Corphena by is a Prescription medication manufactured, distributed, or labeled by BluCrest Pharmaceuticals LLC. Drug facts, warnings, and ingredients follow.
| Each 5 mL (teaspoonful) contains: | |
| Dexchlorpheniramine Maleate, USP | 2 mg |
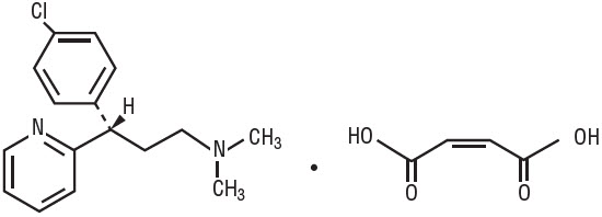
Dexchlorpheniramine Maleate, USP, an antihistamine agent, is a white, odorless crystalline powder that is freely soluble in water. The molecular formula is C 16H 19ClN 2∙ C 4H 4O 4, designated chemically as (+)-2-[p-Chloro-α-[2-(dimethylamino)ethyl]benzyl] pyridine maleate (1:1).

M.W. = 390.86
Inactive Ingredients:Citric acid, cherry flavoring, FD&C Red No. 40, glycerin, menthol, methylparaben, propylene glycol, propylparaben, purified water, sodium citrate dihydrate, and sugar.
Perennial and seasonal allergic rhinitis
Vasomotor rhinitis
Allergic conjunctivitis due to inhalant allergens and foods
Mild, uncomplicated allergic skin manifestations of urticaria and angioedema
Amelioration of allergic reactions to blood or plasma
Dermographism
As therapy for anaphylactic reactions adjunctive to epinephrine and other standard measures after the acute manifestations have been controlled.
-
Because of the higher risk of antihistamines for infants generally and for newborns and prematures in particular, antihistamine therapy is contraindicated in nursing mothers.
Antihistamines should NOTbe used to treat lower respiratory tract symptoms including asthma.
Antihistamines are also contraindicated in the following conditions:
Antihistamines should be used with considerable caution in patients with:
In infants and children, especially, antihistamines in overdosagemay cause hallucinations, convulsions, or death.
As in adults, antihistamines may diminish mental alertness in children. In the young child, particularly, they may produce excitation.
Experience with this drug in pregnant women is inadequate to determine whether there exists a potential for harm to the developing fetus.
CORPHENA Oral Solution has additive effects with alcohol and other CNS depressants (hypnotics, sedatives, tranquilizers, etc.).
Call your doctor for medical advice about side effects. You may voluntarily report side effects to FDA at 1-800-FDA-1088.Questions or comments? Call BluCrest Pharmaceuticals, LLC at 1-844-700-5011.
Antihistamine overdosage reactions may vary from central nervous system depression to stimulation. Stimulation is particularly likely in children. Atropine-like signs and symptoms—dry mouth, fixed, dilated pupils, flushing, and gastrointestinal symptoms may also occur.
If vomiting has not occurred spontaneouslythe patient should be induced to vomit. This is best done by having the patient drink a glass of water or milk after which the patient should be made to gag. Precautions against aspiration must be taken, especially in infants and children.
Saline cathartics, such as milk of magnesia, draw water into the bowel by osmosis and therefore, are valuable for their action in rapid dilution of bowel content.
Stimulants should not be used.
Vasopressors may be used to treat hypotension.
CORPHENA Oral Solution is supplied as a red colored, cherry flavored liquid in the following sizes:
8 fl oz (237 mL), NDC: 73684-300-08
| CORPHENA
dexchlorpheniramine maleate solution |
||||||||||||||||||||||||||
|
||||||||||||||||||||||||||
|
||||||||||||||||||||||||||
|
||||||||||||||||||||||||||
|
||||||||||||||||||||||||||
|
||||||||||||||||||||||||||
|
||||||||||||||||||||||||||
| Labeler - BluCrest Pharmaceuticals LLC (117424533) |