORMATION and FDA-approved patient labeling.
Revised: 9/2025
-
Econazole nitrate topical foam is flammable. Avoid heat, flame, and smoking during and immediately following application. Contents under pressure. Do not puncture and/or incinerate the containers. Do not expose containers to heat and/or store at temperatures above 120°F (49°C) even when empty. Do not store in direct sunlight.
-
Because clinical trials are conducted under widely varying conditions, adverse reaction rates observed in the clinical trials of a drug cannot be directly compared to rates in the clinical trials of another drug and may not reflect the rates observed in practice.
In two double-blind, vehicle-controlled clinical trials, 495 subjects were exposed to econazole nitrate topical foam or vehicle (246 subjects were exposed to econazole nitrate topical foam, 1% and 249 were exposed to vehicle). Subjects with interdigital tinea pedis applied foam or vehicle once daily for approximately 28 days. During clinical trials with econazole nitrate topical foam, the most common adverse reactions were application site reactions which occurred in less than 1% of subjects in both the econazole nitrate and vehicle arms.
-
Concomitant administration of econazole and warfarin has resulted in enhancement of anticoagulant effect. Most cases reported product application with use under occlusion, genital application, or application to a large body surface area which may increase the systemic absorption of econazole nitrate. Monitoring of International Normalized Ratio (INR) and/or prothrombin time may be indicated especially for patients who apply econazole to large body surface areas, in the genital area, or under occlusion.
-
-
Pregnancy Category C
There are no adequate and well-controlled trials with econazole nitrate topical foam in pregnant women. Econazole nitrate topical foam should be used during pregnancy only if the potential benefit justifies the potential risk to the fetus.
Econazole nitrate has not been shown to be teratogenic when administered orally to mice, rabbits or rats. Fetotoxic or embryotoxic effects were observed in Segment I oral studies with rats receiving 10 to 40 times the human dermal dose. Similar effects were observed in Segment II or Segment III studies with mice, rabbits and/or rats receiving oral doses 80 or 40 times the human dermal dose.
It is not known whether econazole nitrate is excreted in human milk. Because many drugs are excreted in human milk, caution should be exercised when econazole nitrate is administered to a nursing woman. Following oral administration of econazole nitrate to lactating rats, econazole and/or metabolites were excreted in milk and were found in nursing pups.
Of the 173 subjects treated with econazole nitrate topical foam, 1% in the clinical trials, 2 subjects were 12 to 17 years old. In a pediatric maximal use trial, econazole nitrate topical foam, 1% was applied once daily to eighteen subjects aged 12 to 17 years with interdigital tinea pedis for 28 days [ see Clinical Pharmacology (12.3)]. The safety findings for subjects 12 to 17 years were similar to those in adult population.
Econazole nitrate topical foam, 1% contains the azole antifungal agent, econazole nitrate in an oil-in-water emulsion base consisting of the following inactive ingredients: dimethicone, glycerin, polysorbate 20, povidone, propylene glycol, stearic acid, trolamine, purified water and butane as a propellant. Each gram of econazole nitrate topical foam, 1% contains 10 mg of econazole nitrate, USP, in a white to off-white foam. Econazola nitrate topical foam, 1% is alcohol (ethanol)-free and for topical use only.
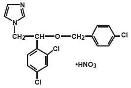
Chemically, econazole nitrate is 1-[2-{(4-chloro-phenyl)methoxy}-2-(2,4-dichlorophenyl) ethyl]-1H-imidazole mononitrate. Econazole nitrate has the molecular formula C 18H 15Cl 3N 2O. HNO 3and a molecular weight of 444.70. Its molecular structure is as follows:

-
Econazole nitrate topical foam is an azole antifungal [ see Clinical Pharmacology (12.4)] .
The pharmacodynamics of econazole nitrate topical foam, 1% have not been established .
The systemic absorption of econazole nitrate topical foam, 1% following topical application was studied in one clinical trial in adults and one clinical study in pediatric subjects.
In the adult trial, 19 subjects (male and female) with tinea pedis applied econazole nitrate topical foam, 1% once daily for 29 days. Subjects applied a mean daily amount of 2.4 g of econazole nitrate topical foam, 1% to soles, toes, interdigital spaces and tops of both feet up to the ankles. Blood samples were obtained on Day 29 at pre-dose and 1, 2, 4, 6, 8, and 12 hours after application. Results (mean ± SD) showed the time to reach peak plasma concentrations (T max) was 6.8 ± 5.1 h with maximum concentration (C max) of 417 ± 218 pg/ml. The area under the concentration time curve for the first 12 hours post application on Day 29 (AUC (0-12)) was 3440 ± 1920 pg-h/ml.
In the pediatric trial, 18 subjects (male and female ages 12 - 17) with interdigital tinea pedis and positive fungal cultures were treated with econazole nitrate topical foam, 1% once daily for 4 weeks. Subjects applied a mean daily amount of 3.2 g of econazole nitrate topical foam, 1% to soles, toes, interdigital spaces and tops of both feet up to the ankles. Blood samples were obtained on Day 28 at pre-dose and 7 h and 11 h post-dose. The mean ± SD econazole plasma concentration was 397 ± 289, 534 ± 745 and 575 ± 638 pg/mL at pre-dose and 7 h and 11 h post-dose, respectively.
-
Mechanism of Action
Econazole nitrate, an azole antifungal agent, inhibits fungal cytochrome P-450-mediated 14 alpha-lanosterol demethylase enzyme. This enzyme functions to convert lanosterol to ergosterol. The accumulation of 14 alpha-methyl sterols correlates with the subsequent loss of ergosterol in the fungal cell wall and may be responsible for the fungistatic activity of econazole. Mammalian cell demethylation is less sensitive to econazole inhibition.
Activity in vitroand in clinical infections
Econazole nitrate has been shown to be active against most strains of the following microorganisms, both in vitro and in clinical infections [ see Indications and Usage (1)].
Trichophyton rubrum
Epidermophyton floccosum
Trichophyton mentagrophytes
In two multi-center, randomized, double-blind, vehicle-controlled clinical trials a total of 505 subjects with interdigital tinea pedis were randomized 1:1 to econazole nitrate topical foam or vehicle; subjects applied the assigned medication once daily for 4 weeks. The severity of erythema, scaling, fissuring, maceration, vesiculation, and pruritus were graded using a 4-point scale (none, mild, moderate, severe). Subjects had KOH examination and fungal cultures taken to confirm eligibility. A total of 339 subjects with positive fungal cultures were evaluated for efficacy. Efficacy was evaluated on Day 43, 2 weeks post-treatment with treatment success being defined as complete cure (negative KOH and fungal culture and no evidence of clinical disease). The study population ranged in age from 12 to 71 years with 5 subjects less than 18 years of age at baseline. The subjects were 71% male and 51% Caucasian. Table 1 presents the efficacy results for each trial.
|
Table 1: Efficacy Results at Two Weeks Post-treatment (Day 43) Complete Cure, Effective Treatment and Mycological Cure |
||||
| Trial 1 | Trial 2 | |||
|
Econazole Nitrate topical foam 1% N = 82 n(%) |
Foam Vehicle N = 83 n(%) |
Econazole Nitrate topical foam, 1% N = 91 n(%) |
Foam Vehicle N = 83 n(%) |
|
| Complete cure a | 19 (23.2%) | 2 (2.4%) | 23 (25.3%) | 4 (4.8%) |
| Effective treatment b | 40 (48.8%) | 9 (10.8%) | 44 (48.4%) | 9 (10.8%) |
| Mycological cure c | 56 (68.3%) | 13 (15.7%) | 61 (67.0%) | 15 (18.1%) |
aMycological cure and an absence of clinical signs and symptoms (erythema, scaling, fissuring, maceration, vesiculation, or pruritus).
bMycological cure and no or mild erythema and/or scaling with all other signs and symptoms absent.
cNegative KOH and fungal culture.
Econazole nitrate topical foam, 1% is white to off-white foam supplied in 70g (NDC: 73352-100-70) aluminum pressurized canister.
Store at controlled room temperature 20°C to 25°C (68°F to 77°F) with excursions permitted between 15°C and 30°C (59°F and 86°F). Do not refrigerate or freeze.
Econazole nitrate topical foam is flammable. Avoid heat, flame, and smoking during and immediately following application.
Contents under pressure. Do not puncture and/or incinerate the containers.
Do not expose containers to heat and/or store at temperatures above 120°F (49°C) even when empty.
Do not store in direct sunlight.
See FDA-approved patient labeling (Patient Information)
The patient should be instructed as follows:
| Patient Information
Econazole nitrate topical foam, 1% |
||
| Important information: Econazole nitrate topical foam is for use on skin only. Do not use Ecoza topical foam in your eyes or vagina. | ||
| What is econazole nitrate topical foam?
Econazole nitrate topical foam is a prescription medicine used on the skin (topical) to treat athlete's foot that is between the toes (interdigital tinea pedis) in people 12 years of age and older. |
||
| What should I tell my doctor before using Econazole nitrate topical foam?
Before using econazole nitrate topical foam, tell your doctor about all of your medical conditions, including if you:
|
||
| How should I use econazole nitrate topical foam?
See the detailed Instructions for Usefor information about how to use econazole nitrate topical foam.
|
||
What should I avoid while using econazole nitrate topical foam?
|
||
| What are the possible side effects of econazole nitrate topical foam?
Econazole nitrate topical foam may cause skin reactions at the treatment site. Tell your doctor if you have any skin reactions on the areas of your skin treated with econazole nitrate topical foam. These are not all the possible side effects of econazole nitrate topical foam. Call your doctor for medical advice about side effects. You may report side effects to FDA at 1-800-FDA-1088. |
||
|
How should I store econazole nitrate topical foam?
Keep econazole nitrate topical foam and all medicines out of the reach of children. |
||
| General information about the safe and effective use of econazole nitrate topical foam
Medicines are sometimes prescribed for purposes other than those listed in a Patient Information leaflet. You can ask your doctor or pharmacist for information about econazole nitrate topical foam that is written for health professionals. Do not use econazole nitrate topical foam for a condition for which it was not prescribed. Do not give econazole nitrate topical foam to other people, even if they have the same symptoms that you have. It may harm them. |
||
|
What are the ingredients in econazole nitrate topical foam?
|
||
| This Patient Information has been approved by the U.S. Food and Drug Administration. | Issued: 9.2025 | |
| Important information: econazole nitrate topical foam is for use on skin only.
Do not use econazole nitrate topical foam in your eyes or vagina. |
Parts of econazole nitrate topical foam Canister. (See Figure A)
![]() |
| Figure A |
How to apply econazole nitrate topical foam:
| Step 1: | Before you apply econazole nitrate topical foam, shake the econazole nitrate topical foam canister for about 5 seconds. |
| Step 2: | Remove the cap and turn the econazole nitrate topical foam canister upside down over the palm of your hand. |
| Step 3: | Press down firmly on the actuator until there is a small amount of foam about the size of a golf ball in the palm of your hand. (See Figures Band C) |
![]() | ![]() |
| Figure B | Figure C |
| Step 4: | Use your finger-tips to scoop up small amounts of econazole nitrate topical foam and apply to the affected skin areas on your feet. Gently rub the foam into the skin. (See Figure D) |
|
|
|
| Figure D | |
| Step 5: | You should apply econazole nitrate topical foam to your toes, to the spaces between your toes, and to the surrounding areas 1 time a day for 4 weeks or as prescribed by your doctor. |
| Step 6: | Replace the cap. Wash your hands after applying econazole nitrate topical foam. |
How should I store econazole nitrate topical foam?
Keep econazole nitrate topical foam and all medicines out of the reach of children.
This Instructions for Use has been approved by the U.S. Food and Drug Administration.
Manufactured for Trifluent Pharma, LLC, San Antonio, TX 78213
Issued: 09/2025
NDC: 73352-100-70
Econazole nitrate topical foam, 1%
For Topical Use Only
Not for ophthalmic, oral or intravaginal use.
Keep Out of Reach of Children
Rx Only
Net Wt 70g

| ECONAZOLE NITRATE
econazole nitrate aerosol, foam |
||||||||||||||||||||||
|
||||||||||||||||||||||
|
||||||||||||||||||||||
|
||||||||||||||||||||||
|
||||||||||||||||||||||
|
||||||||||||||||||||||
|
||||||||||||||||||||||
| Labeler - Trifluent Pharma, LLC (117167281) |