Esomeprazole Magnesium by is a Prescription medication manufactured, distributed, or labeled by AvPAK. Drug facts, warnings, and ingredients follow.
Esomeprazole magnesium is a proton pump inhibitor (PPI). Esomeprazole magnesium delayed-release capsules are indicated for the:
| Population | Recommended Adult ( 2.1) and Pediatric Dosage ( 2.2) |
| Healing of EE (1 year and older) | |
| Adults | 20 mg or 40 mg 1 once daily for 4 to 8 weeks; some patients may require an additional 4 to 8 weeks |
| 12 years to 17 years | 20 mg or 40 mg1 once daily for 4 to 8 weeks |
| Maintenance of Healing of EE | |
| Adults | 20 mg once daily. Controlled studies do not extend beyond 6 months |
| Treatment of Symptomatic GERD | |
| Adults | 20 mg once daily once daily for 4 weeks some patients may require an additional 4 weeks |
| 12 years to 17 years | 20 mg once daily for 4 weeks |
| Risk Reduction of NSAID-Associated Gastric Ulcer | |
| Adults | 20 mg or 40 mg 1 once daily for up to 6 months2 |
| H. pyloriEradication to Reduce the Risk of Duodenal Ulcer Recurrence | |
| Adults | Esomeprazole magnesium delayed-release capsules 40 mg
1once daily for 10 days
Amoxicillin 1000 mg twice daily for 10 days 3Clarithromycin 500 mg twice daily for 10 days 3 |
| Pathological Hypersecretory Conditions Including Zollinger-Ellison Syndrome | |
| Adults | Starting dosage is 40 mg twice daily 4 (varies with the individual patient) as long as clinically indicated. |
1 A maximum dosage of 20 mg once daily is recommended for patients with severe liver impairment (Child-Pugh Class C).
2 Controlled studies do not extend beyond 6 months.
3 Refer to the amoxicillin and clarithromycin prescribing information for dosage adjustments in elderly and renally-impaired patients.
4 A starting dosage of 20 mg twice daily is recommended for patients with severe liver impairment (Child-Pugh Class C).
Preparation and Administration Information
Most common adverse reactions ( 6.1):
To report SUSPECTED ADVERSE REACTIONS, contact AvKARE at 1-855-361-3993; email drugsafety@avkare.com or FDA at 1-800-FDA-1088 or www.fda.gov/medwatch.
See full prescribing information for a list of clinically important drug interactions. ( 7)
Pediatrics: Use is not recommended for the treatment of symptomatic GERD in patients 1 month to less than 1 year of age; efficacy was not demonstrated. ( 8.4)
See 17 for PATIENT COUNSELING INFORMATION and Medication Guide.
Revised: 7/2023
Adults
Esomeprazole magnesium delayed-release capsules are indicated for the short-term treatment (4 to 8 weeks) in the healing and symptomatic resolution of diagnostically confirmed EE in adults. For those patients who have not healed after 4 to 8 weeks of treatment, an additional 4 to 8 week course of esomeprazole magnesium delayed-release capsules may be considered.
Pediatric Patients 12 Years to 17 Years of Age
Esomeprazole magnesium delayed-release capsules are indicated for the short-term treatment (4 to 8 weeks) for the healing of EE in pediatric patients 12 years to 17 years of age.
Esomeprazole magnesium delayed-release capsules are indicated for the maintenance of healing of EE in adults. Controlled studies do not extend beyond 6 months.
Adults
Esomeprazole magnesium delayed-release capsules are indicated for short-term treatment (4 to 8 weeks) of heartburn and other symptoms associated with GERD in adults.
Pediatric Patients 12 Years to 17 Years of Age
Esomeprazole magnesium delayed-release capsules are indicated for short-term treatment (4 weeks) of heartburn and other symptoms associated with GERD in pediatric patients 12 years to 17 years of age.
Esomeprazole magnesium delayed-release capsules are indicated for the reduction in the occurrence of gastric ulcers associated with continuous NSAID therapy in adult patients at risk for developing gastric ulcers. Patients are considered to be at risk due to their age (60 years and older) and/or documented history of gastric ulcers. Controlled studies do not extend beyond 6 months.
Eradication of H.pylorihas been shown to reduce the risk of duodenal ulcer recurrence.
Triple Therapy
Esomeprazole magnesium delayed-release capsules, in combination with amoxicillin and clarithromycin, are indicated for the treatment of adult patients with H. pyloriinfection and duodenal ulcer disease (active or history of within the past 5 years) to eradicate H. pylori.
In patients who fail therapy, susceptibility testing should be done. If resistance to clarithromycin is demonstrated or susceptibility testing is not possible, alternative antimicrobial therapy should be instituted [ see Clinical Pharmacology (12.4) and the prescribing information for clarithromycin].
Table 1 shows the recommended adult dosage of esomeprazole magnesium delayed-release capsules by indication.
The duration of esomeprazole magnesium delayed-release capsules treatment should be based on available safety and efficacy data specific to the defined indication and dosing frequency and individual patient medical needs. Esomeprazole magnesium delayed-release capsules should only be initiated and continued if the benefits outweigh the risks of treatment.
Table 1: Recommended Dosage of Esomeprazole Magnesium Delayed-Release Capsules in Adults by Indication
| Adult Indication | Recommended Dosage of Esomeprazole magnesium delayed-release capsules | Treatment Duration |
| Healing of EE | 20 mg or 40 mg 1 once daily | 4 to 8 weeks 2 |
| Maintenance of Healing of EE | 20 mg once daily | Controlled studies do not extend beyond 6 months |
| Treatment of Symptomatic GERD | 20 mg once daily | 4 weeks; if symptoms do not resolve completely, consider an additional 4 weeks |
| Risk Reduction of NSAID-Associated Gastric Ulcer | 20 mg or 40 mg 1 once daily | Controlled studies do not extend beyond 6 months |
| H. pyloriEradication to Reduce the Risk of Duodenal Ulcer Recurrence (Triple Therapy) | Esomeprazole 40 mg once daily 1 | 10 days |
| Amoxicillin 1000 mg twice daily 3 | 10 days | |
| Clarithromycin 500 mg twice daily 3 | 10 days | |
| Pathological Hypersecretory Conditions Including Zollinger-Ellison Syndrome | Starting dosage is 40 mg twice daily
4; individualize the regimen to patient needs.
Dosages of up to 240 mg/day have been administered [see Clinical Studies (14.7)] | As long as clinically indicated |
1. A maximum dosage of 20 mg once daily is recommended for patients with severe liver impairment (Child-Pugh Class C) [see Use in Specific Populations ( 8.6)].
2. Most patients are healed within 4 to 8 weeks. For patients who do not heal after 4 to 8 weeks, an additional 4 to 8 weeks of treatment may be required to achieve healing [see Clinical Studies ( 14.1)].
3. Refer to the amoxicillin and clarithromycin prescribing information for dosage adjustments in elderly and renally-impaired patients.
4. A starting dosage of 20 mg twice daily is recommended for patients with severe liver impairment (Child-Pugh Class C) [see Use in Specific Populations ( 8.6)].
Table 2 shows the recommended dosage of esomeprazole magnesium delayed-release capsules in pediatric patients by indication.
Table 2: Recommended Dosage of Esomeprazole Magnesium Delayed-Release Capsules in Pediatric Patients by Indication
| Indication | Patient Age | Recommended Dosage | Duration | |
| Healing of EE | 12 years to 17 years | Esomeprazole magnesium delayed-release capsules 20 mg or 40 mg once daily | 4 to 8 Weeks | |
| Treatment of Symptomatic GERD | 12 years to 17 years | Esomeprazole magnesium delayed-release capsules 20 mg once daily | 4 weeks |
1Dosages over 1 mg/kg/day have not been studied
2Dosages over 1.33 mg/kg/day have not been studied
Esomeprazole Magnesium Delayed-Release Capsules
Administer esomeprazole magnesium delayed-release capsules orally or via a nasogastric tube, as described below.
Oral Administration
1. Add one tablespoon of applesauce to an empty bowl. The applesauce used should not be hot and should be soft enough to be swallowed without chewing.
2. Open the esomeprazole magnesium delayed-release capsule and carefully empty the granules inside the capsule onto the applesauce.
3. Mix the granules with the applesauce.
4. Administer the mixture immediately. Do not chew or crush the granules
5. Discard any remaining mixture. Do not store the mixture for future use.
Administration via Nasogastric Tube
1. Open the esomeprazole magnesium delayed-release capsule and empty the granules into a 60 mL catheter-tipped syringe.
2. Mix the granules with 50 mL of water.
3. Replace the plunger and shake the catheter-tipped syringe vigorously for 15 seconds.
4. Hold the catheter-tipped syringe with the tip up and check for any granules remaining in the tip.
5. Attach the catheter-tipped syringe to a nasogastric tube and deliver the contents of the syringe through the nasogastric tube into the stomach.
6. After administering the granules, flush the nasogastric tube with additional water. Use the mixture immediately after preparation.
7. Do not administer the granules if they have dissolved or disintegrated.
Esomeprazole magnesium delayed-release capsules
In adults, symptomatic response to therapy with esomeprazole magnesium does not preclude the presence of gastric malignancy. Consider additional follow-up and diagnostic testing in adult patients who have a suboptimal response or an early symptomatic relapse after completing treatment with a PPI. In older patients, also consider an endoscopy.
Acute tubulointerstitial nephritis (TIN) has been observed in patients taking PPIs and may occur at any point during PPI therapy. Patients may present with varying signs and symptoms from symptomatic hypersensitivity reactions to nonspecific symptoms of decreased renal function (e.g., malaise, nausea, anorexia). In reported case series, some patients were diagnosed on biopsy and in the absence of extra-renal manifestations (e.g., fever, rash or arthralgia). Discontinue esomeprazole magnesium and evaluate patients with suspected acute TIN [see Contraindications ( 4)].
Published observational studies suggest that PPI therapy like esomeprazole magnesium may be associated with an increased risk of Clostridium difficile-associated diarrhea, especially in hospitalized patients. This diagnosis should be considered for diarrhea that does not improve [see Adverse Reactions ( 6.2)].
Patients should use the lowest dose and shortest duration of PPI therapy appropriate to the condition being treated.
Clostridium difficile-associated diarrhea (CDAD) has been reported with use of nearly all antibacterial agents. For more information specific to antibacterial agents (clarithromycin and amoxicillin) indicated for use in combination with esomeprazole magnesium, refer to Warnings and Precautions section of the corresponding prescribing information.
Several published observational studies suggest that proton pump inhibitor (PPI) therapy may be associated with an increased risk for osteoporosis-related fractures of the hip, wrist, or spine. The risk of fracture was increased in patients who received high-dose, defined as multiple daily doses, and long-term PPI therapy (a year or longer). Patients should use the lowest dose and shortest duration of PPI therapy appropriate to the condition being treated. Patients at risk for osteoporosis-related fractures should be managed according to established treatment guidelines [see Dosage and Administration (2) and Adverse Reactions (6.2)].
Severe cutaneous adverse reactions, including Stevens-Johnson syndrome (SJS) and toxic epidermal necrolysis (TEN), drug reaction with eosinophilia and systemic symptoms (DRESS), and acute generalized exanthematous pustulosis (AGEP) have been reported in association with the use of PPIs [see Adverse Reactions ( 6.2)]. Discontinue esomeprazole magnesium at the first signs or symptoms of severe cutaneous adverse reactions or other signs of hypersensitivity and consider further evaluation.
Cutaneous lupus erythematosus (CLE) and systemic lupus erythematosus (SLE) have been reported in patients taking PPIs, including esomeprazole. These events have occurred as both new onset and an exacerbation of existing autoimmune disease. The majority of PPI-induced lupus erythematosus cases were CLE.
The most common form of CLE reported in patients treated with PPIs was subacute CLE (SCLE) and occurred within weeks to years after continuous drug therapy in patients ranging from infants to the elderly. Generally, histological findings were observed without organ involvement.
Systemic lupus erythematosus (SLE) is less commonly reported than CLE in patients receiving PPIs. PPI associated SLE is usually milder than non-drug induced SLE. Onset of SLE typically occurred within days to years after initiating treatment primarily in patients ranging from young adults to the elderly. The majority of patients presented with rash; however, arthralgia and cytopenia were also reported.
Avoid administration of PPIs for longer than medically indicated. If signs or symptoms consistent with CLE or SLE are noted in patients receiving esomeprazole magnesium, discontinue the drug and refer the patient to the appropriate specialist for evaluation. Most patients improve with discontinuation of the PPI alone in 4 to 12 weeks. Serological testing (e.g. ANA) may be positive and elevated serological test results may take longer to resolve than clinical manifestations.
Avoid concomitant use of esomeprazole magnesium with clopidogrel. Clopidogrel is a prodrug. Inhibition of platelet aggregation by clopidogrel is entirely due to an active metabolite. The metabolism of clopidogrel to its active metabolite can be impaired by use with concomitant medications, such as esomeprazole, that inhibit CYP2C19 activity. Concomitant use of clopidogrel with 40 mg esomeprazole reduces the pharmacological activity of clopidogrel. When using esomeprazole magnesium consider alternative anti-platelet therapy[see Drug Interactions ( 7)].
Daily treatment with any acid-suppressing medications over a long period of time (e.g., longer than 3 years) may lead to malabsorption of cyanocobalamin (vitamin B-12) caused by hypo-or achlorhydria. Rare reports of cyanocobalamin deficiency occurring with acid-suppressing therapy have been reported in the literature. This diagnosis should be considered if clinical symptoms consistent with cyanocobalamin deficiency are observed.
Hypomagnesemia, symptomatic and asymptomatic, has been reported rarely in patients treated with PPIs for at least three months, in most cases after a year of therapy. Serious adverse events include tetany, arrhythmias, and seizures. Hypomagnesemia may lead to hypocalcemia and/or hypokalemia and may exacerbate underlying hypocalcemia in at-risk patients. In most patients, treatment of hypomagnesemia required magnesium replacement and discontinuation of the PPI.
For patients expected to be on prolonged treatment or who take PPIs with medications such as digoxin or drugs that may cause hypomagnesemia (e.g., diuretics), health care professionals may consider monitoring magnesium levels prior to initiation of PPI treatment and periodically [see Adverse Reactions ( 6.2)]
Consider monitoring magnesium and calcium levels prior to initiation of esomeprazole and magnesium and periodically while on treatment in patients with a preexisting risk of hypocalcemia (e.g., hypoparathyroidism). Supplement with magnesium and/or calcium, as necessary. If hypocalcemia is refractory to treatment, consider discontinuing the PPI.
Drugs which induce CYP2C19 or CYP3A4 (such as St. John’s Wort or rifampin) can substantially decrease esomeprazole concentrations. [see Drug Interactions (7)]. Avoid concomitant use of esomeprazole magnesium with St. John’s Wort, or rifampin.
Serum chromogranin A (CgA) levels increase secondary to drug-induced decreases in gastric acidity. The increased CgA level may cause false positive results in diagnostic investigations for neuroendocrine tumors. Healthcare providers should temporarily stop esomeprazole treatment at least 14 days before assessing CgA levels and consider repeating the test if initial CgA levels are high. If serial tests are performed (e.g. for monitoring), the same commercial laboratory should be used for testing, as reference ranges between tests may vary [see Clinical Pharmacology (12.2)].
Literature suggests that concomitant use of PPIs with methotrexate (primarily at high dose; see methotrexate prescribing information) may elevate and prolong serum levels of methotrexate and/or its metabolite, possibly leading to methotrexate toxicities. In high-dose methotrexate administration a temporary withdrawal of the PPI may be considered in some patients [see Drug Interactions ( 7)].
PPI use is associated with an increased risk of fundic gland polyps that increases with long-term use, especially beyond one year. Most PPI users who developed fundic gland polyps were asymptomatic and fundic gland polyps were identified incidentally on endoscopy. Use the shortest duration of PPI therapy appropriate to the condition being treated.
The following serious adverse reactions are described below and elsewhere in labeling:
Acute Tubulointerstitial Nephritis [see Warnings and Precautions (5.2)]
Clostridium difficile-Associated Diarrhea [see Warnings and Precautions (5.3)]
Bone Fracture [see Warnings and Precautions (5.4)]
Severe Cutaneous Adverse Reactions [see Warnings and Precautions ( 5.5)]
Cutaneous and Systemic Lupus Erythematosus [see Warnings and Precautions (5.6)]
Cyanocobalamin (Vitamin B-12) Deficiency [see Warnings and Precautions (5.8)]
Hypomagnesemia and Mineral Metabolism [see Warnings and Precautions (5.9)]
Fundic Gland Polyps [see Warnings and Precautions (5.13)]
Because clinical trials are conducted under widely varying conditions, adverse reaction rates observed in the clinical trials of a drug cannot be directly compared to rates in the clinical trials of another drug and may not reflect the rates observed in practice.
Adults
The safety of esomeprazole magnesium delayed-release capsules was evaluated in over 15,000 patients (aged 18 to 84 years) in clinical trials worldwide including over 8,500 patients in the United States and over 6,500 patients in Europe and Canada. Over 2,900 patients were treated in long-term studies for up to 6 to 12 months.
The safety in the treatment of healing of EE in adults was assessed in four randomized comparative clinical trials, which included 1,240 patients who received esomeprazole magnesium 20 mg once daily, 2,434 patients on esomeprazole magnesium 40 mg once daily, and 3,008 patients on omeprazole 20 mg once daily. The most frequently occurring adverse reactions (at least 1%) in all three groups were headache (5.5%, 5%, and 3.8%, respectively) and diarrhea (no difference among the three groups). Nausea, flatulence, abdominal pain, constipation, and dry mouth occurred at similar rates among patients taking esomeprazole magnesium or omeprazole.
Less common adverse reactions with an incidence of less than 1% are listed below by body system:
Body as a Whole:abdomen enlarged, allergic reaction, asthenia, back pain, chest pain, substernal chest pain, facial edema, peripheral edema, hot flushes, fatigue, fever, flu-like disorder, generalized edema, leg edema, malaise, pain, rigors;
Cardiovascular:flushing, hypertension, tachycardia;
Endocrine:goiter;
Gastrointestinal:bowel irregularity, constipation aggravated, dyspepsia, dysphagia, dysplasia GI, epigastric pain, eructation, esophageal disorder, frequent stools, gastroenteritis, GI hemorrhage, GI symptoms not otherwise specified, hiccup, melena, mouth disorder, pharynx disorder, rectal disorder, serum gastrin increased, tongue disorder, tongue edema, ulcerative stomatitis, vomiting;
Hearing:earache, tinnitus;
Hematologic:anemia, anemia hypochromic, cervical lymphadenopathy, epistaxis, leukocytosis, leukopenia, thrombocytopenia;
Hepatic:bilirubinemia, hepatic function abnormal, SGOT increased, SGPT increased;
Metabolic/Nutritional:glycosuria, hyperuricemia, hyponatremia, increased alkaline phosphatase, thirst, vitamin B12 deficiency, weight increase, weight decrease;
Musculoskeletal:arthralgia, arthritis aggravated, arthropathy, cramps, fibromyalgia syndrome, hernia, polymyalgia rheumatica;
Nervous System/Psychiatric:anorexia, apathy, appetite increased, confusion, depression aggravated, dizziness, hypertonia, nervousness, hypoesthesia, impotence, insomnia, migraine, migraine aggravated, paresthesia, sleep disorder, somnolence, tremor, vertigo, visual field defect;
Reproductive:dysmenorrhea, menstrual disorder, vaginitis;
Respiratory:asthma aggravated, coughing, dyspnea, larynx edema, pharyngitis, rhinitis, sinusitis;
Skin and Appendages:acne, angioedema, dermatitis, pruritus, pruritus ani, rash, rash erythematous, rash maculo-papular, skin inflammation, sweating increased, urticaria;
Special Senses:otitis media, parosmia, taste loss, taste perversion;
Urogenital: abnormal urine, albuminuria, cystitis, dysuria, fungal infection, hematuria, micturition frequency, moniliasis, genital moniliasis, polyuria;
Visual:conjunctivitis, vision abnormal.
The following potentially clinically significant laboratory changes in clinical trials, irrespective of relationship to esomeprazole magnesium, were reported in 1% or less of patients: increased creatinine, uric acid, total bilirubin, alkaline phosphatase, ALT, AST, hemoglobin, white blood cell count, platelets, serum gastrin, potassium, sodium, thyroxine and thyroid stimulating hormone [see Clinical Pharmacology ( 12.2)]. Decreases were seen in hemoglobin, white blood cell count, platelets, potassium, sodium, and thyroxine.
Endoscopic findings that were reported as adverse reactions include: duodenitis, esophagitis, esophageal stricture, esophageal ulceration, esophageal varices, gastric ulcer, gastritis, hernia, benign polyps or nodules, Barrett’s esophagus, and mucosal discoloration.
The incidence of adverse reactions during 6-month trials for the maintenance of healing of EE with esomeprazole magnesium 20 mg once daily was similar to placebo. There were no differences in types of adverse reactions seen during maintenance treatment up to 12 months compared to short-term treatment.
Two placebo-controlled studies were conducted in 710 adult patients for the treatment of symptomatic GERD. The most common adverse reactions that were reported were: diarrhea (4%), headache (4%), and abdominal pain (4%).
Combination Treatment with Esomeprazole Magnesium, Amoxicillin and Clarithromycin
In clinical trials of H. pylori eradication of to reduce duodenal ulcer recurrence, no additional adverse reactions specific to the combination of esomeprazole magnesium delayed-release capsules, amoxicillin and clarithromycin were observed and were similar to those observed with esomeprazole magnesium, amoxicillin, or clarithromycin alone. The most frequently reported adverse reactions for patients who received esomeprazole magnesium, amoxicillin and clarithromycin for 10 days were diarrhea (9%), taste perversion (4%), and abdominal pain (4%). No adverse reactions were observed at higher rates with esomeprazole magnesium, amoxicillin and clarithromycin than were observed with esomeprazole magnesium alone.
In clinical trials using of esomeprazole magnesium, amoxicillin and clarithromycin, no additional increased laboratory abnormalities particular to these drug combinations were observed.
For more information on adverse reactions and laboratory changes with amoxicillin or clarithromycin, refer to Adverse Reactions section of the respective prescribing information.
Pediatrics
1 Year to 17 Years of Age
The safety of esomeprazole magnesium delayed-release capsules was evaluated in 316 pediatric and adolescent patients aged 1 year to 17 years in four clinical trials for the treatment of symptomatic GERD [see Clinical Studies ( 14.3)].In 109 pediatric patients aged 1 year to 11 years, the most frequently reported (at least 1%) treatment-related adverse reactions in these patients were diarrhea (3%), headache (2%) and somnolence (2%). In 149 pediatric patients aged 12 years to 17 years the most frequently reported adverse reactions (at least 2%) were headache (8%), abdominal pain (3%), diarrhea (2%), and nausea (2%).
The following adverse reactions have been identified during post-approval use of esomeprazole. Because these reactions are reported voluntarily from a population of uncertain size, it is not always possible to reliably estimate their frequency or establish a causal relationship to drug exposure. These reports are listed below by body system:
Blood and Lymphatic:agranulocytosis, pancytopenia;
Eye:blurred vision;
Gastrointestinal:pancreatitis; stomatitis; microscopic colitis; fundic gland polyps;
Hepatobiliary:hepatic failure, hepatitis with or without jaundice;
Immune System:anaphylactic reaction/shock; systemic lupus erythematosus;
Infections and Infestations:GI candidiasis; Clostridium difficile-associated diarrhea;
Metabolism and nutritional disorders:hypomagnesemia (may lead to hypocalcemia and/or hypokalemia) [see Warnings and Precautions ( 5.9)];
Musculoskeletal and Connective Tissue:muscular weakness, myalgia, bone fracture;
Nervous System:hepatic encephalopathy, taste disturbance;
Psychiatric:aggression, agitation, depression, hallucination;
Renal and Urinary:interstitial nephritis;
Reproductive System and Breast:gynecomastia, erectile dysfunction;
Respiratory, Thoracic, and Mediastinal:bronchospasm;
Skin and Subcutaneous Tissue:Stevens-Johnson syndrome, toxic epidermal necrolysis (some fatal), drug reaction with eosinophilia and systemic symptoms (DRESS), and acute generalized exanthematous pustulosis (AGEP), cutaneous lupus erythematosus.
Adverse reactions associated with omeprazole may also be expected to occur with esomeprazole. See the full prescribing information for omeprazole for complete safety information.
To report SUSPECTED ADVERSE REACTIONS, contact AvKARE at 1-855-361-3993; email drugsafety@avkare.com or FDA at 1-800-FDA-1088 or www.fda.gov/medwatch.
Tables 3 and 4 include drugs with clinically important drug interactions and interaction with diagnostics when administered concomitantly with esomeprazole and instructions for preventing or managing them.
Consult the labeling of concomitantly used drugs to obtain further information about interactions with PPIs.
Table 3: Clinically Relevant Interactions Affecting Drugs Co-Administered with Esomeprazole and Interaction with Diagnostics
| Antiretrovirals | |
| Clinical Impact: | Theeffect of PPIs on antiretroviral drugs is variable. The clinical importance and the mechanisms behind theseinteractions are notalways known.
|
| Intervention: | Rilpivirine-containing products: Concomitant use with esomeprazole magnesium is contraindicated [see Contraindications (
4)].
Atazanavir: See prescribing information for atazanavir fordosing information.
Nelfinavir:Avoid concomitant use with esomeprazole magnesium. See prescribing information for nelfinavir. Saquinavir:See the prescribing information for saquinavir for monitoring of potential saquinavir-related toxicities. Other antiretrovirals:See prescribing information for specific antiretroviral drugs |
| Warfarin | |
| Clinical Impact: | Increased INR and prothrombin time in patients receiving PPIs, including esomeprazole, and warfarin concomitantly. Increases in INR and prothrombin time may lead to abnormal bleeding and even death. |
| Intervention: | Monitor INR and prothrombin time and adjust the dose of warfarin, if needed, to maintain the target INR range. |
| Methotrexate | |
| Clinical Impact: | Concomitant use of esomeprazole with methotrexate (primarily at high dose) may elevate and prolong serum concentrations of methotrexate and/or its metabolite hydroxymethotrexate, possibly leading to methotrexate toxicities. No formal drug interaction studies of high-dose methotrexate with PPIs have been conducted [see Warnings and Precautions ( 5.12)]. |
| Intervention: | A temporary withdrawal of esomeprazole magnesium may be considered in some patients receiving high-dose methotrexate. |
| 2C19 Substrates (e.g., clopidogrel, citalopram, cilostazol) | |
| Clopidogrel | |
| Clinical Impact: | Concomitant use of esomeprazole 40 mg resulted in reduced plasma concentrations of the active metabolite of clopidogrel and a reduction in platelet inhibition [see Clinical Pharmacology (
12.3)].
There are no adequate combination studies of a lower dose of esomeprazole or a higher dose of clopidogrel in comparison with the approved dose of clopidogrel. |
| Intervention: | Avoid concomitant use with esomeprazole magnesium. Consider use of alternative anti-platelet therapy [see Warnings and Precautions ( 5.7)]. |
| Citalopram | |
| Clinical Impact: | Increased exposure of citalopram leading to an increased risk of QT prolongation [see Clinical Pharmacology ( 12.3)]. |
| Intervention: | Limit the dose of citalopram to a maximum of 20 mg per day. See prescribing information for citalopram. |
| Cilostazol | |
| Clinical Impact: | Increased exposure of cilostazol and one of its active metabolites (3,4-dihydro-cilostazol) [see Clinical Pharmacology ( 12.3)]. |
| Intervention: | Consider reducing the dose of cilostazol to 50 mg twice daily. See prescribing information for cilostazol. |
| Digoxin | |
| Clinical Impact: | Potential for increased exposure of digoxin [see Clinical Pharmacology ( 12.3)]. |
| Intervention: | Monitor digoxin concentrations and adjust the dose, if needed, to maintain therapeutic drug concentrations. See prescribing information for digoxin. |
| Combination Therapy with Clarithromycin and Amoxicillin | |
| Clinical Impact: | Concomitant administration of clarithromycin with other drugs can lead to serious adverse reactions, including potentially fatal arrhythmias, and are contraindicated. Amoxicillin also has drug interactions. |
| Intervention: | See Contraindications, Warnings and Precautions in prescribing information for clarithromycin. See Drug Interactions in prescribing information for amoxicillin. |
| Drugs Dependent on Gastric pH for Absorption (e.g., iron salts, erlotinib, dasatinib, nilotinib, mycophenolate mofetil, ketoconazole/itraconazole) | |
| Clinical Impact: | Esomeprazole can reduce the absorption of other drugs due to its effect on reducing intragastric acidity |
| Intervention: | Mycophenolate mofetil (MMF): Co-administration of omeprazole, of which esomeprazole is an enantiomer, in healthy subjects and in transplant patients receiving MMF has been reported to reduce the exposure to the active metabolite, mycophenolic acid (MPA), possibly due to a decrease in MMF solubility at an increased gastric pH. The clinical relevance of reduced MPA exposure on organ rejection has not been established in transplant patients receiving esomeprazole magnesium and MMF. Use esomeprazole magnesium with caution in transplant patients receiving MMF [see Clinical Pharmacology ( 12.3)]. See the prescribing information for other drugs dependent on gastric pH for absorption. |
| Tacrolimus | |
| Clinical Impact: | Potentially increased exposure of tacrolimus, especially in transplant patients who are intermediate or poor metabolizers of CYP2C19. |
| Intervention: | Monitor tacrolimus whole blood concentrations and consider reducing the dose, if needed, to maintain therapeutic drug concentrations. See prescribing information for tacrolimus. |
| Interactions with Investigations of Neuroendocrine Tumors | |
| Clinical Impact: | Serum chromogranin A (CgA) levels increase secondary to PPI-induced decreases in gastric acidity. The increased CgA level may cause false positive results in diagnostic investigations for neuroendocrine tumors [see Warnings and Precautions ( 5.11), Clinical Pharmacology ( 12.2)]. |
| Intervention: | Discontinue esomeprazole magnesium at least 14 days before assessing CgA levels and consider repeating the test if initial CgA levels are high. If serial tests are performed (e.g. for monitoring), the same commercial laboratory should be used for testing, as reference ranges between tests may vary. |
| Interaction with Secretin Stimulation Test | |
| Clinical Impact: | Hyper-response in gastrin secretion in response to secretin stimulation test, falsely suggesting gastrinoma. |
| Intervention: | Discontinue esomeprazole magnesium 4 weeks prior to testing [see Clinical Pharmacology ( 12.2)] |
| False Positive Urine Tests for THC | |
| Clinical Impact: | There have been reports of false positive urine screening test for tetrahydrocannabinol (THC) in patients receiving PPIs. |
| Intervention: | An alternative confirmatory method should be considered to verify positive results. |
Table 4: Clinically Relevant Interactions Affecting Esomeprazole When Co-Administered with Other Drugs
| CYP2C19 or CYP3A4 Inducers | |
| Clinical Impact: | Decreased exposure of esomeprazole when used concomitantly with strong inducers [see Clinical Pharmacology ( 12.3)]. |
| Intervention: | St. John’s Wort, rifampin: Avoid concomitant use with [see Warnings and Precautions ( 5.10)]. Ritonavir-containing products: see prescribing information for specific drugs |
| Voriconazole | |
| Clinical Impact: | Increased exposure of esomeprazole [see Clinical Pharmacology ( 12.3)]. |
| Intervention: | Dose adjustment of esomeprazole magnesium is not normally required. However, in patients with Zollinger-Ellison syndrome, who may require higher doses, dosage adjustment may be considered. See prescribing information for voriconazole. |
Risk Summary
There are no adequate and well-controlled studies with esomeprazole in pregnant women. Esomeprazole is the S-isomer of omeprazole. Available epidemiologic data fail to demonstrate an increased risk of major congenital malformations or other adverse pregnancy outcomes with first trimester omeprazole use (see Data). Reproduction studies in rats and rabbits resulted in dose-dependent embryo-lethality at omeprazole doses that were approximately 3.4 to 34 times an oral human dose of 40 mg (based on a body surface area for a 60 kg person).
Teratogenicity was not observed in animal reproduction studies with administration of oral esomeprazole magnesium in rats and rabbits with doses about 68 times and 42 times, respectively, an oral human dose of 40 mg (based on a body surface area basis for a 60 kg person). Changes in bone morphology were observed in offspring of rats dosed through most of pregnancy and lactation at doses equal to or greater than approximately 34 times an oral human dose of 40 mg. When maternal administration was confined to gestation only, there were no effects on bone physeal morphology in the offspring at any age (see Data).
The estimated background risks of major birth defects and miscarriage for the indicated population are unknown. All pregnancies have a background risk of birth defect, loss or other adverse outcomes. In the U.S. general population, the estimated background risk of major birth defects and miscarriage in clinically recognized pregnancies is 2% to 4% and 15% to 20%, respectively.
Data
Human Data
Esomeprazole is the S-isomer of omeprazole. Four epidemiological studies compared the frequency of congenital abnormalities among infants born to women who used omeprazole during pregnancy with the frequency of abnormalities among infants of women exposed to H 2receptor antagonists or other controls.
A population-based retrospective cohort epidemiological study from the Swedish Medical Birth Registry, covering approximately 99% of pregnancies, from 1995 to 1999, reported on 955 infants (824 exposed during the first trimester with 39 of these exposed beyond first trimester, and 131 exposed after the first trimester) whose mothers used omeprazole during pregnancy. The number of infants exposed in utero to omeprazole that had any malformation, low birth weight, low Apgar score, or hospitalization was similar to the number observed in this population. The number of infants born with ventricular septal defects and the number of stillborn infants was slightly higher in the omeprazole-exposed infants than the expected number in this population.
A population-based retrospective cohort study covering all live births in Denmark from 1996 to 2009, reported on 1,800 live births whose mothers used omeprazole during the first trimester of pregnancy and 837, 317 live births whose mothers did not use any proton pump inhibitor. The overall rate of birth defects in infants born to mothers with first trimester exposure to omeprazole was 2.9% and 2.6% in infants born to mothers not exposed to any proton pump inhibitor during the first trimester.
A retrospective cohort study reported on 689 pregnant women exposed to either H 2blockers or omeprazole in the first trimester (134 exposed to omeprazole) and 1,572 pregnant women unexposed to either during the first trimester. The overall malformation rate in offspring born to mothers with first trimester exposure to omeprazole, an H 2-blocker, or were unexposed was 3.6%, 5.5%, and 4.1% respectively.
A small prospective observational cohort study followed 113 women exposed to omeprazole during pregnancy (89% with first trimester exposures). The reported rate of major congenital malformations was 4% in the omeprazole group, 2% in controls exposed to non-teratogens, and 2.8% in disease paired controls. Rates of spontaneous and elective abortions, preterm deliveries, gestational age at delivery, and mean birth weight were similar among the groups.
Several studies have reported no apparent adverse short-term effects on the infant when single dose oral or intravenous omeprazole was administered to over 200 pregnant women as premedication for cesarean section under general anesthesia.
Animal Data
Omeprazole
Reproductive studies conducted with omeprazole in rats at oral doses up to 138 mg/kg/day (about 34 times an oral human dose of 40 mg on a body surface area basis) and in rabbits at doses up to 69.1 mg/kg/day (about 34 times an oral human dose of 40 mg on a body surface area basis) during organogenesis did not disclose any evidence for a teratogenic potential of omeprazole. In rabbits, omeprazole in a dose range of 6.9 to 69.1 mg/kg/day (about 3.4 to 34 times an oral human dose of 40 mg on a body surface area basis) administered during organogenesis produced dose-related increases in embryo-lethality, fetal resorptions, and pregnancy disruptions. In rats, dose-related embryo/fetal toxicity and postnatal developmental toxicity were observed in offspring resulting from parents treated with omeprazole at 13.8 to 138 mg/kg/day (about 3.4 to 34 times an oral human dose of 40 mg on a body surface area basis), administered prior to mating through the lactation period.
Esomeprazole
No effects on embryo-fetal development were observed in reproduction studies with esomeprazole magnesium in rats at oral doses up to 280 mg/kg/day (about 68 times an oral human dose of 40 mg on a body surface area basis) or in rabbits at oral doses up to 86 mg/kg/day (about 41 times an oral human dose of 40 mg on a body surface area basis) administered during organogenesis.
A pre-and postnatal developmental toxicity study in rats with additional endpoints to evaluate bone development was performed with esomeprazole magnesium at oral doses of 14 to 280 mg/kg/day (about 3.4 to 68 times an oral human dose of 40 mg on a body surface area basis). Neonatal/early postnatal (birth to weaning) survival was decreased at doses equal to or greater than 138 mg/kg/day (about 34 times an oral human dose of 40 mg on a body surface area basis). Body weight and body weight gain were reduced and neurobehavioral or general developmental delays in the immediate post-weaning timeframe were evident at doses equal to or greater than 69 mg/kg/day (about 17 times an oral human dose of 40 mg on a body surface area basis). In addition, decreased femur length, width and thickness of cortical bone, decreased thickness of the tibial growth plate and minimal to mild bone marrow hypocellularity were noted at doses equal to or greater than 14 mg/kg/day (about 3.4 times an oral human dose of 40 mg on a body surface area basis). Physeal dysplasia in the femur was observed in offspring of rats treated with oral doses of esomeprazole magnesium at doses equal to or greater than 138 mg/kg/day (about 34 times an oral human dose of 40 mg on a body surface area basis).
Effects on maternal bone were observed in pregnant and lactating rats in a pre-and postnatal toxicity study when esomeprazole magnesium was administered at oral doses of 14 to 280 mg/kg/day (about 3.4 to 68 times an oral human dose of 40 mg on a body surface area basis). When rats were dosed from gestational day 7 through weaning on postnatal day 21, a statistically significant decrease in maternal femur weight of up to 14% (as compared to placebo treatment) was observed at doses equal to or greater than 138 mg/kg/day (about 34 times an oral human dose of 40 mg on a body surface area basis).
A pre-and postnatal development study in rats with esomeprazole strontium (using equimolar doses compared to esomeprazole magnesium study) produced similar results in dams and pups as described above.
A follow up developmental toxicity study in rats with further time points to evaluate pup bone development from postnatal day 2 to adulthood was performed with esomeprazole magnesium at oral doses of 280 mg/kg/day (about 68 times an oral human dose of 40 mg on a body surface area basis) where esomeprazole administration was from either gestational day 7 or gestational day 16 until parturition. When maternal administration was confined to gestation only, there were no effects on bone physeal morphology in the offspring at any age.
Risk Summary
Esomeprazole is the S-isomer of omeprazole and limited data suggest that omeprazole may be present in human milk. There are no clinical data on the effects of esomeprazole on the breastfed infant or on milk production. The developmental and health benefits of breastfeeding should be considered along with the mother’s clinical need for esomeprazole magnesium and any potential adverse effects on the breastfed infant from esomeprazole magnesium or from the underlying maternal condition.
Healing of EE
Pediatric Patients 1 Year to 17 Years of Age
The safety and effectiveness of esomeprazole magnesium delayed-release capsules have been established in pediatric patients 12 years to 17 years for short-term treatment (4 to 8 weeks) for healing of EE. Use of esomeprazole magnesium for this indication is supported by evidence from adequate and well-controlled studies in adults with additional safety and pharmacokinetic data in pediatric patients 1 year to 17 years of age. The safety profile in pediatric patients 1 year to 17 years of age was similar to adults [see Adverse Reactions ( 6.1), Clinical Pharmacology ( 12.3), Clinical Studies ( 14.4)].
Symptomatic GERD
Pediatric Patients 1 Year to 17 Years of Age
The safety and effectiveness of esomeprazole magnesium delayed-release capsules have been established in pediatric patients 12 years to 17 years of age for the short-term treatment (4 weeks) of heartburn and other symptoms associated with GERD. Use of esomeprazole magnesium for this indication is supported by evidence from adequate and well-controlled studies in adults with additional safety and pharmacokinetic data in pediatric patients 1 year to 17 years of age. The safety profile in pediatric patients 1 year to 17 years of age was similar to adults [see Adverse Reactions ( 6.1), Clinical Pharmacology ( 12.3), Clinical Studies ( 14.4)].
The safety and effectiveness of esomeprazole magnesium for the treatment of symptomatic GERD in pediatric patients less than 1 year of age have not been established.
Other Conditions
The safety and effectiveness of esomeprazole magnesium delayed-release capsules for the risk reduction of NSAID-associated gastric ulcer, H. pylori eradication to reduce the risk of duodenal ulcer recurrence and treatment of pathological hypersecretory conditions have not been established in pediatric patients.
Juvenile Animal Toxicity Studies
In a juvenile rat toxicity study, esomeprazole was administered with both magnesium and strontium salts at oral doses about 34 to 68 times a daily human dose of 40 mg based on body surface area. Increases in death were seen at the high dose, and at all doses of esomeprazole, there were decreases in body weight, body weight gain, femur weight and femur length, and decreases in overall growth [see Nonclinical Toxicology ( 13.2)].
Of the total number of patients who received esomeprazole magnesium in clinical trials, 1,459 were 65 to 74 years of age and 354 patients were 75 years of age and older.
No overall differences in safety and efficacy were observed between the elderly and younger individuals, and other reported clinical experience has not identified differences in responses between elderly and younger patients, but greater sensitivity of some older individuals cannot be ruled out.
In patients with severe hepatic impairment (Child-Pugh Class C) exposure to esomeprazole substantially increased compared to healthy subjects. Dosage modification of esomeprazole magnesium delayed-release capsules are recommended for patients with severe hepatic impairment for the healing of EE, risk reduction of NSAID-associated gastric ulcer, H. pylori eradication to reduce the risk of duodenal ulcer recurrence, and pathological hypersecretory conditions including Zollinger-Ellison Syndrome [see Dosage and Administration ( 2.1), Clinical Pharmacology ( 12.3)].
In patients with mild to moderate liver impairment (Child-Pugh Classes A and B), no dosage adjustment is necessary.
Manifestations in patients exposed to omeprazole, the racemic mixture, at doses up to 2,400 mg (120 times the usual recommended clinical dose) include confusion, drowsiness, blurred vision, tachycardia, nausea, diaphoresis, flushing, headache, dry mouth, and other adverse reactions similar to those seen at recommended dosages. See the full prescribing information for omeprazole for complete safety information. No specific antidote for esomeprazole is known. Since esomeprazole is extensively protein bound, it is not expected to be removed by dialysis. In the event of overdosage, treatment should be symptomatic and supportive.
If over-exposure occurs, call your Poison Control Center at 1-800-222-1222 for current information on the management of poisoning or overdosage.
The active ingredient in the proton pump inhibitor Esomeprazole Magnesium Delayed-Release Capsules USP for oral administration is bis(5-methoxy-2-[(S)-[(4-methoxy-3,5-dimethyl-2-pyridinyl)methyl]sulfinyl]-1 H-benzimidazole-1-yl) magnesium trihydrate. Esomeprazole is the S-isomer of omeprazole, which is a mixture of the S- and R- isomers. (Initial U.S. approval of esomeprazole magnesium: 2001). Its molecular formula is (C 17H 18N 3O 3S) 2Mg x 3 H 2O with molecular weight of 767.2 as a trihydrate and 713.1 on an anhydrous basis. The structural formula is:

The magnesium salt is a white to slightly cream or slightly yellow colored powder. It contains 3 moles of water of solvation and is soluble in methanol. The stability of esomeprazole magnesium is a function of pH; it rapidly degrades in acidic media, but it has acceptable stability under alkaline conditions. At pH 6.8 (buffer), the half-life of the magnesium salt is about 19 hours at 25°C and about 8 hours at 37°C.
Esomeprazole magnesium is supplied in delayed-release capsules. Each delayed-release capsule contains 20 mg, or 40 mg of esomeprazole (present as 22.3 mg, or 44.5 mg esomeprazole magnesium trihydrate USP) in the form of enteric-coated granules with the following inactive ingredients: glyceryl monostearate, hydroxypropyl cellulose, hypromellose, magnesium stearate, methacrylic acid copolymer, polysorbate 80, simethicone, sugar spheres, talc and triethyl citrate. The capsule shells have the following inactive ingredients: gelatin, FD&C Blue #1, titanium dioxide, ammonia solution, black iron oxide, butyl alcohol, dehydrated alcohol, isopropyl alcohol, propylene glycol, potassium hydroxide and shellac.
Esomeprazole belongs to a class of antisecretory compounds, the substituted benzimidazoles, that suppress gastric acid secretion by specific inhibition of the H+/K+ ATPase enzyme system at the secretory surface of the gastric parietal cell. Esomeprazole is protonated and converted in the acidic compartment of the parietal cell forming the active inhibitor, the achiral sulphenamide. Because this enzyme system is regarded as the acid (proton) pump within the gastric mucosa, esomeprazole has been characterized as a gastric acid-pump inhibitor, in that it blocks the final step of acid production. This effect is dose-related and leads to inhibition of both basal and stimulated acid secretion irrespective of the stimulus.
Antisecretory Activity
Adults
The effect of esomeprazole on intragastric pH was determined in adult patients with symptomatic GERD in two separate studies. In the first study of 36 patients. Esomeprazole magnesium 40 mg and 20 mg delayed-release capsules were administered once daily over 5 days as shown in Table 5.
Table 5: Effect of Esomeprazole on Intragastric pH on Day 5 (N=36) Following Once Daily Dosing of Esomeprazole Magnesium Delayed-Release Capsules in Adult Patients with Symptomatic GERD
| Parameter | Esomeprazole Magnesium Delayed-Release Capsules | |
| 40 mg once daily | 20 mg once daily | |
| % Time Gastric pH >4 1(Hours) | 70% 2(16.8 h) | 53%(12.7 h) |
| Coefficient of variation | 26% | 37% |
| Median 24 Hour pH | 4.9 2 | 4.1 |
| Coefficient of variation | 16% | 27% |
1Gastric pH was measured over a 24-hour period
2p< 0.01 esomeprazole magnesium 40 mg vs esomeprazole magnesium 20 mg
In a second study, the effect on intragastric pH of esomeprazole magnesium 40 mg delayed-release capsules administered once daily over a five-day period was similar to the first study, (% time with pH > 4 was 68% or 16.3 hours).
Serum Gastrin Effects
The effect of esomeprazole on serum gastrin concentrations was evaluated in approximately 2,700 patients in clinical trials of oral esomeprazole for up to 8 weeks and in over 1,300 patients for up to 12 months. The mean fasting gastrin level increased in a dose-related manner. The increase in serum gastrin concentrations reached a plateau within two to three months of therapy and returned to baseline levels within four weeks after discontinuation of therapy.
Increased gastrin causes enterochromaffin-like cell hyperplasia and increased serum Chromogranin A (CgA) levels. The increased CgA levels may cause false positive results in diagnostic investigations for neuroendocrine tumors [see Warnings and Precautions ( 5.11)].
Enterochromaffin-like (ECL) Cell Effects
Human gastric biopsy specimens have been obtained from more than 3,000 patients (both pediatrics and adults) treated with omeprazole in long-term clinical trials. The incidence of ECL cell hyperplasia in these studies increased with time; however, no case of ECL cell carcinoids, dysplasia, or neoplasia has been found in these patients [see Nonclinical Toxicology ( 13.1)].
In over 1,000 patients treated with oral esomeprazole (10 mg, 20 mg or 40 mg/day) for up to 12 months, the prevalence of ECL cell hyperplasia increased with time and dose. No patient developed ECL cell carcinoids, dysplasia, or neoplasia in the gastric mucosa.
Endocrine Effects
Esomeprazole had no effect on thyroid function in adults when given esomeprazole magnesium 20 mg or 40 mg delayed-release capsules once daily for 4 weeks. Other effects of esomeprazole on the endocrine system were assessed in studies of omeprazole. Oral doses of omeprazole 30 mg or 40 mg once daily for 2 to 4 weeks had no effect on carbohydrate metabolism, circulating levels of parathyroid hormone, cortisol, estradiol, testosterone, prolactin, cholecystokinin, or secretin.
Absorption
After oral administration, peak plasma levels (C max) of esomeprazole occur at approximately 1.5 hours (T max). The C maxincreases proportionally when the dose is increased, and there is a three-fold increase in the area under the plasma concentration-time curve (AUC) from 20 to 40 mg. At repeated once-daily dosing with 40 mg, the systemic bioavailability is approximately 90% compared to 64% after a single dose of 40 mg. The mean exposure (AUC) to esomeprazole increases from 4.32 micromol*hr/L on Day 1 to 11.2 micromol*hr/L on Day 5 after 40 mg once daily dosing.
The AUC after administration of a single 40 mg dose of esomeprazole magnesium delayed-release capsules is decreased by 43% to 53% after food intake compared to fasting conditions [see Dosage and Administration ( 2.3)]. The pharmacokinetics of esomeprazole in adult patients with symptomatic GERD following repeated once daily administration of 20 mg and 40 mg esomeprazole magnesium delayed-release capsules over a period of five days are shown in Table 6.
Table 6: Geometric Mean (95% CI) Pharmacokinetic Parameters of Esomeprazole on Day 5 Following Once Daily Dosing of Esomeprazole Magnesium Delayed-Release Capsules in Adult Patients with Symptomatic GERD
| Esomeprazole magnesium delayed-release capsules | ||
| Parameter 1(CV) | 40 mg once daily
(n=36) | 20 mg once daily
(n=36) |
| AUC (micromol .h/L) | 12.6 (42%) | 4.2 (59%) |
| C max(micromol/L) | 4.7 (37%) | 2.1 (45%) |
| T max(hours) | 1.6 | 1.6 |
| t 1/2(hours) | 1.5 | 1.2 |
1Values represent the geometric mean, except the T max, which is the arithmetic mean;
CV = Coefficient of variation
Esomeprazole is a time-dependent inhibitor of CYP2C19, resulting in autoinhibition and nonlinear pharmacokinetics. The systemic exposure increases in a more than dose proportional manner after multiple oral doses of esomeprazole.
Compared to the first dose, the systemic exposure (Cmax and AUC 0-24h) at steady state following once a day dosing increased by 43% and 90%, respectively, compared to after the first dose for the 20 mg dose and increased by 95% and 159%, respectively, for the 40 mg dose.
Distribution
Esomeprazole is 97% bound to plasma proteins. Plasma protein binding is constant over the concentration range of 2 to 20 micromol/L. The apparent volume of distribution at steady state in healthy subjects is approximately 16 L.
Elimination
Metabolism
Esomeprazole is extensively metabolized in the liver by the cytochrome P450 (CYP) enzyme system. The metabolites of esomeprazole lack antisecretory activity. The major part of esomeprazole’s metabolism is dependent upon the CYP2C19 isoenzyme, which forms the hydroxy and desmethyl metabolites. The remaining amount is dependent on CYP 3A4 which forms the sulphone metabolite.
Excretion
The plasma elimination half-life of esomeprazole is approximately 1 to 1.5 hours. Less than 1% of parent drug is excreted in the urine. Approximately 80% of an oral dose of esomeprazole is excreted as inactive metabolites in the urine, and the remainder is found as inactive metabolites in the feces.
Combination Therapy with Amoxicillin and Clarithromycin
Esomeprazole magnesium delayed-release capsules 40 mg once daily was given in combination with amoxicillin 1,000 mg twice daily and clarithromycin 500 mg twice daily for 7 days to 17 healthy male and female subjects. The mean steady state AUC and C maxof esomeprazole increased by 70% and 18%, respectively during combination therapy compared to treatment with esomeprazole alone. The observed increase in esomeprazole exposure during co-administration with amoxicillin and clarithromycin is not expected to be clinically relevant.
The pharmacokinetic parameters for amoxicillin and clarithromycin were similar during combination therapy and administration of each drug alone. However, the mean AUC and C maxfor 14-hydroxyclarithromycin increased by 19% and 22%, respectively, during combination therapy compared to treatment with clarithromycin alone. This increase in exposure to 14-hydroxyclarithromycin is not considered to be clinically relevant.
Specific Populations
Geriatric Patients
The AUC and C maxvalues of esomeprazole were slightly higher (25% and 18%, respectively) in the elderly as compared to younger subjects at steady state. This increase in exposure is not considered clinically relevant.
Pediatric Patients
12 Years to 17 Years of Age
The pharmacokinetics of esomeprazole magnesium were studied in 28 adolescent patients with GERD aged 12 to 17 years inclusive, in a single center study. Patients were randomized to receive esomeprazole magnesium 20 mg or 40 mg once daily for 8 days. Mean C maxand AUC values of esomeprazole were not affected by body weight or age; and more than dose-proportional increases in mean C maxand AUC values were observed between the two dose groups in the study. Overall, esomeprazole magnesium pharmacokinetics in adolescent patients aged 12 to 17 years were similar to those observed in adult patients with symptomatic GERD. See Table 9.
Table 9: Comparison of Esomeprazole Pharmacokinetic Parameters Following Once Daily Dosing of Esomeprazole Magnesium Delayed-Release Capsules in Pediatric Patients 12 Years to 17 Years with GERD and Adults with Symptomatic GERD 1
| Parameter | Esomeprazole Magnesium Delayed-Release Capsules | |||
| 12 Years to 17 Years Olds
(N=28) | Adults
(N=36) |
|||
| 20 mg once daily for 8 days | 40 mg once daily for 8 days | 20 mg once daily for 5 days | 40 mg once daily for 5 days | |
| AUC (micromol·h/L) | 3.65 | 13.86 | 4.2 | 12.6 |
| C max(micromol/L) | 1.45 | 5.13 | 2.1 | 4.7 |
| t max(h) | 2.00 | 1.75 | 1.6 | 1.6 |
| t ½lz(h) | 0.82 | 1.22 | 1.2 | 1.5 |
| Data presented are geometric means for AUC, C maxand t ½lz, and median value for t max. | ||||
1 Data obtained from two independent studies
Male and Female Patients
The AUC and C maxvalues of esomeprazole were slightly higher (13%) in females than in males at steady state when dosed orally. This increase in exposure is not considered clinically relevant.
Patients with Renal Impairment
The pharmacokinetics of esomeprazole magnesium in patients with renal impairment are not expected to be altered relative to healthy subjects as less than 1% of esomeprazole is excreted unchanged in urine.
Patients with Hepatic Impairment
The steady state pharmacokinetics of esomeprazole obtained after administration of esomeprazole magnesium delayed-release capsules 40 mg orally once daily to patients with mild (Child-Pugh A, n=4), moderate (Child-Pugh Class B, n=4), and severe (Child-Pugh Class C, n=4) hepatic impairment were compared to those obtained in 36 male and female GERD patients with normal liver function. In patients with mild and moderate hepatic impairment, the AUCs were within the range that could be expected in patients with normal liver function. In patients with severe hepatic impairment the AUCs were 2 to 3 times higher than in the patients with normal liver function [see Use in Specific Populations ( 8.6)].
Drug Interaction Studies
Effect of Esomeprazole/Omeprazole on Other Drugs
In vitro and in vivo studies have shown that esomeprazole is not likely to inhibit CYPs 1A2, 2A6, 2C9, 2D6, 2E1 and 3A4.
Antiretrovirals
For some antiretroviral drugs, such as rilpivirine, atazanavir and nelfinavir, decreased serum concentrations have been reported when given together with omeprazole [see Drug Interactions ( 7)].
Rilpivirine:
Following multiple doses of rilpivirine (150 mg, daily) and omeprazole (20 mg, daily), AUC was decreased by 40%, C maxby 40%, and C minby 33% for rilpivirine [see Contraindications ( 4)].
Nelfinavir:
Following multiple doses of nelfinavir (1250 mg, twice daily) and omeprazole (40 mg daily), AUC was decreased by 36% and 92%, C maxby 37% and 89% and C minby 39% and 75% respectively for nelfinavir and M8.
Atazanavir:
Following multiple doses of atazanavir (400 mg, daily) and omeprazole (40 mg, daily, 2 hours before atazanavir), AUC was decreased by 94%, C maxby 96%, and C minby 95%.
Saquinavir:
Following multiple dosing of saquinavir/ritonavir (1000/100 mg) twice daily for 15 days with omeprazole 40 mg daily coadministered days 11 to 15. The AUC was increased by 82%, C maxby 75%, and C minby 106%. The mechanism behind this interaction is not fully elucidated.
Clopidogrel
In a crossover study, healthy subjects were administered clopidogrel (300 mg loading dose followed by 75 mg per day as the maintenance dosage for 28 days) alone and with esomeprazole (40 mg orally once daily at the same time as clopidogrel) for 29 days. Exposure to the active metabolite of clopidogrel was reduced by 35% to 40% over this time period when clopidogrel and esomeprazole were administered together. Pharmacodynamic parameters were also measured and demonstrated that the change in inhibition of platelet aggregation was related to the change in the exposure to clopidogrel active metabolite [see Warnings and Precautions ( 5.7) and Drug Interactions ( 7)].
Mycophenolate Mofetil
Administration of omeprazole 20 mg twice daily for 4 days and a single 1000 mg dose of MMF approximately one hour after the last dose of omeprazole to 12 healthy subjects in a cross-over study resulted in a 52% reduction in the C maxand 23% reduction in the AUC of MPA [see Drug Interactions (7)].
Cilostazol
Omeprazole acts as an inhibitor of CYP2C19. Omeprazole, given in doses of 40 mg daily for one week to 20 healthy subjects in cross-over study, increased C maxand AUC of cilostazol by 18% and 26% respectively. The C maxand AUC of one of the active metabolites, 3,4-dihydro-cilostazol, which has 4 to 7 times the activity of cilostazol, were increased by 29% and 69%, respectively. Co-administration of cilostazol with omeprazole is expected to increase concentrations of cilostazol and the above mentioned active metabolite [see Drug Interactions ( 7)].
Diazepam
Co-administration of esomeprazole 30 mg and diazepam, a CYP2C19 substrate, resulted in a 45% decrease in clearance of diazepam. Increased plasma levels of diazepam were observed 12 hours after dosing and onwards. However, at that time, the plasma levels of diazepam were below the therapeutic interval, and thus this interaction is unlikely to be of clinical relevance.
Digoxin
Concomitant administration of omeprazole 20 mg once daily and digoxin in healthy subjects increased the bioavailability of digoxin by 10% (30% in two subjects) [see Drug Interactions ( 7)].
Other Drugs
Concomitant administration of esomeprazole and either naproxen (non-selective NSAID) did not identify any clinically relevant changes in the pharmacokinetic profiles of these NSAIDs.
Effect of Other Drugs on Esomeprazole/Omeprazole
St. John’s Wort
In a cross-over study in 12 healthy male subjects, St. John’s Wort (300 mg three times daily for 14 days) significantly decreased the systemic exposure of omeprazole in CYP2C19 poor metabolizers (C maxand AUC both decreased by 38%) and extensive metabolizers (C maxand AUC decreased by 50% and 44%, respectively) [see Drug Interactions ( 7)].
Voriconazole
Concomitant administration of omeprazole and voriconazole (a combined inhibitor of CYP2C19 and CYP3A4) resulted in more than doubling of the omeprazole exposure. When voriconazole (400 mg every 12 hours for one day, followed by 200 mg once daily for 6 days) was given with omeprazole (40 mg once daily for 7 days) to healthy subjects, the steady-state Cmax and AUC0-24 of omeprazole significantly increased: an average of 2 times (90% CI: 1.8, 2.6) and 4 times (90% CI: 3.3, 4.4), respectively, as compared to when omeprazole was given without voriconazole [see Drug Interactions ( 7)].
Other Drugs
Co-administration of esomeprazole with oral contraceptives, diazepam, phenytoin, quinidine, naproxen (non-selective NSAID) did not seem to change the pharmacokinetic profile of esomeprazole.
Esomeprazole magnesium, amoxicillin, and clarithromycin triple therapy has been shown to be active against most strains of Helicobacter pylori( H. pylori) in vitroand in clinical infections [see Indications and Usage ( 1) and Clinical Studies ( 14)].
Helicobacter pylori:Susceptibility testing of H. pyloriisolates was performed for amoxicillin and clarithromycin using agar dilution methodology, and minimum inhibitory concentrations (MICs) were determined.
Pretreatment Resistance:Clarithromycin pretreatment resistance rate (MIC ≥ 1 mcg/mL) to H. pyloriwas 15% (66/445) at baseline in all treatment groups combined. A total of > 99% (394/395) of patients had H. pyloriisolates that were considered to be susceptible (MIC ≤ 0.25 mcg/mL) to amoxicillin at baseline. One patient had a baseline H. pyloriisolate with an amoxicillin MIC = 0.5 mcg/mL.
Clarithromycin Susceptibility Test Results and Clinical/Bacteriologic Outcomes:The baseline H. pyloriclarithromycin susceptibility results and the H. pylorieradication results at the Day 38 visit are shown in the Table 10:
Table 10: Clarithromycin Susceptibility Test Results and Clinical/Bacteriological Outcomes 1for Triple Therapy - (Esomeprazole Magnesium Delayed-Release Capsules 40 mg once daily, Amoxicillin 1,000 mg twice daily and Clarithromycin 500 mg twice daily for 10 days)
| Clarithromycin Pretreatment Results | H. pylori
n egative (Eradicated) | H. pylori positive (Not Eradicated)Post-treatment susceptibility results | ||||
| S 2 | I 2 | R 2 | No MIC | |||
| Susceptible 2 | 182 | 162 | 4 | 0 | 2 | 14 |
| Intermediate 2 | 1 | 1 | 0 | 0 | 0 | 0 |
| Resistan t2 | 29 | 13 | 1 | 0 | 13 | 2 |
1. Includes only patients with pretreatment and post-treatment clarithromycin susceptibility test results
2. Susceptible (S) MIC ≤ 0.25 mcg/mL, Intermediate (I) MIC = 0.5 mcg/mL, Resistant (R) MIC ≥ 1.0 mcg/mL
Patients not eradicated of H. pylorifollowing triple therapy with esomeprazole magnesium, amoxicillin and clarithromycin will likely have clarithromycin resistant H. pyloriisolates. Therefore, clarithromycin susceptibility testing should be done, when possible. Patients with clarithromycin resistant H. pylorishould not be re-treated with a clarithromycin-containing regimen.
Amoxicillin Susceptibility Test Results and Clinical/Bacteriological Outcomes:
In patients treated with esomeprazole magnesium, amoxicillin and clarithromycin in clinical trials, 83% (176/212) of the patients who had pretreatment amoxicillin susceptible MICs (≤ 0.25 mcg/mL) were eradicated of H. pylori, and 17% (36/212) were not eradicated of H. pylori. Of the 36 patients who were not eradicated of H. pylori, 16 had no post-treatment susceptibility test results and 20 had post-treatment H. pyloriisolates with amoxicillin susceptible MICs. Fifteen of the patients who were not eradicated of H. pylori also had post-treatment H. pyloriisolates with clarithromycin resistant MICs. There were no patients with H. pylori isolates who developed treatment emergent resistance to amoxicillin.
Susceptibility Test for Helicobacter pylori:For susceptibility testing information about Helicobacter pylori, see Microbiology section in prescribing information for clarithromycin and amoxicillin.
Effects on Gastrointestinal Microbial Ecology:Decreased gastric acidity due to any means, including proton pump inhibitors, increases gastric counts of bacteria normally present in the gastrointestinal tract. Treatment with proton pump inhibitors may lead to slightly increased risk of gastrointestinal infections such as Salmonellaand Campylobacterand possibly Clostridium difficilein hospitalized patients.
CYP2C19, a polymorphic enzyme, is involved in the metabolism of esomeprazole. The CYP2C19*1 allele is fully functional while the CYP2C19*2 and *3 alleles are nonfunctional. There are other alleles associated with no or reduced enzymatic function. Patients carrying two fully functional alleles are extensive metabolizers and those carrying two loss-of-function alleles are poor metabolizers. The systemic exposure to esomeprazole varies with a patient’s metabolism status: poor metabolizers > intermediate metabolizers > extensive metabolizers. Approximately 3% of Caucasians and 15 to 20% of Asians are CYP2C19 poor metabolizers.
Systemic esomeprazole exposures were modestly higher (approximately 17%) in CYP2C19 intermediate metabolizers (IM; n=6) compared to extensive metabolizers (EM; n=17) of CYP2C19. Similar pharmacokinetic differences were noted across these genotypes in a study of Chinese healthy subjects that included 7 EMs and 11 IMs. There is very limited pharmacokinetic information for poor metabolizers (PM) from these studies.
At steady state following once daily administration of esomeprazole 40 mg, the ratio of AUC in poor metabolizers to AUC in the rest of the population (EMs) is approximately 1.5. This change in exposure is not considered clinically meaningful.
The carcinogenic potential of esomeprazole magnesium was assessed using studies of omeprazole, of which esomeprazole is an enantiomer. In two 24-month oral carcinogenicity studies in rats, omeprazole at daily doses of 1.7, 3.4, 13.8, 44, and 140.8 mg/kg/day (about 0.4 to 34 times the human dose of 40 mg/day expressed on a body surface area basis) produced gastric ECL cell carcinoids in a dose-related manner in both male and female rats; the incidence of this effect was markedly higher in female rats, which had higher blood levels of omeprazole. Gastric carcinoids seldom occur in the untreated rat. In addition, ECL cell hyperplasia was present in all treated groups of both sexes. In one of these studies, female rats were treated with 13.8 mg omeprazole/kg/day (about 3.4 times the human dose of 40 mg/day on a body surface area basis) for 1 year, then followed for an additional year without the drug. No carcinoids were seen in these rats. An increased incidence of treatment-related ECL cell hyperplasia was observed at the end of 1 year (94% treated vs. 10% controls). By the second year the difference between treated and control rats was much smaller (46% vs. 26%) but still showed more hyperplasia in the treated group. Gastric adenocarcinoma was seen in one rat (2%). No similar tumor was seen in male or female rats treated for 2 years. For this strain of rat no similar tumor has been noted historically, but a finding involving only one tumor is difficult to interpret. A 78-week mouse carcinogenicity study of omeprazole did not show increased tumor occurrence, but the study was not conclusive.
Esomeprazole was negative in the Ames mutation test, in the in vivorat bone marrow cell chromosome aberration test, and the in vivomouse micronucleus test. Esomeprazole, however, was positive in the in vitrohuman lymphocyte chromosome aberration test. Omeprazole was positive in the in vitrohuman lymphocyte chromosome aberration test, the in vivomouse bone marrow cell chromosome aberration test, and the in vivomouse micronucleus test.
The potential effects of esomeprazole on fertility and reproductive performance were assessed using omeprazole studies. Omeprazole at oral doses up to 138 mg/kg/day in rats (about 34 times the human dose of 40 mg/day on a body surface area basis) was found to have no effect on reproductive performance of parental animals.
Reproduction Studies
Reproduction studies have been performed in rats at oral doses up to 280 mg/kg/day (about 68 times an oral human dose of 40 mg on a body surface area basis) and in rabbits at oral doses up to 86 mg/kg/day (about 42 times an oral human dose of 40 mg on a body surface area basis) and have revealed no evidence of impaired fertility or harm to the fetus due to esomeprazole [ see Use in Specific Populations (8.1)].
Juvenile Animal Study
A 28-day toxicity study with a 14-day recovery phase was conducted in juvenile rats with esomeprazole magnesium at doses of 70 to 280 mg /kg/day (about 17 to 68 times a daily oral human dose of 40 mg on a body surface area basis). An increase in the number of deaths at the high dose of 280 mg/kg/day was observed when juvenile rats were administered esomeprazole magnesium from postnatal day 7 through postnatal day 35. In addition, doses equal to or greater than 140 mg/kg/day (about 34 times a daily oral human dose of 40 mg on a body surface area basis), produced treatment-related decreases in body weight (approximately 14%) and body weight gain, decreases in femur weight and femur length, and affected overall growth. Comparable findings described above have also been observed in this study with another esomeprazole salt, esomeprazole strontium, at equimolar doses of esomeprazole.
The healing rates of esomeprazole magnesium delayed-release capsules 40 mg, esomeprazole magnesium delayed-release capsules 20 mg, and omeprazole delayed-release capsules 20 mg (the approved dose for this indication) once daily were evaluated in adult patients with endoscopically diagnosed EE in four multicenter, double-blind, randomized studies. The healing rates at Weeks 4 and 8 were evaluated and are shown in Table 11:
Table 11: EE Healing Rate (Life-Table Analysis) in Adults with EE Treated with Esomeprazole Magnesium Delayed-Release Capsules or Omeprazole Delayed-Release Capsules Once Daily in Four Clinical Studies
| Study | No. of Patients | Treatment Groups | EE Healing Rates | Significance Level 1 | |
| Week 4 | Week 8 | ||||
| 1 | 588
588 | Esomeprazole magnesium 20 mg
Omeprazole 20 mg | 68.7%
69.5% | 90.6%
88.3% | N.S.
|
| 2 | 654
656 650 | Esomeprazole magnesium 40 mg
Esomeprazole magnesium 20 mg Omeprazole 20 mg | 75.9%
70.5% 64.7% | 94.1%
89.9% 86.9% | p < 0.001
p< 0.05 |
| 3 | 576
572 | Esomeprazole magnesium 40 mg
Omeprazole 20 mg | 71.5%
68.6% | 92.2%
89.8% | N.S.
|
| 4 | 1216
1209 | Esomeprazole magnesium 40 mg
Omeprazole 20 mg | 81.7%
68.7% | 93.7%
84.2% | p < 0.001
|
N.S. = not significant (p > 0.05).
1log-rank test vs. omeprazole 20 mg
In these same studies of patients with EE, sustained heartburn resolution and time to sustained heartburn resolution were evaluated and are shown in the Table 12:
Table 12: Sustained Resolution1 of Heartburn in Adults with EE Treated with Esomeprazole Magnesium Delayed-Release Capsules or Omeprazole Delayed-Release Capsules Once Daily in Four Clinical Studies
| Study | No. of Patients | Treatment Group | Cumulative Percent 2with Sustained Resolution | ||
| Day 14 | Day 28 | Significance Level 3 | |||
| 1 | 573
555 | Esomeprazole magnesium 20 mg
Omeprazole 20 mg | 64.3%
64.1% | 72.7%
70.9% | N.S. |
| 2 | 621
620 626 | Esomeprazole magnesium 40 mg
Esomeprazole magnesium 20 mg Omeprazole 20 mg | 64.8%
62.9% 56.5% | 74.2%
70.1% 66.6% | p <0.001
|
| 3 | 568
551 | Esomeprazole magnesium 40 mg
Omeprazole 20 mg | 65.4%
65.5% | 73.9%
73.1% | N.S. |
| 4 | 1187
1188 | Esomeprazole magnesium 40 mg
Omeprazole 20 mg | 67.6%
62.5% | 75.1%
70.8% | p <0.001 |
1Defined as 7 consecutive days with no heartburn reported in daily patient diary.
2Defined as the cumulative proportion of patients who have reached the start of sustained resolution
3log-rank test vs. omeprazole 20 mg
N.S. = not significant (p > 0.05).
In these four studies, the range of median days to the start of sustained resolution (defined as 7 consecutive days with no heartburn) was 5 days for esomeprazole magnesium 40 mg, 7 to 8 days for esomeprazole magnesium 20 mg and 7 to 9 days for omeprazole 20 mg.
There are no comparisons of 40 mg of esomeprazole magnesium with 40 mg of omeprazole in clinical trials assessing either healing or symptomatic relief of EE.
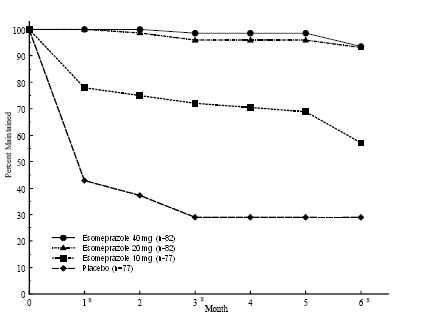
Two multicenter, randomized, double-blind placebo-controlled 4-arm studies were conducted in adult patients with endoscopically confirmed, healed EE to evaluate esomeprazole magnesium delayed-release capsules 40 mg (n=174), 20 mg (n=180), 10 mg (n=168) or placebo (n=171) once daily over six months of treatment.
No additional clinical benefit was seen with esomeprazole magnesium 40 mg over esomeprazole magnesium 20 mg. Esomeprazole magnesium delayed-release capsules 40 mg once daily is not a recommended regimen for the maintenance of healing of EE in adults.
The percentages of patients that maintained healing of EE at the various time points are shown in the Figures 2 and 3:
Figure 2: Maintenance of Healing Rates of EE in Adults by Month (Study 177)

s= scheduled visit
Figure 3: Maintenance of EE Healing Rates in Adults by Month (Study 178)

s= scheduled visit
Patients remained in remission significantly longer and the number of recurrences of EE was significantly less in patients treated with esomeprazole magnesium compared to placebo.
In both studies, the proportion of patients on esomeprazole magnesium who remained in remission and were free of heartburn and other GERD symptoms was well differentiated from placebo.
In a third multicenter open label study of 808 patients treated for 12 months with esomeprazole magnesium 40 mg, the percentage of patients that maintained healing of EE was 93.7% for six months and 89.4% for one year.
Two multicenter, randomized, double-blind, placebo-controlled studies were conducted in a total of 717 adult patients comparing four weeks of treatment with esomeprazole magnesium delayed-release capsules 20 mg or 40 mg once daily versus placebo for resolution of GERD symptoms. Patients had at least a 6-month history of heartburn episodes, no EE by endoscopy, and heartburn on at least four of the seven days immediately preceding randomization.
The percentage of patients that were symptom-free of heartburn was significantly higher in the esomeprazole magnesium groups compared to placebo at all follow-up visits (Weeks 1, 2, and 4).
No additional clinical benefit was seen with esomeprazole magnesium 40 mg over esomeprazole magnesium 20 mg. Esomeprazole magnesium 40 mg once daily is not a recommended regimen for the treatment of symptomatic GERD in adults.
The percent of patients symptom-free of heartburn by day are shown in the Figures 4 and 5:
Figure 4: Percent of Patients Symptom-Free of Heartburn by Day (Study 225)

Figure 5: Percent of Patients Symptom-Free of Heartburn by Day (Study 226)

In three European symptomatic GERD trials, esomeprazole magnesium 20 mg and 40 mg and omeprazole 20 mg were evaluated. No significant treatment related differences were seen.
12 Years to 17 Years of Age
In a multicenter, randomized, double-blind, parallel-group study, 149 adolescent patients (12 to 17 years of age; 89 female; 124 Caucasian, 15 Black, 10 Other) with clinically diagnosed GERD were treated with esomeprazole magnesium delayed-release capsules 20 mg or 40 mg once daily for up to 8 weeks to evaluate safety and tolerability. Patients were not endoscopically characterized as to the presence or absence of EE.
Two multicenter, double-blind, placebo-controlled studies were conducted in adult patients at risk of developing gastric and/or duodenal ulcers associated with continuous use of non-selective and COX-2 selective NSAIDs. A total of 1,429 patients were randomized across the 2 studies. Patients ranged in age from 19 to 89 (median age 66 years) with 71% female, 29% male, 83% Caucasian, 5% Black, 4% Asian, and 8% Others. At baseline, the patients in these studies were endoscopically confirmed not to have ulcers but were determined to be at risk for ulcer occurrence due to their age (at least 60 years) and/or history of a documented gastric or duodenal ulcer within the past 5 years. Patients receiving NSAIDs and treated with esomeprazole magnesium delayed-release capsules 20 mg or 40 mg once daily experienced significant reduction in gastric ulcer occurrences relative to placebo treatment at 26 weeks. See Table 13. No additional benefit was seen with esomeprazole magnesium 40 mg over esomeprazole magnesium 20 mg. Esomeprazole magnesium 40 mg once daily is not a recommended regimen for the risk reduction of NSAID-associated gastric ulcer in adults. These studies did not demonstrate significant reduction in the development of NSAID-associated duodenal ulcer due to the low incidence.
Table 13: Cumulative Percentage of Patients at Least 60 Years of Age Taking NSAIDS Without Gastric Ulcers at 26 Weeks in Two Randomized Placebo-Controlled Studies
| Study | No. of Patients | Treatment Group | % of Patients Remaining Gastric Ulcer Free 1 |
| 1 | 191
194 184 | Esomeprazole magnesium 20 mg Esomeprazole magnesium 40 mg Placebo | 95.4
96.7 88.2 |
| 2 | 267
271 257 | Esomeprazole magnesium 20 mg Esomeprazole magnesium 40 mg Placebo | 94.7
95.3 83.3 |
1%= Life Table Estimate. Significant difference from placebo (p<0.01).
Two multicenter, randomized, double-blind studies were conducted in adult patients using a 10- day treatment regimen of triple therapy (esomeprazole magnesium, amoxicillin and clarithromycin). The first study (191) compared esomeprazole magnesium delayed-release capsules 40 mg once daily in combination with amoxicillin 1,000 mg twice daily and clarithromycin 500 mg twice daily to esomeprazole magnesium delayed-release capsules 40 mg once daily plus clarithromycin 500 mg twice daily. The second study (193) compared esomeprazole magnesium 40 mg once daily in combination with amoxicillin 1,000 mg twice daily and clarithromycin 500 mg twice daily to esomeprazole magnesium delayed-release capsules 40 mg once daily. H. pylorieradication rates, defined as at least two negative tests and no positive tests from CLOtest ®, histology and/or culture, at 4 weeks post-therapy were significantly higher in the esomeprazole magnesium, amoxicillin and clarithromycin group than in the esomeprazole magnesium and clarithromycin group or the esomeprazole magnesium alone group. The results are shown in Table 14:
Table 14:H. pyloriEradication Rates at 4 Weeks after 10 Day Treatment Regimen % of Adult Patients Cured [95% Confidence Interval] (Number of Patients)
| Study | Treatment Group | Per-Protocol 1 | Intent-to-Treat 2 |
| 191 | Esomeprazole magnesium, amoxicillin and clarithromycin | 84%
3
[78, 89] (n=196) | 77%
[71, 82] (n=233) |
| Esomeprazole magnesium, clarithromycin | 55%
[48, 62](n=187) | 52%
[45, 59] (n=215) |
|
| 193 | Esomeprazole magnesium, amoxicillin and clarithromycin | 85%
[74, 93](n=67) | 78% 4[67, 87] (n=74) |
| Esomeprazole magnesium | 5%
[0, 23](n=22) | 4%
[0, 21](n=24) |
1. Patients were included in the analysis if they had H. pyloriinfection documented at baseline, had at least one endoscopically verified duodenal ulcer ≥ 0.5 cm in diameter at baseline or had a documented history of duodenal ulcer disease within the past 5 years, and were not protocol violators.
2. Patients who dropped out of the study due to an adverse reaction related to the study drug were included in the analysis as not H. pylori eradicated. Patients were included in the analysis if they had documented H. pyloriinfection at baseline, had at least one documented duodenal ulcer at baseline, or had a documented history of duodenal ulcer disease, and took at least one dose of study medication. All dropouts were included as not H. pylorieradicated.
3. p < 0.05 compared to esomeprazole magnesium plus clarithromycin.
4. p < 0.05 compared to esomeprazole magnesium alone.
The percentage of patients with a healed baseline duodenal ulcer by 4 weeks after the 10-day treatment regimen in the esomeprazole magnesium, amoxicillin and clarithromycin group was 75% (n=156) and 57% (n=60) respectively, in the 191 and 193 studies (per-protocol analysis).
In a multicenter, open-label dose-escalation study of 21 adult patients (15 males and 6 females, 18 Caucasian and 3 Black, mean age of 56 years) with pathological hypersecretory conditions, such as Zollinger-Ellison Syndrome, esomeprazole magnesium significantly inhibited gastric acid secretion. The initial dosage of esomeprazole magnesium delayed-release capsules was 40 mg twice daily in 19 patients and 80 mg twice daily in 2 patients. Total daily doses ranging from 80 mg to 240 mg for 12 months maintained gastric acid output below the target levels of 10 mEq/h in patients without prior gastric acid-reducing surgery and below 5 mEq/hr in patients with prior gastric acid-reducing surgery. At the Month 12 final visit, 18/20 (90%) patients had Basal Acid Output (BAO) under satisfactory control (median BAO = 0.17 mmol/hr). Of the 18 patients evaluated with a starting dose of esomeprazole magnesium 40 mg twice daily, 13 (72%) had their BAO controlled with the original dosing regimen at the final visit. See Table 15.
Table 15: Adequate Acid Suppression at Final Visit by Dosage Regimen in Adult Patients with Pathological Hypersecretory Conditions
| Esomeprazole magnesium dose at the Month 12 visit | BAO under adequate control at the Month 12 visit (N=20) 1 |
| 40 mg twice daily | 13/15 |
| 80 mg twice daily | 4/4 |
| 80 mg three times daily | 1/1 |
1One patient was not evaluated.
Esomeprazole magnesium delayed-release capsules USP, 20 mg are pale yellow to brown colored pellets filled in Size ‘4’ empty hard gelatin capsule shell with light blue cap and dark blue body imprinted with ‘RDY’ on cap and ‘492’ on body with black ink.
Esomeprazole magnesium delayed-release capsules USP, 40 mg are pale yellow to brown colored pellets filled in Size ‘3’ empty hard gelatin capsule shell with light blue cap and dark blue body imprinted with ‘RDY’ on cap and ‘493’ on body with black ink.
NDC: 50268-272-13 (5 capsules per card, 6 cards per carton)
Dispensed in Unit Dose Packaging. For Institutional Use Only.
Store at 20°-25°C (68°-77°F). [See USP Controlled Room Temperature]. Keep esomeprazole magnesium delayed-release capsules container tightly closed. Dispense in a tight container if the esomeprazole magnesium delayed-release capsules product package is subdivided.
Advise the patient to read the FDA-approved patient labeling (Medication Guide and Instructions for Use).
Acute Tubulointerstitial Nephritis
Advise the patient or caregiver to call the patient’s healthcare provider immediately if they experience signs and/or symptoms associated with suspected acute TIN [see Warnings and Precautions ( 5.2)].
Clostridium difficile-Associated Diarrhea
Advise the patient or caregiver to immediately call the patient’s healthcare provider if they experience diarrhea that does not improve [see Warnings and Precautions ( 5.3)].
Bone Fracture
Advise the patient or caregiver to report any fractures, especially of the hip, wrist or spine, to the patient’s healthcare provider [see Warnings and Precautions ( 5.4)].
Severe Cutaneous Adverse Reactions
Advise the patient or caregiver to discontinue esomeprazole magnesium delayed-release capsules and immediately call the patient’s healthcare provider for at first appearance of a severe cutaneous adverse reaction or other sign of hypersensitivity signs or symptoms associated with Severe Cutaneous Adverse Reactions [see Warnings and Precautions ( 5.5)].
Cutaneous and Systemic Lupus Erythematosus
Advise the patient or caregiver to immediately call the patient’s healthcare provider for any new or worsening of symptoms associated with cutaneous or systemic lupus erythematosus [see Warnings and Precautions ( 5.6)].
Cyanocobalamin (Vitamin B-12) Deficiency
Advise the patient or caregiver to report any clinical symptoms that may be associated with cyanocobalamin deficiency to the patient’s healthcare provider if they have been receiving esomeprazole magnesium delayed-release capsules for longer than 3 years [see Warnings and Precautions ( 5.8)].
Hypomagnesemia and Mineral Metabolism
Advise the patient or caregiver to report any clinical symptoms that may be associated with hypomagnesemia, hypocalcemia, and/or hypokalemia to the patient’s healthcare provider, if they have been receiving esomeprazole magnesium delayed-release capsules for at least 3 months [see Warnings and Precautions ( 5.9)].
Drug Interactions
Advise the patient or caregiver to report to their healthcare provider if starting treatment with rilpivirine-containing products, clopidogrel, St. John’s Wort or rifampin; or, if they take high-dose methotrexate [see Contraindications ( 4), Warnings and Precautions ( 5.7, 5.10, 5.12)].
Administration
1. Add one tablespoon of applesauce to an empty bowl. The applesauce used should not be hot and should be soft enough to be swallowed without chewing.
2. Open the esomeprazole magnesium delayed-release capsule and carefully empty the granules inside the capsule onto the applesauce.
3. Mix the granules with the applesauce.
4. Administer the mixture immediately. Do not chew or crush the granules
5. Discard any remaining mixture. Do not store the mixture for future use.
Dispense with Medication Guide available at:
www.avkare.com
Rx only
Manufactured for:
AvKARE
Pulaski, TN 38478
Mfg.Rev. 07/23
AV 03/26(M)
AvPAK
Dispense with Medication Guide available at:
www.avkare.com
| MEDICATION GUIDE
Esomeprazole Magnesium(es" oh mep' ra zole mag nee' zee um) Delayed-Release Capsules, USP |
| What is the most important information I should know about esomeprazole magnesium delayed-release capsules?
Esomeprazole magnesium delayed-release capsules may help your acid-related symptoms, but you could still have serious stomach problems. Talk with your doctor. Esomeprazole magnesium delayed-release capsules can cause serious side effects, including:
Esomeprazole magnesium delayed-release capsules can have other serious side effects. See “What are the possible side effects of esomeprazole magnesium delayed-release capsules?” |
| What are esomeprazole magnesium delayed-release capsules?
A prescription medicine called a proton pump inhibitor (PPI) used to reduce the amount the amount of acid in your stomach. Esomeprazole magnesium delayed-release capsules are used in adults for:
|
Do not take esomeprazole magnesium delayed-release capsules if you are:
|
Before taking esomeprazole magnesium delayed-release capsules, tell your doctor about all of your medical conditions, including if you:
Tell your doctor about all of the medicines you take, including prescription and over-the-counter medicines, vitamins, and herbal supplements. Especially tell your doctor if you take:clopidogrel (Plavix), methotrexate (Otrxup, Rasuvo, Trexall, XATMEP), digoxin (LANOXIN), rilpivirine (EDURANT), St. John’s Wort (Hypericum perforatum), or rifampin (Rimactane, Rifater, Rifamate). |
How should I takeesomeprazole magnesium delayed-release capsules?
|
| What are the possible side effects of esomeprazole magnesium delayed-release capsules?
Esomeprazole magnesium delayed-release capsules can cause serious side effects, including:
These symptoms may be the first sign of a severe skin reaction.The most common side effects of esomeprazole magnesium delayed-release capsules include:
|
How should I storeesomeprazole magnesium delayed-release capsules?
|
| General information about the safe and effective use ofesomeprazole magnesium delayed-release capsules.
Medicines are sometimes prescribed for purposes other than those listed in a Medication Guide. Do not use esomeprazole magnesium delayed-release capsules for a condition for which it was not prescribed. Do not give esomeprazole magnesium delayed-release capsules to other people, even if they have the same symptoms you have. It may harm them. You can ask your pharmacist or doctor for information about esomeprazole magnesium delayed-release capsules that is written for health professionals. |
| What are the ingredients in esomeprazole magnesium delayed-release capsules?
Active ingredient: esomeprazole magnesium trihydrate Inactive ingredients in esomeprazole magnesium delayed-release capsules (including the capsule shells): glyceryl monostearate, hydroxypropyl cellulose, hypromellose, magnesium stearate, methacrylic acid copolymer, polysorbate 80, simethicone, sugar spheres, talc and triethyl citrate. The capsule shells have the following inactive ingredients: gelatin, FD&C Blue #1, titanium dioxide, ammonia solution, black iron oxide, butyl alcohol, dehydrated alcohol, isopropyl alcohol, propylene glycol, potassium hydroxide and shellac. For more information, call 1-855-361-3993. |
This Medication Guide has been approved by the U.S. Food and Drug Administration.
Instructions for Use
Esomeprazole magnesium delayed release capsule may be given through a nasogastric tube (NG tube).
Esomeprazole magnesium delayed-release capsules:
This Instructions for Use has been approved by the U.S Food and Drug Administration.
Rx only
Manufactured for:
AvKARE
Pulaski, TN 38478
Revised: 07/23
AV 03/26(M)
AvPAK
| ESOMEPRAZOLE MAGNESIUM
esomeprazole magnesium capsule, delayed release |
||||||||||||||||||||||||||||||||||||||||||||||
|
||||||||||||||||||||||||||||||||||||||||||||||
|
||||||||||||||||||||||||||||||||||||||||||||||
|
||||||||||||||||||||||||||||||||||||||||||||||
|
||||||||||||||||||||||||||||||||||||||||||||||
|
||||||||||||||||||||||||||||||||||||||||||||||
|
||||||||||||||||||||||||||||||||||||||||||||||
| Labeler - AvPAK (832926666) |