Bupropion Hydrochloride by is a Prescription medication manufactured, distributed, or labeled by NuCare Pharmaceuticals, Inc.. Drug facts, warnings, and ingredients follow.
General:
Major Depressive Disorder
Seasonal Affective Disorder
Hepatic Impairment
Renal Impairment
Extended-release tablets: 150 mg, 300 mg ( 3)
Postmarketing reports of serious or clinically significant neuropsychiatric adverse events have included changes in mood (including depression and mania), psychosis, hallucinations, paranoia, delusions, homicidal ideation, aggression, hostility, agitation, anxiety, and panic, as well as suicidal ideation, suicide attempt, and completed suicide. Observe patients attempting to quit smoking with bupropion hydrochloride extended-release tablets (XL) for the occurrence of such symptoms and instruct them to discontinue bupropion hydrochloride extended-release tablets (XL) and contact a healthcare provider if they experience such adverse events. ( 5.2)
Most common adverse reactions are (incidence ≥5%; ≥2× placebo rate): dry mouth, nausea, insomnia, dizziness, pharyngitis, abdominal pain, agitation, anxiety, tremor, palpitation, sweating, tinnitus, myalgia, anorexia, urinary frequency, rash. ( 6.1)
To report SUSPECTED ADVERSE REACTIONS, contact Lupin Pharmaceuticals, Inc. at 1-800-399-2561 or FDA at 1-800-FDA-1088 or www.fda.gov/medwatch .
See 17 for PATIENT COUNSELING INFORMATION and Medication Guide.
Revised: 12/2025
SUICIDALITY AND ANTIDEPRESSANT DRUGS
Antidepressants increased the risk of suicidal thoughts and behavior in children, adolescents, and young adults in short-term trials. These trials did not show an increase in the risk of suicidal thoughts and behavior with antidepressant use in subjects aged 65 and older [see WARNINGS AND PRECAUTIONS ( 5.1)].
In patients of all ages who are started on antidepressant therapy, monitor closely for worsening, and for emergence of suicidal thoughts and behaviors. Advise families and caregivers of the need for close observation and communication with the prescriber [see WARNINGS AND PRECAUTIONS ( 5.1)].
Bupropion hydrochloride extended-release tablets (XL) are indicated for the treatment of major depressive disorder (MDD), as defined by the Diagnostic and Statistical Manual (DSM).
The efficacy of the immediate-release formulation of bupropion was established in two 4-week controlled inpatient trials and one 6-week controlled outpatient trial of adult patients with MDD. The efficacy of the sustained-release formulation of bupropion in the maintenance treatment of MDD was established in a long-term (up to 44 weeks), placebo-controlled trial in patients who had responded to bupropion in an 8-week study of acute treatment [see CLINICAL STUDIES ( 14.1)].
Bupropion hydrochloride extended-release tablets (XL) are indicated for the prevention of seasonal major depressive episodes in patients with a diagnosis of seasonal affective disorder (SAD).
The efficacy of bupropion hydrochloride extended-release tablets (XL) in the prevention of seasonal major depressive episodes was established in 3 placebo-controlled trials in adult outpatients with a history of MDD with an autumn-winter seasonal pattern as defined in the DSM [see CLINICAL STUDIES ( 14.2)].
To minimize the risk of seizure, increase the dose gradually [see WARNINGS AND PRECAUTIONS ( 5.3)].
Bupropion hydrochloride extended-release tablets (XL) should be swallowed whole and not crushed, divided, or chewed.
Bupropion hydrochloride extended-release tablets (XL) should be administered in the morning and may be taken with or without food.
The recommended starting dose for MDD is 150 mg once daily in the morning. After 4 days of dosing, the dose may be increased to the target dose of 300 mg once daily in the morning.
It is generally agreed that acute episodes of depression require several months or longer of antidepressant treatment beyond the response in the acute episode. It is unknown whether the bupropion hydrochloride extended-release tablets (XL) dose needed for maintenance treatment is identical to the dose that provided an initial response. Periodically reassess the need for maintenance treatment and the appropriate dose for such treatment.
The recommended starting dose for SAD is 150 mg once daily. After 7 days of dosing, the dose may be increased to the target dose of 300 mg once daily in the morning. Doses above 300 mg of bupropion hydrochloride extended-release were not assessed in the SAD trials.
For the prevention of seasonal MDD episodes associated with SAD, initiate bupropion hydrochloride extended-release tablets (XL) in the autumn, prior to the onset of depressive symptoms. Continue treatment through the winter season. Taper and discontinue bupropion hydrochloride extended-release tablets (XL) in early spring. For patients treated with 300 mg per day, decrease the dose to 150 mg once daily before discontinuing bupropion hydrochloride extended-release tablets (XL). Individualize the timing of initiation, and duration of treatment should be individualized, based on the patient's historical pattern of seasonal MDD episodes.
When switching patients from WELLBUTRIN Tablets to bupropion hydrochloride extended-release tablets (XL) or from WELLBUTRIN SR Sustained-release Tablets to bupropion hydrochloride extended-release tablets (XL), give the same total daily dose when possible.
When discontinuing treatment in patients treated with bupropion hydrochloride extended-release tablets (XL), 300 mg once daily, decrease the dose to 150 mg once daily prior to discontinuation.
In patients with moderate to severe hepatic impairment (Child-Pugh score: 7 to 15), the maximum dose is 150 mg every other day.In patients with mild hepatic impairment (Child-Pugh score: 5 to 6), consider reducing the dose and/or frequency of dosing [see USE IN SPECIFIC POPULATIONS ( 8.7) and CLINICAL PHARMACOLOGY ( 12.3)].
Consider reducing the dose and/or frequency of bupropion hydrochloride extended-release tablets (XL) in patients with renal impairment (glomerular filtration rate less than 90 mL/min) [see USE IN SPECIFIC POPULATIONS ( 8.6) and CLINICAL PHARMACOLOGY ( 12.3)].
At least 14 days should elapse between discontinuation of an MAOI intended to treat depression and initiation of therapy with bupropion hydrochloride extended-release tablets (XL). Conversely, at least 14 days should be allowed after stopping bupropion hydrochloride extended-release tablets (XL) before starting an MAOI antidepressant [see CONTRAINDICATIONS ( 4) and DRUG INTERACTIONS ( 7.6)].
Do not start bupropion hydrochloride extended-release tablets (XL) in a patient who is being treated with a reversible MAOI such as linezolid or intravenous methylene blue. Drug interactions can increase risk of hypertensive reactions. In a patient who requires more urgent treatment of a psychiatric condition, non- pharmacological interventions, including hospitalization, should be considered [see CONTRAINDICATIONS ( 4)].
In some cases, a patient already receiving therapy with bupropion hydrochloride extended-release tablets (XL) may require urgent treatment with linezolid or intravenous methylene blue. If acceptable alternatives to linezolid or intravenous methylene blue treatment are not available and the potential benefits of linezolid or intravenous methylene blue treatment are judged to outweigh the risks of hypertensive reactions in a particular patient, bupropion hydrochloride extended-release tablets (XL) should be stopped promptly, and linezolid or intravenous methylene blue can be administered. The patient should be monitored for 2 weeks or until 24 hours after the last dose of linezolid or intravenous methylene blue, whichever comes first. Therapy with bupropion hydrochloride extended-release tablets (XL) may be resumed 24 hours after the last dose of linezolid or intravenous methylene blue.
The risk of administering methylene blue by non-intravenous routes (such as oral tablets or by local injection) or in intravenous doses much lower than 1 mg per kg with bupropion hydrochloride extended-release tablets (XL) is unclear. The clinician should, nevertheless, be aware of the possibility of a drug interaction with such use [see CONTRAINDICATIONS ( 4) and DRUG INTERACTIONS ( 7.6)].
Bupropion Hydrochloride Extended-release Tablets USP (XL), 150 mg of bupropion hydrochloride, are off-white to pale yellow, round, biconvex, coated tablets imprinted with "L015" in black ink on one side and plain on the other side.
Bupropion Hydrochloride Extended-release Tablets USP (XL), 300 mg of bupropion hydrochloride, are off-white to pale yellow, round, biconvex, coated tablets imprinted with "L016" in black ink on one side and plain on the other side.
Bupropion hydrochloride extended-release tablets (XL) are contraindicated in patients with seizure disorder.
Patients with major depressive disorder (MDD), both adult and pediatric, may experience worsening of their depression and/or the emergence of suicidal ideation and behavior (suicidality) or unusual changes in behavior, whether or not they are taking antidepressant medications, and this risk may persist until significant remission occurs. Suicide is a known risk of depression and certain other psychiatric disorders, and these disorders themselves are the strongest predictors of suicide. There has been a long-standing concern that antidepressants may have a role in inducing worsening of depression and the emergence of suicidality in certain patients during the early phases of treatment.
Pooled analyses of short-term placebo-controlled trials of antidepressant drugs (Selective Serotonin Reuptake Inhibitors [SSRIs] and others) show that these drugs increase the risk of suicidal thinking and behavior (suicidality) in children, adolescents, and young adults (ages 18 to 24) with major depressive disorder (MDD) and other psychiatric disorders. Short-term studies did not show an increase in the risk of suicidality with antidepressants compared to placebo in adults beyond age 24; there was a reduction with antidepressants compared to placebo in adults aged 65 and older.
The pooled analyses of placebo-controlled trials in children and adolescents with MDD, obsessive compulsive disorder (OCD), or other psychiatric disorders included a total of 24 short-term trials of 9 antidepressant drugs in over 4400 patients. The pooled analyses of placebo-controlled trials in adults with MDD or other psychiatric disorders included a total of 295 short-term trials (median duration of 2 months) of 11 antidepressant drugs in over 77,000 patients. There was considerable variation in risk of suicidality among drugs, but a tendency toward an increase in the younger patients for almost all drugs studied. There were differences in absolute risk of suicidality across the different indications, with the highest incidence in MDD. The risk differences (drug vs. placebo), however, were relatively stable within age strata and across indications. These risk differences (drug-placebo difference in the number of cases of suicidality per 1000 patients treated) are provided in Table 1.
| Age Range
| Drug-Placebo Difference in Number of Cases of Suicidality per 1000 Patients Treated
|
| Increases Compared to Placebo
|
|
| <18 years
| 14 additional cases
|
| 18 to 24 years
| 5 additional cases
|
| Decreases Compared to Placebo
|
|
| 25 to 64 years
| 1 fewer case
|
| ≥65 years
| 6 fewer cases
|
No suicides occurred in any of the pediatric trials. There were suicides in the adult trials, but the number was not sufficient to reach any conclusion about drug effect on suicide.
It is unknown whether the suicidality risk extends to longer-term use, i.e., beyond several months. However, there is substantial evidence from placebo-controlled maintenance trials in adults with depression that the use of antidepressants can delay the recurrence of depression.
All patients being treated with antidepressants for any indication should be monitored appropriately and observed closely for clinical worsening, suicidality, and unusual changes in behavior, especially during the initial few months of a course of drug therapy, or at times of dose changes, either increases or decreases [see BOXED WARNINGand USE IN SPECIFIC POPULATIONS ( 8.4)].
The following symptoms, anxiety, agitation, panic attacks, insomnia, irritability, hostility, aggressiveness, impulsivity, akathisia (psychomotor restlessness), hypomania, and mania, have been reported in adult and pediatric patients being treated with antidepressants for major depressive disorder as well as for other indications, both psychiatric and nonpsychiatric. Although a causal link between the emergence of such symptoms and either the worsening of depression and/or the emergence of suicidal impulses has not been established, there is concern that such symptoms may represent precursors to emerging suicidality.
Consideration should be given to changing the therapeutic regimen, including possibly discontinuing the medication, in patients whose depression is persistently worse, or who are experiencing emergent suicidality or symptoms that might be precursors to worsening depression or suicidality, especially if these symptoms are severe, abrupt in onset, or were not part of the patient's presenting symptoms.
Families and caregivers of patients being treated with antidepressants for major depressive disorder or other indications, both psychiatric and nonpsychiatric, should be alerted about the need to monitor patients for the emergence of agitation, irritability, unusual changes in behavior, and the other symptoms described above, as well as the emergence of suicidality, and to report such symptoms immediately to healthcare providers. Such monitoring should include daily observation by families and caregivers. Prescriptions for bupropion hydrochloride extended-release tablets (XL) should be written for the smallest quantity of tablets consistent with good patient management, in order to reduce the risk of overdose.
Bupropion hydrochloride extended-release tablets (XL) are not approved for smoking cessation treatment; however, bupropion HCl sustained-release is approved for this use. Serious neuropsychiatric adverse events have been reported in patients taking bupropion for smoking cessation. These postmarketing reports have included changes in mood (including depression and mania), psychosis, hallucinations, paranoia, delusions, homicidal ideation, aggression, hostility, agitation, anxiety, and panic, as well as suicidal ideation, suicide attempt, and completed suicide [see ADVERSE REACTIONS ( 6.2)]. Some patients who stopped smoking may have been experiencing symptoms of nicotine withdrawal, including depressed mood. Depression, rarely including suicidal ideation, has been reported in smokers undergoing a smoking cessation attempt without medication. However, some of these adverse events occurred in patients taking bupropion who continued to smoke.
Neuropsychiatric adverse events occurred in patients without and with pre-existing psychiatric disease; some patients experienced worsening of their psychiatric illnesses. Observe patients for the occurrence of neuropsychiatric adverse events. Advise patients and caregivers that the patient should stop taking bupropion hydrochloride extended-release tablets (XL) and contact a healthcare provider immediately if agitation, depressed mood, or changes in behavior or thinking that are not typical for the patient are observed, or if the patient develops suicidal ideation or suicidal behavior. The healthcare provider should evaluate the severity of the adverse events and the extent to which the patient is benefiting from treatment, and consider options including continued treatment under closer monitoring, or discontinuing treatment. In many postmarketing cases, resolution of symptoms after discontinuation of bupropion was reported. However, the symptoms persisted in some cases; therefore, ongoing monitoring and supportive care should be provided until symptoms resolve.
Bupropion hydrochloride extended-release tablets (XL) can cause seizure. The risk of seizure is dose-related. The dose should not exceed 300 mg once daily. Increase the dose gradually. Discontinue bupropion hydrochloride extended-release tablets (XL) and do not restart treatment if the patient experiences a seizure.
The risk of seizures is also related to patient factors, clinical situations, and concomitant medications that lower the seizure threshold. Consider these risks before initiating treatment with bupropion hydrochloride extended-release tablets (XL). bupropion hydrochloride extended-release tablets (XL) are contraindicated in patients with a seizure disorder or conditions that increase the risk of seizure (e.g., severe head injury, arteriovenous malformation, CNS tumor or CNS infection, severe stroke, anorexia nervosa or bulimia, or abrupt discontinuation of alcohol, benzodiazepines, barbiturates, and antiepileptic drugs [see CONTRAINDICATIONS ( 4)]. The following conditions can also increase the risk of seizure: concomitant use of other medications that lower the seizure threshold (e.g., other bupropion products, antipsychotics, tricyclic antidepressants, theophylline, and systemic corticosteroids), metabolic disorders (e.g., hypoglycemia, hyponatremia, severe hepatic impairment, and hypoxia), or use of illicit drugs (e.g., cocaine) or abuse or misuse of prescription drugs such as CNS stimulants. Additional predisposing conditions include diabetes mellitus treated with oral hypoglycemic drugs or insulin, use of anorectic drugs, excessive use of alcohol, benzodiazepines, sedative/hypnotics, or opiates.
Incidence of Seizure with Bupropion Use
The incidence of seizure with bupropion hydrochloride extended-release tablets (XL) have not been formally evaluated in clinical trials. In studies using bupropion HCl sustained-release up to 300 mg per day the incidence of seizure was approximately 0.1% (1/1000 patients). In a large prospective, follow-up study, the seizure incidence was approximately 0.4% (13/3200) with bupropion HCl immediate-release in the range of 300 mg to 450 mg per day.
Additional data accumulated for bupropion immediate-release suggests that the estimated seizure incidence increases almost tenfold between 450 and 600 mg/day. The risk of seizure can be reduced if the bupropion hydrochloride extended-release tablets (XL) dose does not exceed 450 mg once daily and the titration rate is gradual.
Treatment with bupropion hydrochloride extended-release tablets (XL) can result in elevated blood pressure and hypertension. Assess blood pressure before initiating treatment with bupropion hydrochloride extended-release tablets (XL), and monitor periodically during treatment. The risk of hypertension is increased if bupropion hydrochloride extended-release tablets (XL) are used concomitantly with MAOIs or other drugs that increase dopaminergic or noradrenergic activity [see CONTRAINDICATIONS ( 4)].
Data from a comparative trial of the sustained-release formulation of bupropion HCl, nicotine transdermal system (NTS), the combination of sustained-release bupropion plus NTS, and placebo as an aid to smoking cessation suggest a higher incidence of treatment-emergent hypertension in patients treated with the combination of sustained-release bupropion and NTS. In this trial, 6.1% of subjects treated with the combination of sustained-release bupropion and NTS had treatment-emergent hypertension compared to 2.5%, 1.6%, and 3.1% of subjects treated with sustained-release bupropion, NTS, and placebo, respectively. The majority of these subjects had evidence of pre-existing hypertension. Three subjects (1.2%) treated with the combination of sustained-release bupropion and NTS and 1 subject (0.4%) treated with NTS had study medication discontinued due to hypertension compared with none of the subjects treated with sustained-release bupropion or placebo. Monitoring of blood pressure is recommended in patients who receive the combination of bupropion and nicotine replacement.
In the 3 trials of bupropion HCl extended-release in seasonal affective disorder, there were significant elevations in blood pressure. Hypertension was reported as an adverse reaction for 2% of the bupropion group (11/537) and none in the placebo group (0/511). In the SAD trials, 2 patients treated with bupropion discontinued from the study because they developed hypertension. None of the placebo group discontinued because of hypertension. The mean increase in systolic blood pressure was 1.3 mmHg in the bupropion group and 0.1 mmHg in the placebo group. The difference was statistically significant (p=0.013). The mean increase in diastolic blood pressure was 0.8 mmHg in the bupropion group and 0.1 mmHg in the placebo group. The difference was not statistically significant (p=0.075). In the SAD trials, 82% of patients were treated with 300 mg per day, and 18% were treated with 150 mg per day. The mean daily dose was 270 mg per day. The mean duration of bupropion exposure was 126 days.
In a clinical trial of bupropion immediate-release in MDD subjects with stable congestive heart failure (CHF) (N=36), bupropion was associated with an exacerbation of pre-existing hypertension in 2 subjects, leading to discontinuation of bupropion treatment. There are no controlled studies assessing the safety of bupropion in patients with a recent history of myocardial infarction or unstable cardiac disease.
Antidepressant treatment can precipitate a manic, mixed, or hypomanic manic episode. The risk appears to be increased in patients with bipolar disorder or who have risk factors for bipolar disorder. Prior to initiating bupropion hydrochloride extended-release tablets (XL), screen patients for a history of bipolar disorder and the presence of risk factors for bipolar disorder (e.g., family history of bipolar disorder, suicide, or depression). Bupropion hydrochloride extended-release tablets (XL) are not approved for the treatment of bipolar depression.
Depressed patients treated with bupropion have had a variety of neuropsychiatric signs and symptoms, including delusions, hallucinations, psychosis, concentration disturbance, paranoia, and confusion. Some of these patients had a diagnosis of bipolar disorder. In some cases, these symptoms abated upon dose reduction and/or withdrawal of treatment. Discontinue bupropion hydrochloride extended-release tablets (XL) if these reactions occur.
Angle-Closure Glaucoma: The pupillary dilation that occurs following use of many antidepressant drugs including bupropion hydrochloride extended-release tablets (XL) may trigger an angle-closure attack in a patient with anatomically narrow angles who does not have a patent iridectomy.
Anaphylactoid/anaphylactic reactions have occurred during clinical trials with bupropion. Reactions have been characterized by pruritus, urticaria, angioedema, and dyspnea, requiring medical treatment. In addition, there have been rare, spontaneous postmarketing reports of erythema multiforme, Stevens-Johnson syndrome, and anaphylactic shock associated with bupropion. Instruct patients to discontinue bupropion hydrochloride extended-release tablets (XL) and consult a healthcare provider if they develop an allergic or anaphylactoid/anaphylactic reaction (e.g., skin rash, pruritus, hives, chest pain, edema, and shortness of breath) during treatment.
There are reports of arthralgia, myalgia, fever with rash and other symptoms of serum sickness suggestive of delayed hypersensitivity.
The following adverse reactions are discussed in greater detail in other sections of the labeling:
Suicidal thoughts and behaviors in children, adolescents, and young adults [see WARNINGS AND PRECAUTIONS ( 5.1)]
Neuropsychiatric adverse events and suicide risk in smoking cessation treatment [see WARNINGS AND PRECAUTIONS ( 5.2)]
Seizure [see WARNINGS AND PRECAUTIONS ( 5.3)]
Hypertension [see WARNINGS AND PRECAUTIONS ( 5.4)]
Activation of mania or hypomania [see WARNINGS AND PRECAUTIONS ( 5.5)]
Psychosis and other neuropsychiatric events [see WARNINGS AND PRECAUTIONS ( 5.6)]
Angle-Closure Glaucoma [see WARNINGS AND PRECAUTIONS ( 5.7)]
Hypersensitivity reactions [see WARNINGS AND PRECAUTIONS ( 5.8)]
Because clinical trials are conducted under widely varying conditions, adverse reaction rates observed in the clinical trials of a drug cannot be directly compared to rates in the clinical trials of another drug and may not reflect the rates observed in practice.
Commonly Observed Adverse Reactions in Controlled Clinical Trials of Sustained-Release Bupropion Hydrochloride
Adverse reactions that occurred in at least 5% of patients treated with bupropion HCl sustained- release (300 mg and 400 mg per day) and at a rate at least twice the placebo rate are listed below.
300 mg/day of bupropion HCl sustained-release:anorexia, dry mouth, rash, sweating, tinnitus, and tremor.
400 mg/day of bupropion HCl sustained-release:abdominal pain, agitation, anxiety, dizziness, dry mouth, insomnia, myalgia, nausea, palpitation, pharyngitis, sweating, tinnitus, and urinary frequency.
Bupropion hydrochloride extended-release tablets (XL) have been demonstrated to have similar bioavailability both to the immediate-release and sustained-release formulations of bupropion. The information included under this subsection and under subsection 6.2 is based primarily on data from controlled clinical trials with the sustained-release and extended-release formulations of bupropion hydrochloride.
Major Depressive Disorder
Adverse Reactions Leading to Discontinuation of Treatment with Bupropion HCl Immediate-Release, Bupropion HCl Sustained-Release, and Bupropion HCl Extended-release in Major Depressive Disorder Trials
In placebo-controlled clinical trials with bupropion HCl sustained-release, 4%, 9%, and 11% of the placebo, 300 mg/day and 400 mg/day groups, respectively, discontinued treatment because of adverse reactions. The specific adverse reactions leading to discontinuation in at least 1% of the 300 mg/day or 400 mg/day groups and at a rate at least twice the placebo rate are listed in Table 2.
| Adverse Reaction Term
| Placebo
(n=385) | Bupropion HCl
Sustained-Release 300 mg/day (n=376) | Bupropion HCl
Sustained-Release 400 mg/day (n=114) |
| Rash
| 0.0%
| 2.4%
| 0.9%
|
| Nausea
| 0.3%
| 0.8%
| 1.8%
|
| Agitation
| 0.3%
| 0.3%
| 1.8%
|
| Migraine
| 0.3%
| 0.0%
| 1.8%
|
In clinical trials with bupropion HCl immediate-release, 10% of patients and volunteers discontinued due to an adverse reaction. Reactions resulting in discontinuation (in addition to those listed above for the sustained-release formulation) included vomiting, seizures, and sleep disturbances.
Adverse Reactions Occurring at an Incidence of >1% in Patients Treated with Bupropion HCl Immediate-Release or Bupropion HCl Sustained-Release in MDD
Table 3summarizes the adverse reactions that occurred in placebo-controlled trials in patients treated with bupropion HCl sustained-release 300 mg/day and 400 mg/day. These include reactions that occurred in either the 300 mg or 400 mg group at an incidence of 1% or more and were more frequent than in the placebo group.
|
*Incidence based on the number of female patients. |
|||
|
†Hyphen denotes adverse reactions occurring in greater than 0 but less than 0.5% of patients. |
|||
| Body System/ Adverse Reaction
| Placebo
(n=385) | Bupropion HCl
Sustained-Release 300 mg/day (n=376) | Bupropion HCl
Sustained-Release 400 mg/day (n=114) |
| Body (General)
Headache | 23%
| 26%
| 25%
|
| Infection
| 6%
| 8%
| 9%
|
| Abdominal pain
| 2%
| 3%
| 9%
|
| Asthenia
| 2%
| 2%
| 4%
|
| Chest pain
| 1%
| 3%
| 4%
|
| Pain
| 2%
| 2%
| 3%
|
| Fever
| ‑
| 1%
| 2%
|
| Cardiovascular
Palpitation | 2%
| 2%
| 6%
|
| Flushing
| -
| 1%
| 4%
|
| Migraine
| 1%
| 1%
| 4%
|
| Hot flashes
| 1%
| 1%
| 3%
|
| Digestive
Dry mouth | 7%
| 17%
| 24%
|
| Nausea
| 8%
| 13%
| 18%
|
| Constipation
| 7%
| 10%
| 5%
|
| Diarrhea
| 6%
| 5%
| 7%
|
| Anorexia
| 2%
| 5%
| 3%
|
| Vomiting
| 2%
| 4%
| 2%
|
| Dysphagia
| 0%
| 0%
| 2%
|
| Musculoskeletal
| |||
| Myalgia
| 3%
| 2%
| 6%
|
| Arthralgia
| 1%
| 1%
| 4%
|
| Arthritis
| 0%
| 0%
| 2%
|
| Twitch
| ‑
| 1%
| 2%
|
| Nervous System
Insomnia | 6%
| 11%
| 16%
|
| Dizziness
| 5%
| 7%
| 11%
|
| Agitation
| 2%
| 3%
| 9%
|
| Anxiety
| 3%
| 5%
| 6%
|
| Tremor
| 1%
| 6%
| 3%
|
| Nervousness
| 3%
| 5%
| 3%
|
| Somnolence
| 2%
| 2%
| 3%
|
| Irritability
| 2%
| 3%
| 2%
|
| Memory decreased
| 1%
| -
| 3%
|
| Paresthesia
| 1%
| 1%
| 2%
|
| Central nervous system stimulation
| 1%
| 2%
| 1%
|
| Respiratory
Pharyngitis | 2%
| 3%
| 11%
|
| Sinusitis
| 2%
| 3%
| 1%
|
| Increased cough
| 1%
| 1%
| 2%
|
| Skin
Sweating | 2%
| 6%
| 5%
|
| Rash
| 1%
| 5%
| 4%
|
| Pruritus
| 2%
| 2%
| 4%
|
| Urticaria
| 0%
| 2%
| 1%
|
| Special Senses
Tinnitus | 2%
| 6%
| 6%
|
| Taste perversion
| -
| 2%
| 4%
|
| Blurred vision or diplopia
| 2%
| 3%
| 2%
|
| Urogenital
| |||
| Urinary frequency
| 2%
| 2%
| 5%
|
| Urinary urgency
| 0%
| _
| 2%
|
| Vaginal hemorrhage
*
| _
| 0%
| 2%
|
| Urinary tract infection
| _†
| 1%
| 0%
|
The following additional adverse reactions occurred in controlled trials of bupropion HCl immediate-release (300 to 600 mg per day) at an incidence of at least 1% more frequently than in the placebo group were: cardiac arrhythmia (5% vs. 4%), hypertension (4% vs. 2%), hypotension (3% vs. 2%), menstrual complaints (5% vs. 1%), akathisia (2% vs. 1%), impaired sleep quality (4% vs. 2%), sensory disturbance (4% vs. 3%), confusion (8% vs. 5%), decreased libido (3% vs. 2%), hostility (6% vs. 4%), auditory disturbance (5% vs. 3%), and gustatory disturbance (3% vs. 1%).
Seasonal Affective Disorder
In placebo-controlled clinical trials in SAD, 9% of patients treated with bupropion hydrochloride extended-release tablets (XL) and 5% of patients treated with placebo discontinued treatment because of adverse reactions. The adverse reactions leading to discontinuation in at least 1% of patients treated with bupropion and at a rate numerically greater than the placebo rate were insomnia (2% vs. <1%) and headache (1% vs. <1%).
Table 4summarizes the adverse reactions that occurred in patients treated with bupropion hydrochloride extended-release tablets (XL) for up to approximately 6 months in 3 placebo-controlled trials. These include reactions that occurred at an incidence of 2% or more and were more frequent than in the placebo group.
| System Organ Class/ Preferred Term
| Placebo
(n=511) | Bupropion HCl
Extended-Release (n=537) |
| Gastrointestinal Disorder
Dry mouth | 15%
| 26%
|
| Nausea
| 8%
| 13%
|
| Constipation
| 2%
| 9%
|
| Flatulence
| 3%
| 6%
|
| Abdominal pain
| <1%
| 2%
|
| Nervous System Disorders
Headache | 26%
| 34%
|
| Dizziness
| 5%
| 6%
|
| Tremor
| <1%
| 3%
|
| Infections and Infestations
Nasopharyngitis | 12%
| 13%
|
| Upper respiratory tract infection
| 8%
| 9%
|
| Sinusitis
| 4%
| 5%
|
| Psychiatric Disorders
Insomnia | 13%
| 20%
|
| Anxiety
| 5%
| 7%
|
| Abnormal dreams
| 2%
| 3%
|
| Agitation
| <1%
| 2%
|
| Musculoskeletal and Connective
Tissue Disorders Myalgia | 2%
| 3%
|
| Pain in extremity
| 2%
| 3%
|
| Respiratory, Thoracic, and
Mediastinal Disorders Cough | 3%
| 4%
|
| General Disorders and Administration Site Conditions
Feeling jittery | 2%
| 3%
|
| Skin and Subcutaneous Tissue
Disorders Rash | 2%
| 3%
|
| Metabolism and Nutrition
Disorders Decreased appetite | 1%
| 4%
|
| Reproductive System and Breast
Disorders Dysmenorrhea | <1%
| 2%
|
| Ear and Labyrinth Disorders
Tinnitus | <1%
| 3%
|
| Vascular Disorders
Hypertension | 0%
| 2%
|
Table 5presents the incidence of body weight changes (≥5 lbs) in the short-term MDD trials using bupropion HCl sustained-release. There was a dose-related decrease in body weight.
| Weight Change
| Bupropion HCl
Sustained-Release 300 mg/day (n=339) | Bupropion HCl
Sustained-Release 400 mg/day (n=112) |
Placebo (n=347) |
| Gained >5 lbs
| 3%
| 2%
| 4%
|
| Lost >5 lbs
| 14%
| 19%
| 6%
|
Table 6presents the incidence of body weight changes (≥5 lbs) in the 3 SAD trials using bupropion HCl extended-release. A higher proportion of subjects in the bupropion group (23%) had a weight loss ≥5 lbs, compared to the placebo group (11%). These were relatively long-term trials (up to 6 months).
| Weight Change
| Bupropion HCl Extended-release
150 to 300 mg/day (n=537) |
Placebo (n=511) |
| Gained >5 lbs
| 11%
| 21%
|
| Lost >5 lbs
| 23%
| 11%
|
The following adverse reactions have been identified during post-approval use of bupropion hydrochloride extended-release tablets (XL). Because these reactions are reported voluntarily from a population of uncertain size, it is not always possible to reliably estimate their frequency or establish a causal relationship to drug exposure.
Body (General)
Chills, facial edema, edema, peripheral edema, musculoskeletal chest pain, photosensitivity, and malaise.
Cardiovascular
Postural hypotension, hypertension, stroke, vasodilation, syncope, complete atrioventricular block, extrasystoles, myocardial infarction, phlebitis, pulmonary embolism, and Brugada pattern/syndrome.
Digestive
Abnormal liver function, bruxism, gastric reflux, gingivitis, glossitis, increased salivation, jaundice, mouth ulcers, stomatitis, thirst, edema of tongue, colitis, esophagitis, gastrointestinal hemorrhage, gum hemorrhage, hepatitis, intestinal perforation, liver damage, pancreatitis, and stomach ulcer.
Endocrine
Hyperglycemia, hypoglycemia, and syndrome of inappropriate antidiuretic hormone secretion.
Hemic and Lymphatic
Ecchymosis, anemia, leukocytosis, leukopenia, lymphadenopathy, pancytopenia, and thrombocytopenia. Altered PT and/or INR, associated with hemorrhagic or thrombotic complications, were observed when bupropion was coadministered with warfarin.
Metabolic and Nutritional
Glycosuria.
Musculoskeletal
Leg cramps, fever/rhabdomyolysis, and muscle weakness.
Nervous System
Abnormal coordination, depersonalization, emotional lability, hyperkinesia, hypertonia, hypesthesia, vertigo, amnesia, ataxia, derealization, abnormal electroencephalogram (EEG), aggression, akinesia, aphasia, coma, dysarthria, dyskinesia, dystonia, euphoria, extrapyramidal syndrome, hypokinesia, increased libido, neuralgia, neuropathy, paranoid ideation, restlessness, suicide attempt, unmasking tardive dyskinesia and aseptic meningitis.
Respiratory
Bronchospasm and pneumonia.
Skin and Subcutaneous Tissue Disorders
Maculopapular rash, alopecia, angioedema, exfoliative dermatitis, hirsutism, acute generalized exanthematous pustulosis, and drug reaction with eosinophilias and systemic symptoms (DRESS).
Special Senses
Accommodation abnormality, dry eye, deafness, increased intraocular pressure, angle-closure glaucoma, and mydriasis.
Urogenital
Impotence, polyuria, prostate disorder, abnormal ejaculation, cystitis, dyspareunia, dysuria, gynecomastia, menopause, painful erection, salpingitis, urinary incontinence, urinary retention, and vaginitis.
Bupropion is primarily metabolized to hydroxybupropion by CYP2B6. Therefore, the potential exists for drug interactions between bupropion hydrochloride extended-release tablets (XL) and drugs that are inhibitors or inducers of CYP2B6.
Inhibitors of CYP2B6
Ticlopidine and Clopidogrel:Concomitant treatment with these drugs can increase bupropion exposures but decrease hydroxybupropion exposure. Based on clinical response, dosage adjustment of bupropion hydrochloride extended-release tablets (XL) may be necessary when coadministered with CYP2B6 inhibitors (e.g., ticlopidine or clopidogrel) [see CLINICAL PHARMACOLOGY ( 12.3)].
Inducers of CYP2B6
Ritonavir, Lopinavir, and Efavirenz:Concomitant treatment with these drugs can decrease bupropion and hydroxybupropion exposure. Dosage increase of bupropion hydrochloride extended-release tablets (XL) may be necessary when coadministered with ritonavir, lopinavir, or efavirenz but should not exceed the maximum recommended dose [see CLINICAL PHARMACOLOGY ( 12.3)].
Carbamazepine, Phenobarbital, Phenytoin:While not systemically studied, these drugs may induce metabolism of bupropion and may decrease bupropion exposure [see CLINICAL PHARMACOLOGY ( 12.3)]. If bupropion is used concomitantly with a CYP inducer, it may be necessary to increase the dose of bupropion, but the maximum recommended dose should not be exceeded.
Bupropion and its metabolites (erythrohydrobupropion, threohydrobupropion, hydroxybupropion) are CYP2D6 inhibitors. Therefore, coadministration of bupropion hydrochloride extended-release tablets (XL) with drugs that are metabolized by CYP2D6 can increase the exposures of drugs that are substrates of CYP2D6. Such drugs include certain antidepressants (e.g., venlafaxine, nortriptyline, imipramine, desipramine, paroxetine, fluoxetine, and sertraline), antipsychotics (e.g., haloperidol, risperidone, and thioridazine), beta-blockers (e.g., metoprolol), and Type 1C antiarrhythmics (e.g., propafenone, and flecainide). When used concomitantly with bupropion hydrochloride extended-release tablets (XL), it may be necessary to decrease the dose of these CYP2D6 substrates, particularly for drugs with a narrow therapeutic index.
Drugs that require metabolic activation by CYP2D6 to be effective (e.g., tamoxifen), theoretically could have reduced efficacy when administered concomitantly with inhibitors of CYP2D6 such as bupropion. Patients treated concomitantly with bupropion hydrochloride extended-release tablets (XL) and such drugs may require increased doses of the drug [see CLINICAL PHARMACOLOGY ( 12.3)].
Use extreme caution when coadministering bupropion hydrochloride extended-release tablets (XL) with other drugs that lower the seizure threshold (e.g., other bupropion products, antipsychotics, antidepressants, theophylline, or systemic corticosteroids). Use low initial doses of bupropion hydrochloride extended-release tablets (XL) and increase the dose gradually [see WARNINGS AND PRECAUTIONS ( 5.3)].
Bupropion, levodopa, and amantadine have dopamine agonist effects. CNS toxicity has been reported when bupropion was coadministered with levodopa or amantadine. Adverse reactions have included restlessness, agitation, tremor, ataxia, gait disturbance, vertigo, and dizziness. It is presumed that the toxicity results from cumulative dopamine agonist effects. Use caution when administering bupropion hydrochloride extended-release tablets (XL) concomitantly with these drugs.
In postmarketing experience, there have been rare reports of adverse neuropsychiatric events or reduced alcohol tolerance in patients who were drinking alcohol during treatment with bupropion hydrochloride extended-release tablets (XL). The consumption of alcohol during treatment with bupropion hydrochloride extended-release tablets (XL) should be minimized or avoided.
Bupropion inhibits the reuptake of dopamine and norepinephrine. Concomitant use of MAOIs and bupropion is contraindicated because there is an increased risk of hypertensive reactions if bupropion is used concomitantly with MAOIs. Studies in animals demonstrate that the acute toxicity of bupropion is enhanced by the MAO inhibitor phenelzine. At least 14 days should elapse between discontinuation of an MAOI intended to treat depression and initiation of treatment with bupropion hydrochloride extended-release tablets (XL). Conversely, at least 14 days should be allowed after stopping bupropion hydrochloride extended-release tablets (XL) before starting an MAOI antidepressant [see DOSAGE AND ADMINISTRATION ( 2.8, 2.9) and CONTRAINDICATIONS ( 4)].
False-positive urine immunoassay screening tests for amphetamines have been reported in patients taking bupropion. This is due to lack of specificity of some screening tests. False-positive test results may result even following discontinuation of bupropion therapy. Confirmatory tests, such as gas chromatography/mass spectrometry, will distinguish bupropion from amphetamines.
There is a pregnancy exposure registry that monitors pregnancy outcomes in women exposed to antidepressants during pregnancy. Healthcare providers are encouraged to register patients by calling the National Pregnancy Registry for Antidepressants at 1-844-405-6185 or visiting online at https://womensmentalhealth.org/clinical-and-researchprograms/pregnancyregistry/antidepressants/.
Risk Summary
Data from epidemiological studies of pregnant women exposed to bupropion in the first trimester have not identified an increased risk of congenital malformations overall (see Data).There are risks to the mother associated with untreated depression (see Clinical Considerations).When bupropion was administered to pregnant rats during organogenesis, there was no evidence of fetal malformations at doses up to approximately 10 times the maximum recommended human dose (MRHD) of 450 mg/day. When given to pregnant rabbits during organogenesis, non-dose-related increases in incidence of fetal malformations and skeletal variations were observed at doses approximately equal to the MRHD and greater. Decreased fetal weights were seen at doses twice the MRHD and greater (see Animal Data).
The estimated background risk for major birth defects and miscarriage are unknown for the indicated population. All pregnancies have a background rate of birth defect, loss, or other adverse outcomes. In the U.S. general population, the estimated background risk of major birth defects and miscarriage in clinically recognized pregnancies is 2% to 4% and 15% to 20%, respectively.
Clinical Considerations
Disease- Associated Maternal and/or Embryo/Fetal Risk:
A prospective, longitudinal study followed 201 pregnant women with a history of major depressive disorder who were euthymic and taking antidepressants during pregnancy at the beginning of pregnancy. The women who discontinued antidepressants during pregnancy were more likely to experience a relapse of major depression than women who continued antidepressants. Consider the risks to the mother of untreated depression and potential effects on the fetus when discontinuing or changing treatment with antidepressant medications during pregnancy and postpartum.
Data
Human Data:
Data from the international bupropion Pregnancy Registry (675 first trimester exposures) and a retrospective cohort study using the United Healthcare database (1,213 first trimester exposures) did not show an increased risk for malformations overall. The Registry was not designed or powered to evaluate specific defects but suggested a possible increase in cardiac malformations.
No increased risk for cardiovascular malformations overall has been observed after bupropion exposure during the first trimester. The prospectively observed rate of cardiovascular malformations in pregnancies with exposure to bupropion in the first trimester from the international Pregnancy Registry was 1.3% (9 cardiovascular malformations/675 first-trimester maternal bupropion exposures), which is similar to the background rate of cardiovascular malformations (approximately 1%). Data from the United Healthcare database, which has a limited number of exposed cases with cardiovascular malformations, and a case-controlled study (6,853 infants with cardiovascular malformations and 5,753 with non-cardiovascular malformations) from the National Birth Defects Prevention Study (NBDPS) did not show an increased risk for cardiovascular malformations overall after bupropion exposure during the first trimester.
Study findings on bupropion exposure during the first trimester and risk left ventricular outflow tract obstruction (LVOTO) are inconsistent and do not allow conclusions regarding possible association. The United Healthcare database lacked sufficient power to evaluate this association; the NBDPS found increased risk for LVOTO (n = 10; adjusted odds ratio (OR) = 2.6; 95% CI 1.2, 5.7), and the Slone Epidemiology case control study did not find increased risk for LVOTO.
Study findings on bupropion exposure during the first trimester and risk for ventricular septal defect (VSD) are inconsistent and do not allow conclusions regarding a possible association. The Slone Epidemiology Study found an increased risk for VSD following first trimester maternal bupropion exposure (n = 17; adjusted OR = 2.5; 95% CI: 1.3, 5.0) but did not find an increased risk for any other cardiovascular malformations studied (including LVOTO as above). The NBDPS and United Healthcare database study did not find an association between first trimester maternal bupropion exposure and VSD.
For the findings of LVOTO and VSD, the studies were limited by the small number of exposed cases, inconsistent findings among studies, and the potential for chance findings from multiple comparisons in case control studies.
Animal Data
In studies conducted in pregnant rats and rabbits, bupropion was administered orally during the period of organogenesis at doses of up to 450 and 150 mg/kg/day, respectively (approximately 10 and 6 times the MRHD, respectively, on a mg/m 2basis). There was no evidence of fetal malformations in rats. When given to pregnant rabbits during organogenesis, nondose-related increases in incidence of fetal malformations and skeletal variations were observed at the lowest dose tested (25 mg/kg/day, approximately equal to the MRHD on a mg/m 2basis) and greater. Decreased fetal weights were observed at doses of 50 mg/kg/day (approximately 2 times the MRHD on a mg/m 2basis) and greater. No maternal toxicity was evident at doses of 50 mg/kg/day or less.
In a pre-and postnatal development study, bupropion administered orally to pregnant rats at doses of up to 150 mg/kg/day (approximately 3 times the MRHD on a mg/m 2basis) from embryonic implantation through lactation had no effect on pup growth or development.
Data from published literature report the presence of bupropion and its metabolites in human milk (see Data).There are no data on the effects of bupropion or its metabolites on milk production. Limited data from postmarketing reports have not identified a clear association of adverse reactions in the breastfed infant. The developmental and health benefits of breastfeeding should be considered along with the mother's clinical need for bupropion hydrochloride extended-release tablets (XL) and any potential adverse effects on the breastfed child from bupropion hydrochloride extended-release tablets (XL) or from the underlying maternal condition.
Data
In a lactation study of ten women, levels of orally dosed bupropion and its active metabolites were measured in expressed milk. The average daily infant exposure (assuming 150 mL/kg daily consumption) to bupropion and its active metabolites was 2% of the maternal weight-adjusted dose. Postmarketing reports have described seizures in breastfed infants. The relationship of bupropion exposure and these seizures is unclear.
Safety and effectiveness in the pediatric population have not been established. When considering the use of bupropion hydrochloride extended-release tablets (XL) in a child or adolescent, balance the potential risks with the clinical need [see BOXED WARNINGand WARNINGS AND PRECAUTIONS ( 5.1)].
Of the approximately 6000 patients who participated in clinical trials with bupropion hydrochloride sustained-release tablets (depression and smoking cessation studies), 275 were ≥65 years old and 47 were ≥75 years old. In addition, several hundred patients ≥65 years of age participated in clinical trials using the immediate-release formulation of bupropion hydrochloride (depression studies). No overall differences in safety or effectiveness were observed between these subjects and younger subjects. Reported clinical experience has not identified differences in responses between the elderly and younger patients, but greater sensitivity of some older individuals cannot be ruled out.
Bupropion is extensively metabolized in the liver to active metabolites, which are further metabolized and excreted by the kidneys. The risk of adverse reactions may be greater in patients with impaired renal function. Because elderly patients are more likely to have decreased renal function, it may be necessary to consider this factor in dose selection; it may be useful to monitor renal function [see DOSAGE AND ADMINISTRATION ( 2.7), USE IN SPECIFIC POPULATIONS ( 8.6), and CLINICAL PHARMACOLOGY ( 12.3)].
Consider a reduced dose and/or dosing frequency of bupropion hydrochloride extended-release tablets (XL) in patients with renal impairment (glomerular filtration rate: <90 mL/min). Bupropion and its metabolites are cleared renally and may accumulate in such patients to a greater extent than usual. Monitor closely for adverse reactions that could indicate high bupropion or metabolite exposures [see DOSAGE AND ADMINISTRATION ( 2.7) and CLINICAL PHARMACOLOGY ( 12.3)].
In patients with moderate to severe hepatic impairment (Child-Pugh score: 7 to 15), the maximum bupropion hydrochloride extended-release tablets (XL) dose is 150 mg every other day. In patients with mild hepatic impairment (Child-Pugh score: 5 to 6), consider reducing the dose and/or frequency of dosing [see DOSAGE AND ADMINISTRATION ( 2.6) and CLINICAL PHARMACOLOGY ( 12.3)].
Controlled clinical studies of bupropion HCl immediate-release conducted in normal volunteers, in subjects with a history of multiple drug abuse, and in depressed patients demonstrated an increase in motor activity and agitation/excitement.
In a population of individuals experienced with drugs of abuse, a single dose of 400 mg bupropion produced mild amphetamine-like activity as compared to placebo on the Morphine-Benzedrine Subscale of the Addiction Research Center Inventories (ARCI), and a score intermediate between placebo and amphetamine on the Liking Scale of the ARCI. These scales measure general feelings of euphoria and drug desirability.
Findings in clinical trials, however, are not known to reliably predict the abuse potential of drugs. Nonetheless, evidence from single-dose studies does suggest that the recommended daily dosage of bupropion when administered in divided doses is not likely to be significantly reinforcing to amphetamine or CNS stimulant abusers. However, higher doses (that could not be tested because of the risk of seizure) might be modestly attractive to those who abuse CNS stimulant drugs.
Bupropion hydrochloride extended-release tablets are intended for oral use only. The inhalation of crushed tablets or injection of dissolved bupropion has been reported. Seizures and/or cases of death have been reported when bupropion has been administered intranasally or by parenteral injection.
Animals
Studies in rodents and primates demonstrated that bupropion exhibits some pharmacologic actions common to psychostimulants. In rodents, it has been shown to increase locomotor activity, elicit a mild stereotyped behavioral response, and increase rates of responding in several schedule-controlled behavior paradigms. In primate models assessing the positive reinforcing effects of psychoactive drugs, bupropion was self-administered intravenously. In rats, bupropion produced amphetamine-like and cocaine-like discriminative stimulus effects in drug discrimination paradigms used to characterize the subjective effects of psychoactive drugs.
Overdoses of up to 30 grams or more of bupropion have been reported. Seizure was reported in approximately one third of all cases. Other serious reactions reported with overdoses of bupropion alone included hallucinations, loss of consciousness, sinus tachycardia, ECG changes such as conduction disturbances or arrhythmias, mental status changes,clonus, myoclonus, and hyperreflexia. Fever, muscle rigidity, rhabdomyolysis, hypotension, stupor, coma, and respiratory failure have been reported mainly when bupropion was part of multiple drug overdoses.
Although most patients recovered without sequelae, deaths associated with overdoses of bupropion alone have been reported in patients ingesting large doses of the drug. Multiple uncontrolled seizures, bradycardia, cardiac failure, and cardiac arrest prior to death were reported in these patients.
Consult a Certified Poison Control Center for up-to-date guidance and advice. Call 1-800-222-1222 or refer to www.poison.org.
There are no known antidotes for bupropion. In case of an overdose, provide supportive care, including close medical supervision and monitoring. Consider the possibility of multiple drug overdose.
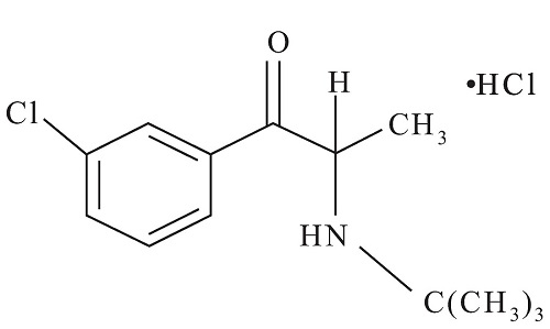
Bupropion hydrochloride, an antidepressant of the aminoketone class, is chemically unrelated to tricyclic, tetracyclic, selective serotonin reuptake inhibitor, or other known antidepressant agents. Its structure closely resembles that of diethylpropion; it is related to phenylethylamines. It is designated as (±)-1-(3-chorophenyl)-2-[(1,1-dimethylethyl)amino]-1 propanone hydrochloride. The molecular weight is 276.21. The molecular formula is C 13H 18ClNOHCl. Bupropion hydrochloride powder is white and soluble in water. It has a bitter taste and produces the sensation of local anesthesia on the oral mucosa. The structural formula is:

Bupropion hydrochloride extended-release tablet USP (XL) is supplied for oral administration as 150 mg and 300 mg, off-white to pale yellow extended-release tablets. Each tablet contains the labeled amount of bupropion hydrochloride and the inactive ingredients: ammonium hydroxide, colloidal silicon dioxide, dibutyl sebacate, ethylcellulose, glyceryl behenate, hydrophobic colloidal silica, hydroxypropyl cellulose, iron oxide black, L-cysteine hydrochloride monohydrate, methacrylic acid copolymer dispersion, polyvinyl alcohol, povidone, propylene glycol, shellac and triethyl citrate. The tablets are printed with edible black ink.
The insoluble shell of the extended-release tablet may remain intact during gastrointestinal transit and is eliminated in the feces.
The Drug Product Meets USP Dissolution Test 20.
The mechanism of action of bupropion is unknown, as is the case with other antidepressants. However, it is presumed that this action is mediated by noradrenergic and/or dopaminergic mechanisms. Bupropion is a relatively weak inhibitor of the neuronal uptake of norepinephrine and dopamine and does not inhibit monoamine oxidase or the reuptake of serotonin.
Bupropion is a racemic mixture. The pharmacologic activity and pharmacokinetics of the individual enantiomers have not been studied.
Following chronic dosing, the mean steady-state plasma concentration of bupropion was reached within 8 days. The mean elimination half-life (±SD) of bupropion is 21 (±9) hours.
In a study comparing 14-day dosing with bupropion hydrochloride extended-release tablets (XL), 300 mg once-daily to the immediate-release formulation of bupropion at 100 mg 3 times daily, equivalence was demonstrated for peak plasma concentration and area under the curve for bupropion and the three metabolites (hydroxybupropion, threohydrobupropion, and erythrohydrobupropion). Additionally, in a study comparing 14-day dosing with bupropion hydrochloride extended-release tablets (XL), 300 mg once daily to the sustained-release formulation of bupropion at 150 mg 2 times daily, equivalence was demonstrated for peak plasma concentration and area under the curve for bupropion and the three metabolites.
Absorption
Following single oral administration of bupropion hydrochloride extended-release tablets (XL) to healthy volunteers, the median time to peak plasma concentrations for bupropion was approximately 5 hours. The presence of food did not affect the peak concentration or area under the curve of bupropion.
Distribution
In vitrotests show that bupropion is 84% bound to human plasma proteins at concentrations up to 200 mcg/mL. The extent of protein binding of the hydroxybupropion metabolite is similar to that for bupropion, whereas the extent of protein binding of the threohydrobupropion metabolite is about half that of bupropion.
Metabolism
Bupropion is extensively metabolized in humans. Three metabolites are active: hydroxybupropion, which is formed via hydroxylation of the tert-butyl group of bupropion, and the amino-alcohol isomers threohydrobupropion and erythrohydrobupropion, which are formed via reduction of the carbonyl group. In vitrofindings suggest that CYP2B6 is the principal isoenzyme involved in the formation of hydroxybupropion, while cytochrome P450 enzymes are not involved in the formation of threohydrobupropion. Oxidation of the bupropion side chain results in the formation of a glycine conjugate of meta-chlorobenzoic acid, which is then excreted as the major urinary metabolite. The potency and toxicity of the metabolites relative to bupropion have not been fully characterized. However, it has been demonstrated in an antidepressant screening test in mice that hydroxybupropion is one half as potent as bupropion, while threohydrobupropion and erythrohydrobupropion are 5-fold less potent than bupropion. This may be of clinical importance, because the plasma concentrations of the metabolites are as high or higher than those of bupropion.
At steady state, peak plasma concentration of hydroxybupropion occurred approximately 7 hours after administration of bupropion hydrochloride extended-release tablets (XL), and it was approximately 7 times the peak level of the parent drug. The elimination half-life of hydroxybupropion is approximately 20 (±5) hours, and its AUC at steady state is about 13 times that of bupropion. The times to peak concentrations for the erythrohydrobupropion and threohydrobupropion metabolites are similar to that of hydroxybupropion. However, the elimination half-lives of erythrohydrobupropion and threohydrobupropion are longer, approximately 33 (±10) and 37 (±13) hours, respectively, and steady-state AUCs were 1.4 and 7 times that of bupropion, respectively.
Bupropion and its metabolites exhibit linear kinetics following chronic administration of 300 to 450 mg/day.
Elimination
Following oral administration of 200 mg of 14C-bupropion in humans, 87% and 10% of the radioactive dose were recovered in the urine and feces, respectively. Only 0.5% of the oral dose was excreted as unchanged bupropion.
Population Subgroups
Factors or conditions altering metabolic capacity (e.g., liver disease, congestive heart failure [CHF], age, concomitant medications, etc.) or elimination may be expected to influence the degree and extent of accumulation of the active metabolites of bupropion. The elimination of the major metabolites of bupropion may be affected by reduced renal or hepatic function, because they are moderately polar compounds and are likely to undergo further metabolism or conjugation in the liver prior to urinary excretion.
Renal Impairment:
There is limited information on the pharmacokinetics of bupropion in patients with renal impairment. An inter-trial comparison between normal subjects and subjects with end-stage renal failure demonstrated that the parent drug C maxand AUC values were comparable in the 2 groups, whereas the hydroxybupropion and threohydrobupropion metabolites had a 2.3- and 2.8-fold increase, respectively, in AUC for subjects with end-stage renal failure. A second study, comparing normal subjects and subjects with moderate-to-severe renal impairment (GFR 30.9 ± 10.8 mL/min) showed that after a single 150 mg dose of sustained-release bupropion, exposure to bupropion was approximately 2-fold higher in subjects with impaired renal function, while levels of the hydroxybupropion and threo/erythrohydrobupropion (combined) metabolites were similar in the 2 groups. Bupropion is extensively metabolized in the liver to active metabolites, which are further metabolized and subsequently excreted by the kidneys. The elimination of the major metabolites of bupropion may be reduced by impaired renal function. Bupropion hydrochloride extended-release tablets (XL) should be used with caution in patients with renal impairment, and a reduced frequency and/or dose should be considered [see DOSAGE AND ADMINISTRATION ( 2.7) and USE IN SPECIFIC POPULATIONS ( 8.6)].
Hepatic Impairment:
The effect of hepatic impairment on the pharmacokinetics of bupropion was characterized in 2 single-dose trials, one in subjects with alcoholic liver disease and one in subjects with mild to severe cirrhosis. The first trial demonstrated that the half-life of hydroxybupropion was significantly longer in 8 subjects with alcoholic liver disease than in 8 healthy volunteers (32±14 hours versus 21±5 hours, respectively). Although not statistically significant, the AUCs for bupropion and hydroxybupropion were more variable and tended to be greater (by 53% to 57%) in patients with alcoholic liver disease. The differences in half-life for bupropion and the other metabolites in the 2 groups were minimal.
The second trial demonstrated no statistically significant differences in the pharmacokinetics of bupropion and its active metabolites in 9 subjects with mild to moderate hepatic cirrhosis compared to 8 healthy volunteers. However, more variability was observed in some of the pharmacokinetic parameters for bupropion (AUC, C max, and T max) and its active metabolites (t 1/2) in subjects with mild to moderate hepatic cirrhosis. In addition, in patients with severe hepatic cirrhosis, the bupropion C maxand AUC were substantially increased (mean difference: by approximately 70% and 3-fold, respectively) and more variable when compared to values in healthy volunteers; the mean bupropion half-life was also longer (29 hours in subjects with severe hepatic cirrhosis vs. 19 hours in healthy subjects). For the metabolite hydroxybupropion, the mean C maxwas approximately 69% lower. For the combined amino-alcohol isomers threohydrobupropion and erythrohydrobupropion, the mean C maxwas approximately 31% lower. The mean AUC increased by about 1½-fold for hydroxybupropion and about 2½-fold for threo/erythrohydrobupropion. The median T maxwas observed 19 hours later for hydroxybupropion and 31 hours later for threo/erythrohydrobupropion. The mean half-lives for hydroxybupropion and threo/erythrohydrobupropion were increased 5- and 2-fold, respectively, in patients with severe hepatic cirrhosis compared to healthy volunteers [see DOSAGE AND ADMINISTRATION ( 2.6) and USE IN SPECIFIC POPULATIONS ( 8.7)].
Left Ventricular Dysfunction:
During a chronic dosing study with bupropion in 14 depressed patients with left ventricular dysfunction (history of CHF or an enlarged heart on x-ray), there was no apparent effect on the pharmacokinetics of bupropion or its metabolites, compared to healthy volunteers.
Age:
The effects of age on the pharmacokinetics of bupropion and its metabolites have not been fully characterized, but an exploration of steady-state bupropion concentrations from several depression efficacy studies involving patients dosed in a range of 300 to 750 mg/day, on a 3 times daily schedule, revealed no relationship between age (18 to 83 years) and plasma concentration of bupropion. A single-dose pharmacokinetic study demonstrated that the disposition of bupropion and its metabolites in elderly subjects was similar to that in younger subjects. These data suggest that there is no prominent effect of age on bupropion concentration; however, another single- and multiple-dose pharmacokinetic study suggested that the elderly are at increased risk for accumulation of bupropion and its metabolites [see USE IN SPECIFIC POPULATIONS ( 8.5)].
Gender:
A single-dose study involving 12 healthy male and 12 healthy female volunteers revealed no sex-related differences in the pharmacokinetic parameters of bupropion. In addition, pooled analysis of bupropion pharmacokinetic data from 90 healthy male and 90 healthy female volunteers revealed no sex-related differences in the peak plasma concentrations of bupropion. The mean systemic exposure (AUC) was approximately 13% higher in male volunteers compared to female volunteers.
Smokers:
The effects of cigarette smoking on the pharmacokinetics of bupropion hydrochloride were studied in 34 healthy male and female volunteers; 17 were chronic cigarette smokers and 17 were nonsmokers. Following oral administration of a single 150 mg dose of bupropion, there was no statistically significant difference in C max, half-life, T max, AUC, or clearance of bupropion or its active metabolites between smokers and nonsmokers.
Drug Interactions
Potential for Other Drugs to Affect Bupropion Hydrochloride Extended-release Tablets (XL)
In vitrostudies indicate that bupropion is primarily metabolized to hydroxybupropion by CYP2B6. Therefore, the potential exists for drug interactions between bupropion hydrochloride extended-release tablets (XL) and drugs that are inhibitors or inducers of CYP2B6. In addition, in vitrostudies suggest that paroxetine, sertraline, norfluoxetine, fluvoxamine, and nelfinavir inhibit the hydroxylation of bupropion.
Inhibitors of CYP2B6:
Ticlopidine and Clopidogrel:In a study in healthy male volunteers, clopidogrel 75 mg once daily or ticlopidine 250 mg twice daily increased exposures (C maxand AUC) of bupropion by 40% and 60% for clopidogrel, by 38% and 85% for ticlopidine, respectively. The exposures of hydroxybupropion were decreased.
Prasugrel:In healthy subjects, prasugrel increased bupropion C maxand AUC values by 14% and 18%, respectively, and decreased C maxand AUC values of hydroxybupropion by 32% and 24%, respectively.
Cimetidine:Following oral administration of bupropion 300 mg with and without cimetidine 800 mg in 24 healthy young male volunteers, the pharmacokinetics of bupropion and hydroxybupropion were unaffected. However, there were 16% and 32% increases in the AUC and C max, respectively, of the combined moieties of threohydrobupropion and erythrohydrobupropion.
Citalopram:Citalopram did not affect the pharmacokinetics of bupropion and its three metabolites.
Inducers of CYP2B6:
Ritonavir and Lopinavir:In a healthy volunteer study, ritonavir 100 mg twice daily reduced the AUC and C maxof bupropion by 22% and 21%, respectively. The exposure of the hydroxybupropion metabolite was decreased by 23%, the threohydrobupropion decreased by 38%, and the erythrohydrobupropion decreased by 48%. In a second healthy volunteer study, ritonavir 600 mg twice daily decreased the AUC and C maxof bupropion by 66% and 62%, respectively. The exposure of the hydroxybupropion metabolite was decreased by 78%, the threohydrobupropion decreased by 50%, and the erythrohydrobupropion decreased by 68%.
In another healthy volunteer study, lopinavir 400 mg/ritonavir 100 mg twice daily decreased bupropion AUC and C maxby 57%. The AUC and C maxof hydroxybupropion metabolite were decreased by 50% and 31%, respectively.
Efavirenz:In a study of healthy volunteers, efavirenz 600 mg once daily for 2 weeks reduced the AUC and C maxof bupropion by approximately 55% and 34%, respectively. The AUC of hydroxybupropion was unchanged, whereas C maxof hydroxybupropion was increased by 50%.
Carbamazepine, Phenobarbital, Phenytoin:While not systematically studied, these drugs may induce the metabolism of bupropion.
Potential for Bupropion Hydrochloride Extended-release Tablets (XL) to Affect Other Drugs
Animal data indicated that bupropion may be an inducer of drug-metabolizing enzymes in humans. In a study of 8 healthy male volunteers, following a 14-day administration of bupropion 100 mg three times per day, there was no evidence of induction of its own metabolism. Nevertheless, there may be the potential for clinically important alterations of blood levels of coadministered drugs.
Drugs Metabolized by CYP2D6:
In vitro,bupropion and hydroxybupropion are CYP2D6 inhibitors. In a clinical study of 15 male subjects (ages 19 to 35 years) who were extensive metabolizers of CYP2D6, bupropion given as 150 mg twice daily followed by a single dose of 50 mg desipramine increased the C max, AUC, and T ½of desipramine by an average of approximately 2-, 5-, and 2-fold, respectively. The effect was present for at least 7 days after the last dose of bupropion. Concomitant use of bupropion with other drugs metabolized by CYP2D6 has not been formally studied.
Citalopram:Although citalopram is not primarily metabolized by CYP2D6, in one study bupropion increased the C maxand AUC of citalopram by 30% and 40%, respectively.
Lamotrigine:Multiple oral doses of bupropion had no statistically significant effects on the single-dose pharmacokinetics of lamotrigine in 12 healthy volunteers.
Lifetime carcinogenicity studies were performed in rats and mice at doses up to 300 and 150 mg/kg/day bupropion hydrochloride, respectively. These doses are approximately 7 and 2 times the maximum recommended human dose (MRHD), respectively, on a mg/m 2basis. In the rat study there was an increase in nodular proliferative lesions of the liver at doses of 100 to 300 mg/kg/day of bupropion hydrochloride (approximately 2 to 7 times the MRHD on a mg/m 2basis); lower doses were not tested. The question of whether or not such lesions may be precursors of neoplasms of the liver is currently unresolved. Similar liver lesions were not seen in the mouse study, and no increase in malignant tumors of the liver and other organs was seen in either study.
Bupropion produced a positive response (2 to 3 times control mutation rate) in 2 of 5 strains in one Ames bacterial mutagenicity assay, but was negative in another. Bupropion produced an increase in chromosomal aberrations in 1 of 3 in vivorat bone marrow cytogenetic studies.
A fertility study in rats at doses up to 300 mg/kg/day revealed no evidence of impaired fertility.
The efficacy of bupropion in the treatment of major depressive disorder was established with the immediate-release formulation of bupropion hydrochloride in two 4-week, placebo-controlled trials in adult inpatients with MDD and in one 6-week, placebo-controlled trial in adult outpatients with MDD. In the first study, the bupropion dose range was 300 mg to 600 mg per day administered in 3 divided doses; 78% of patients were treated with doses of 300 mg to 450 mg per day. The trial demonstrated the efficacy of bupropion as measured by the Hamilton Depression Rating Scale (HAMD) total score, the HAMD depressed mood item (item 1), and the Clinical Global Impressions-Severity Scale (CGI-S). The second study included 2 fixed doses of bupropion (300 mg and 450 mg per day) and placebo. This trial demonstrated the efficacy of bupropion for only the 450 mg dose. The efficacy results were significant for the HAMD total score and the CGI-S severity score, but not for HAMD item 1. In the third study, outpatients were treated with bupropion 300 mg per day. This study demonstrated the efficacy of bupropion as measured by the HAMD total score, the HAMD item 1, the Montgomery-Asberg Depression Rating Scale (MADRS), the CGI-S score, and the CGI-Improvement Scale (CGI-I) score.
A longer-term, placebo-controlled, randomized withdrawal trial demonstrated the efficacy of bupropion HCl sustained-release in the maintenance treatment of MDD. The trial included adult outpatients meeting DSM-IV criteria for MDD, recurrent type, who had responded during an 8-week open-label trial of bupropion 300 mg per day. Responders were randomized to continuation of bupropion 300 mg per day or placebo for up to 44 weeks of observation for relapse. Response during the open-label phase was defined as a CGI-Improvement Scale score of 1 (very much improved) or 2 (much improved) for each of the final 3 weeks. Relapse during the double-blind phase was defined as the investigator's judgment that drug treatment was needed for worsening depressive symptoms. Patients in the bupropion group experienced significantly lower relapse rates over the subsequent 44 weeks compared to those in the placebo group.
Although there are no independent trials demonstrating the efficacy of bupropion hydrochloride extended-release tablets (XL) in the acute treatment of MDD, studies have demonstrated similar bioavailability between the immediate-, sustained-, and extended-release formulations of bupropion HCl under steady-state conditions (i.e., the exposures [C maxand AUC] for bupropion and its metabolites are similar among the 3 formulations).
The efficacy of bupropion hydrochloride extended-release tablets (XL) in the prevention of seasonal major depressive episodes associated with SAD was established in 3 randomized, double-blind, placebo-controlled trials in adult outpatients with a history of MDD with an autumn-winter seasonal pattern (as defined by DSM-IV criteria). Bupropion treatment was initiated prior to the onset of symptoms in the autumn (September to November). Treatment was discontinued following a 2 week taper that began during the first week of spring (fourth week of March), resulting in a treatment duration of approximately 4 to 6 months for the majority of patients. Patients were randomized to treatment with bupropion hydrochloride extended-release tablets (XL) or placebo. The initial bupropion dose was 150 mg once daily for 1 week, followed by up-titration to 300 mg once daily. Patients who were deemed by the investigator to be unlikely or unable to tolerate 300 mg once daily were allowed to remain on, or had their dose reduced to, 150 mg once daily. The mean bupropion doses in the 3 trials ranged from 257 mg to 280 mg per day. Approximately 59% of patients continued in the study for 3 to 6 months; 26% continued for <3 months, 15% continued for >6 months.
To enter the trials, patients must have had a low level of depressive symptoms, as demonstrated by a score of <7 on the Hamilton Depression Rating Scale-17 (HAMD17) and a HAMD24 score of <14. The primary efficacy measure was the Structured Interview Guide for the Hamilton Depression Rating Scale, Seasonal Affective Disorders (SIGH-SAD), which is identical to the HAMD24. The SIGH-SAD consists of the HAMD17 plus 7 items specifically assessing core symptoms of seasonal affective disorder: social withdrawal, weight gain, increased appetite, increased eating, carbohydrate craving, hypersomnia, and fatigability. The primary efficacy endpoint was the onset of a seasonal major depressive episode. The criteria for defining an episode included: 1) the investigator's judgment that a major depressive episode had occurred or that the patient required intervention for depressive symptoms, or 2) a SIGH-SAD score of >20 on 2 consecutive weeks. The primary analysis was a comparison of depression-free rates between the bupropion and placebo groups.
In these 3 trials, the percentage of patients who were depression-free (did not have an episode of MDD) at the end of treatment was significantly higher in the bupropion group than in the placebo group: 81.4% vs. 69.7%, 87.2% vs. 78.7%, and 84.0% vs. 69.0% for Trials 1, 2 and 3, respectively. For the 3 trials combined, the depression-free rate was 84.3% versus 72.0% in the bupropion and placebo group, respectively.
| Caption: NDC | Strength | Quantity | Description |
| 68071-3932-3 | 150 mg | Bottles of 30's | off-white to pale yellow, round, biconvex, coated tablets imprinted with "L015" in black ink on one side and plain on the other side |
Store at 25°C (77°F); excursions permitted to 15° to 30°C (59° to 86°F) [see USP Controlled Room Temperature].
Bupropion hydrochloride extended-release tablets USP (XL) may have an odor.
Advise the patient to read the FDA-approved patient labeling (Medication Guide).
Inform patients, their families, and their caregivers about the benefits and risks associated with treatment with bupropion hydrochloride extended-release tablets (XL) and counsel them in its appropriate use.
A patient Medication Guide about "Antidepressant Medicines, Depression and Other Serious Mental Illnesses, and Suicidal Thoughts or Actions," "Quitting Smoking, Quit-Smoking Medications, Changes in Thinking and Behavior, Depression, and Suicidal Thoughts or Actions," and "What Other Important Information Should I Know About bupropion hydrochloride extended-release tablets (XL)?" are available for bupropion hydrochloride extended-release tablets (XL). Instruct patients, their families, and their caregivers to read the Medication Guide and assist them in understanding its contents. Patients should be given the opportunity to discuss the contents of the Medication Guide and to obtain answers to any questions they may have. The complete text of the Medication Guide is reprinted at the end of this document.
Advise patients regarding the following issues and to alert their prescriber if these occur while taking bupropion hydrochloride extended-release tablets (XL).
Suicidal Thoughts and Behaviors
Instruct patients, their families, and/or their caregivers to be alert to the emergence of anxiety, agitation, panic attacks, insomnia, irritability, hostility, aggressiveness, impulsivity, akathisia (psychomotor restlessness), hypomania, mania, other unusual changes in behavior, worsening of depression, and suicidal ideation, especially early during antidepressant treatment and when the dose is adjusted up or down. Advise families and caregivers of patients to observe for the emergence of such symptoms on a day-to-day basis, since changes may be abrupt. Such symptoms should be reported to the patient's prescriber or health professional, especially if they are severe, abrupt in onset, or were not part of the patient's presenting symptoms. Symptoms such as these may be associated with an increased risk for suicidal thinking and behavior and indicate a need for very close monitoring and possibly changes in the medication.
Neuropsychiatric Adverse Events and Suicide Risk in Smoking Cessation Treatment
Although bupropion hydrochloride extended-release tablets (XL) are not indicated for smoking cessation treatment, it contains the same active ingredient as ZYBAN ®which is approved for this use. Inform patients that some patients have experienced changes in mood (including depression and mania), psychosis, hallucinations, paranoia, delusions, homicidal ideation, aggression, hostility, agitation, anxiety, and panic, as well as suicidal ideation and suicide when attempting to quit smoking while taking bupropion. Instruct patients to discontinue bupropion hydrochloride extended-release tablets (XL) and contact a healthcare professional if they experience such symptoms [see WARNINGS AND PRECAUTIONS ( 5.2) and ADVERSE REACTIONS ( 6.2)].
Severe Allergic Reactions
Educate patients on the symptoms of hypersensitivity and to discontinue bupropion hydrochloride extended-release tablets (XL) if they have a severe allergic reaction.
Seizure
Instruct patients to discontinue and not restart bupropion hydrochloride extended-release tablets (XL) if they experience a seizure while on treatment. Advise patients that the excessive use or the abrupt discontinuation of alcohol, benzodiazepines, antiepileptic drugs, or sedatives/hypnotics can increase the risk of seizure. Advise patients to minimize or avoid the use of alcohol.
Angle-Closure Glaucoma
Patients should be advised that taking bupropion hydrochloride extended-release tablets (XL) can cause mild pupillary dilation, which in susceptible individuals, can lead to an episode of angle-closure glaucoma. Pre-existing glaucoma is almost always open-angle glaucoma because angle-closure glaucoma, when diagnosed, can be treated definitively with iridectomy. Open-angle glaucoma is not a risk factor for angle-closure glaucoma. Patients may wish to be examined to determine whether they are susceptible to angle closure, and have a prophylactic procedure (e.g., iridectomy), if they are susceptible [see WARNINGS AND PRECAUTIONS ( 5.7)].
Bupropion-Containing Products
Educate patients that bupropion hydrochloride extended-release tablets (XL) contains the same active ingredient (bupropion) found in ZYBAN, which is used as an aid to smoking cessation treatment, and that bupropion hydrochloride extended-release tablets (XL) should not be used in combination with ZYBAN or any other medications that contain bupropion hydrochloride (such as WELLBUTRIN SR, the sustained-release formulation, WELLBUTRIN, the immediate-release formulation, and APLENZIN ®, a bupropion hydrobromide formulation). In addition, there are a number of generic bupropion HCl products for the immediate, sustained, and extended-release formulations.
Potential for Cognitive and Motor Impairment
Advise patients that any CNS-active drug like bupropion hydrochloride extended-release tablets (XL) may impair their ability to perform tasks requiring judgment or motor and cognitive skills. Advise patients that until they are reasonably certain that Bupropion hydrochloride extended-release tablets (XL) do not adversely affect their performance, they should refrain from driving an automobile or operating complex, hazardous machinery. Bupropion hydrochloride extended-release tablets (XL) treatment may lead to decreased alcohol tolerance.
Concomitant Medications
Counsel patients to notify their healthcare provider if they are taking or plan to take any prescription or over-the-counter drugs, because bupropion hydrochloride extended-release tablets (XL) and other drugs may affect each other's metabolism.
Pregnancy
Advise patients to notify their healthcare provider if they become pregnant or intend to become pregnant during therapy with bupropion hydrochloride extended-release tablets (XL). Advise patients that there is a pregnancy exposure registry that monitors pregnancy outcomes in women exposed to bupropion hydrochloride extended-release tablets (XL) during pregnancy [see USE IN SPECIFIC POPULATIONS ( 8.1)].
Administration Information
Instruct patients to swallow bupropion hydrochloride extended-release tablets (XL) whole so that the release rate is not altered. Instruct patients if they miss a dose, not to take an extra tablet to make up for the missed dose and to take the next tablet at the regular time because of the dose-related risk of seizure. Instruct patients that bupropion hydrochloride extended-release tablets (XL) should be swallowed whole and not crushed, divided, or chewed. Bupropion hydrochloride extended-release tablets (XL) should be administered in the morning and may be taken with or without food.
Residual Inert Matrix Tablet
Patients receiving bupropion hydrochloride extended-release tablets (XL) may notice an inert matrix passing in the stool. Patients should be informed that the active medication has already been absorbed by the time the patient sees the inert matrix tablet.
The brands listed are trademarks of their respective owners and are not trademarks of Lupin Pharmaceuticals, Inc. The makers of these brands are not affiliated with and do not endorse Lupin Pharmaceuticals, Inc. or its products.
LUPIN and the
are registered trademarks of Lupin Pharmaceuticals, Inc.
Manufactured for:
Lupin Pharmaceuticals, Inc.
Naples, FL 34108
United States.
Manufactured by:
Lupin Limited
Goa 403 722
INDIA.
Revised: November 2025 ID#: 282340
Bupropion Hydrochloride (bue proe' pee on hye" droe klor' ide)
Extended-release Tablets USP (XL)
IMPORTANT: Be sure to read the three sections of this Medication Guide. The first section is about the risk of suicidal thoughts and actions with antidepressant medicines; the second section is about the risk of changes in thinking and behavior, depression and suicidal thoughts or actions with medicines used to quit smoking; and the third section is entitled "What Other Important Information Should I Know About Bupropion Hydrochloride Extended-release Tablets (XL)?"
Antidepressant Medicines, Depression and Other Serious Mental Illnesses, and Suicidal Thoughts or Actions
This section of the Medication Guide is only about the risk of suicidal thoughts and actions with antidepressant medicines.
What is the most important information I should know about antidepressant medicines, depression and other serious mental illnesses, and suicidal thoughts or actions?
Call your healthcare provider right away if you or your family member has any of the following symptoms, especially if they are new, worse, or worry you:
What else do I need to know about antidepressant medicines?
It is not known if bupropion hydrochloride extended-release tablets (XL) are safe and effective in children under the age of 18.
Quitting Smoking, Quit-Smoking Medications, Changes in Thinking and Behavior, Depression, and Suicidal Thoughts or Actions
This section of the Medication Guide is only about the risk of changes in thinking and behavior, depression and suicidal thoughts or actions with drugs used to quit smoking. Although bupropion hydrochloride extended-release tablets (XL) are not a treatment for quitting smoking, it contains the same active ingredient (bupropion hydrochloride) as ZYBAN which is used to help patients quit smoking.
Talk to your healthcare provider or your family member's healthcare provider about:
When you try to quit smoking, with or without bupropion you may have symptoms that may be due to nicotine withdrawal, including:
Some people have even experienced suicidal thoughts when trying to quit smoking without medication. Sometimes quitting smoking can lead to worsening of mental health problems that you already have, such as depression.
Some people have had serious side effects while taking bupropion to help them quit smoking, including:
New or worse mental health problems, such as changes in behavior or thinking, aggression, hostility, agitation, depression, or suicidal thoughts or actions.Some people had these symptoms when they began taking bupropion, and others developed them after several weeks of treatment, or after stopping bupropion. These symptoms happened more often in people who had a history of mental health problems before taking bupropion than in people without a history of mental health problems.
Stop takingbupropion hydrochloride extended-release tablets (XL)and call your healthcare provider right away if you, your family, or caregiver notice any of these symptoms.Work with your healthcare provider to decide whether you should continue to take bupropion hydrochloride extended-release tablets (XL). In many people, these symptoms went away after stopping bupropion hydrochloride extended-release tablets (XL), but in some people symptoms continued after stopping bupropion hydrochloride extended-release tablets (XL). It is important for you to follow-up with your healthcare provider until your symptoms go away. Before takingbupropion hydrochloride extended-release tablets (XL),tell your healthcare provider if you have ever had depression or other mental health problems. You should also tell your healthcare provider about any symptoms you had during other times you tried to quit smoking, with or without bupropion.
What Other Important Information Should I Know About Bupropion Hydrochloride Extended-release Tablets (XL)?
The chance of having seizures increases with higher doses of bupropion hydrochloride extended-release tablets (XL). For more information, see the sections "Who should not take bupropion hydrochloride extended-release tablets (XL)?" and "What should I tell my healthcare provider before taking bupropion hydrochloride extended-release tablets (XL)?" Tell your healthcare provider about all of your medical conditions and all the medicines you take. Do not take any other medicines while you are taking bupropion hydrochloride extended-release tablets (XL) unless your healthcare provider has said it is okay to take them.
If you have a seizure while taking bupropion hydrochloride extended-release tablets (XL), stop taking the tablets and call your healthcare provider right away.Do not take bupropion hydrochloride extended-release tablets (XL) again if you have a seizure.
If you have any of the above symptoms of mania, call your healthcare provider.
Only some people are at risk for these problems. You may want to undergo an eye examination to see if you are at risk and receive preventative treatment if you are.
What is bupropion hydrochloride extended-release tablet (XL)?
Bupropion hydrochloride extended-release tablet (XL) is a prescription medicine used to treat adults with a certain type of depression called major depressive disorder and for the prevention of autumn-winter seasonal depression (seasonal affective disorder).
Who should not take bupropion hydrochloride extended-release tablets (XL)?
Do not take bupropion hydrochloride extended-release tablets (XL) if you:
What should I tell my healthcare provider before takingbupropion hydrochloride extended-release tablets (XL)?
Tell your healthcare provider if you have ever had depression, suicidal thoughts or actions, or other mental health problems. You should also tell your healthcare provider about any symptoms you had during other times you tried to quit smoking, with or without bupropion hydrochloride extended-release tablets (XL). See "Quitting Smoking, Quit-Smoking Medications, Changes in Thinking and Behavior, Depression, and Suicidal Thoughts or Actions."
Tell your healthcare provider about all the medicines you take,including prescription, over-the-counter medicines, vitamins, and herbal supplements. Many medicines increase your chances of having seizures or other serious side effects if you take them while you are taking bupropion hydrochloride extended-release tablets (XL).
How should I take bupropion hydrochloride extended-release tablets (XL)?
What should I avoid while taking bupropion hydrochloride extended-release tablets (XL)?
What are the possible side effects of bupropion hydrochloride extended-release tablets (XL)?
Bupropion hydrochloride extended-release tablets (XL) can cause serious side effects.See the sections at the beginning of this Medication Guide for information about serious side effects of bupropion hydrochloride extended-release tablets (XL)
The most common side effects of bupropion hydrochloride extended-release tablets (XL) include:
If you have trouble sleeping, do not take bupropion hydrochloride extended-release tablets (XL) too close to bedtime.
Tell your healthcare provider right away about any side effects that bother you.
These are not all the possible side effects of bupropion hydrochloride extended-release tablets (XL). For more information, ask your healthcare provider or pharmacist.
Call your doctor for medical advice about side effects. You may report side effects to FDA at 1-800-FDA-1088 or Lupin Pharmaceuticals, Inc. at 1-800-399-2561 or visit at www.lupinpharmaceuticals.com.
How should I store bupropion hydrochloride extended-release tablets (XL)?
Keep bupropion hydrochloride extended-release tablets (XL) and all medicines out of the reach of children.
General information about the safe and effective use of bupropion hydrochloride extended-release tablets (XL)
Medicines are sometimes prescribed for purposes other than those listed in a Medication Guide. Do not use bupropion hydrochloride extended-release tablets (XL) for a condition for which it was not prescribed. Do not give bupropion hydrochloride extended-release tablets (XL) to other people, even if they have the same symptoms you have. It may harm them.
If you take a urine drug screening test, bupropion hydrochloride extended-release tablets (XL), may make the test result positive for amphetamines. If you tell the person giving you the drug screening test that you are taking bupropion hydrochloride extended-release tablets (XL), they can do a more specific drug screening test that should not have this problem.
This Medication Guide summarizes the most important information about bupropion hydrochloride extended-release tablets (XL). If you would like more information, talk with your healthcare provider. You can ask your healthcare provider or pharmacist for information about bupropion hydrochloride extended-release tablets (XL) that is written for healthcare professionals.
What are the ingredients in bupropion hydrochloride extended-release tablets (XL)?
Active ingredient: bupropion hydrochloride.
Inactive ingredients: ammonium hydroxide, colloidal silicon dioxide, dibutyl sebacate, ethylcellulose, glyceryl behenate, hydrophobic colloidal silica, hydroxypropyl cellulose, iron oxide black, L-cysteine hydrochloride monohydrate, methacrylic acid copolymer dispersion, polyvinyl alcohol, povidone, propylene glycol, shellac and triethyl citrate. The tablets are printed with edible black ink.
The brands listed are trademarks of their respective owners and are not trademarks of Lupin Pharmaceuticals, Inc. The makers of these brands are not affiliated with and do not endorse Lupin Pharmaceuticals, Inc. or its products.
This Medication Guide has been approved by the U.S. Food and Drug Administration.
LUPIN and the
are registered trademarks of Lupin Pharmaceuticals, Inc.
Manufactured for:
Lupin Pharmaceuticals, Inc.
Naples, FL 34108
United States.
Manufactured by:
Lupin Limited
Goa 403 722
INDIA.
Revised: June 2024 ID#: 276033
| BUPROPION HYDROCHLORIDE
XL
bupropion hydrochloride tablet, extended release |
||||||||||||||||||||||||||||||||||
|
||||||||||||||||||||||||||||||||||
|
||||||||||||||||||||||||||||||||||
|
||||||||||||||||||||||||||||||||||
|
||||||||||||||||||||||||||||||||||
|
||||||||||||||||||||||||||||||||||
|
||||||||||||||||||||||||||||||||||
| Labeler - NuCare Pharmaceuticals, Inc. (010632300) |
| Establishment | |||
| Name | Address | ID/FEI | Business Operations |
|---|---|---|---|
| NuCare Pharmaceuticals, Inc. | 010632300 | relabel(68071-3932) | |