Mifepristone by Corcept Therapeutics Incorporated MIFEPRISTONE tablet

Mifepristone by

Drug Labeling and Warnings

Mifepristone by is a Prescription medication manufactured, distributed, or labeled by Corcept Therapeutics Incorporated. Drug facts, warnings, and ingredients follow.

Drug Details [pdf]

  • BOXED WARNING (What is this?)

    WARNING: TERMINATION OF PREGNANCY

    Mifepristone is a potent antagonist of progesterone and cortisol via the progesterone and glucocorticoid (GR-II) receptors, respectively. The antiprogestational effects will result in the termination of pregnancy. Pregnancy must therefore be excluded before the initiation of treatment with mifepristone and prevented during treatment and for one month after stopping treatment by the use of a non-hormonal medically acceptable method of contraception unless the patient has had a surgical sterilization, in which case no additional contraception is needed. Pregnancy must also be excluded if treatment is interrupted for more than 14 days in females of reproductive potential.

  • 1 INDICATIONS AND USAGE

    Mifepristone is a cortisol receptor blocker indicated to control hyperglycemia secondary to hypercortisolism in adult patients with endogenous Cushing's syndrome who have type 2 diabetes mellitus or glucose intolerance and have failed surgery or are not candidates for surgery.

    LIMITATIONS OF USE:

    • Mifepristone should not be used in the treatment of patients with type 2 diabetes unless it is secondary to Cushing's syndrome.
  • 2 DOSAGE AND ADMINISTRATION

    2.1 Testing Prior to and During mifepristone Administration

    Obtain a negative pregnancy test in females of reproductive potential prior to initiating treatment with mifepristone or if treatment is interrupted for more than 14 days [see Contraindications (4), Warnings and Precautions (5.2), Use in Specific Populations (8.1, 8.3)].

    2.2 Adult Dosage

    The recommended starting dose is 300 mg orally once daily. Mifepristone must be given as a single daily dose. Mifepristone should always be taken with a meal. Patients should swallow the tablet whole. Do not split, crush, or chew tablets.

    Dosing and titration

    The daily dose of mifepristone may be increased in 300 mg increments. The dose of mifepristone may be increased to a maximum of 1200 mg once daily but should not exceed 20 mg/kg per day. Increases in dose should not occur more frequently than once every 2-4 weeks. Decisions about dose increases should be based on a clinical assessment of tolerability and degree of improvement in Cushing's syndrome manifestations. Changes in glucose control, anti-diabetic medication requirements, insulin levels, and psychiatric symptoms may provide an early assessment of response (within 6 weeks) and may help guide early dose titration. Improvements in cushingoid appearance, acne, hirsutism, striae, and body weight occur over a longer period of time and, along with measures of glucose control, may be used to determine dose changes beyond the first 2 months of therapy. Careful and gradual titration of mifepristone accompanied by monitoring for recognized adverse reactions [See Warnings and Precautions (5.1) and (5.2)] may reduce the risk of severe adverse reactions. Dose reduction or even dose discontinuation may be needed in some clinical situations. If mifepristone treatment is interrupted, it should be reinitiated at the lowest dose (300 mg). If treatment was interrupted because of adverse reactions, the titration should aim for a dose lower than the one that resulted in treatment interruption.

    2.3 Dosing in Renal Impairment

    No change in initial dose of mifepristone is required in renal impairment. The maximum dose should be limited to 600 mg. [See Renal Impairment (8.6) and Clinical Pharmacology (12.3)]

    2.4 Dosing in Hepatic Impairment

    No change in the initial dose of mifepristone is required in mild to moderate hepatic impairment. The maximum dose should be limited to 600 mg. Mifepristone should not be used in severe hepatic impairment. [See Hepatic Impairment (8.7) and Clinical Pharmacology (12.3)]

    2.5 Concomitant Administration with CYP3A Inhibitors

    Ketoconazole and other strong inhibitors of CYP3A, such as itraconazole, nefazodone, ritonavir, nelfinavir, indinavir, atazanavir, amprenavir and fosamprenavir, clarithromycin, conivaptan, lopinavir/ritonavir, posaconazole, saquinavir, telithromycin, or voriconazole may increase exposure to mifepristone. Mifepristone should be used in combination with strong CYP3A inhibitors only when necessary. [See Warnings and Precautions (5.6), Drug Interactions (7.2)]

    Administration of mifepristone to patients already being treated with strong CYP3A inhibitors:

    • Start at a dose of 300 mg. If clinically indicated, titrate to a maximum of 900 mg.

    Administration of strong CYP3A inhibitors to patients already being treated with mifepristone:

    • Adjust the dose of mifepristone according to Table 1.
    Table 1. Dose adjustment of mifepristone when strong CYP3A inhibitor is added
    Current dose of mifepristoneAdjustment to dose of mifepristone
    if adding a strong CYP3A inhibitor
    300 mg No change
    600 mg Reduce dose to 300 mg.  If clinically indicated,
    titrate to a maximum of 600 mg
    900 mg Reduce dose to 600 mg. If clinically indicated,
    titrate to a maximum of 900 mg
    1200 mg Reduce dose to 900 mg
  • 3 DOSAGE FORMS AND STRENGTHS

    Tablets: 300 mg

    Oval shaped, light yellow to yellow tablets debossed with “Corcept” on one side and “300” on the other side. The tablets are not scored.

  • 4 CONTRAINDICATIONS

    Mifepristone is contraindicated in:

    • Pregnancy [See Dosage and Administration (2.1), Use in Specific Populations (8.1,8.3)]
    • Patients taking drugs metabolized by CYP3A such as simvastatin, lovastatin, and CYP3A substrates with narrow therapeutic ranges, such as cyclosporine, dihydroergotamine, ergotamine, fentanyl, pimozide, quinidine, sirolimus, and tacrolimus, due to an increased risk of adverse events. [See Drug Interactions (7.1) and Clinical Pharmacology (12.3)]
    • Patients receiving systemic corticosteroids for lifesaving purposes (e.g., immunosuppression after organ transplantation) because mifepristone antagonizes the effect of glucocorticoids.
    • Women with a history of unexplained vaginal bleeding or with endometrial hyperplasia with atypia or endometrial carcinoma.
    • Patients with known hypersensitivity to mifepristone or to any of the product components.
  • 5 WARNINGS AND PRECAUTIONS

    5.1 Adrenal Insufficiency

    Patients receiving mifepristone may experience adrenal insufficiency. Because serum cortisol levels remain elevated and may even increase during treatment with mifepristone, serum cortisol levels do not provide an accurate assessment of hypoadrenalism in patients receiving mifepristone. Patients should be closely monitored for signs and symptoms of adrenal insufficiency, including weakness, nausea, increased fatigue, hypotension, and hypoglycemia. If adrenal insufficiency is suspected, discontinue treatment with mifepristone immediately and administer glucocorticoids without delay. High doses of supplemental glucocorticoids may be needed to overcome the glucocorticoid receptor blockade produced by mifepristone. Factors considered in deciding on the duration of glucocorticoid treatment should include the long half-life of mifepristone (85 hours).

    Treatment with mifepristone at a lower dose can be resumed after resolution of adrenal insufficiency. Patients should also be evaluated for precipitating causes of hypoadrenalism (infection, trauma, etc.).

    5.2 Hypokalemia

    In a study of patients with Cushing's syndrome, hypokalemia was observed in 44% of subjects during treatment with mifepristone. Hypokalemia should be corrected prior to initiating mifepristone. During mifepristone administration, serum potassium should be measured 1 to 2 weeks after starting or increasing the dose of mifepristone and periodically thereafter. Hypokalemia can occur at any time during mifepristone treatment. Mifepristone-induced hypokalemia should be treated with intravenous or oral potassium supplementation based on event severity. If hypokalemia persists in spite of potassium supplementation, consider adding mineralocorticoid antagonists.

    5.3 Vaginal Bleeding and Endometrial Changes

    Being an antagonist of the progesterone receptor, mifepristone promotes unopposed endometrial proliferation that may result in endometrium thickening, cystic dilatation of endometrial glands, and vaginal bleeding. Mifepristone should be used with caution in women who have hemorrhagic disorders or are receiving concurrent anticoagulant therapy. Women who experience vaginal bleeding during mifepristone treatment should be referred to a gynecologist for further evaluation.

    5.4 QT Interval Prolongation

    Mifepristone and its metabolites block IKr. Mifepristone prolongs the QTc interval in a dose-related manner. There is little or no experience with high exposure, concomitant dosing with other QT-prolonging drugs, or potassium channel variants resulting in a long QT interval. [See Warnings & Precautions (5.6)] To minimize risk, the lowest effective dose should always be used.

    5.5 Exacerbation/Deterioration of Conditions Treated with Corticosteroids

    Use of mifepristone in patients who receive corticosteroids for other conditions (e.g., autoimmune disorders) may lead to exacerbation or deterioration of such conditions, as mifepristone antagonizes the desired effects of glucocorticoid in these clinical settings. For medical conditions in which chronic corticosteroid therapy is lifesaving (e.g., immunosuppression in organ transplantation), mifepristone is contraindicated. [See Contraindications (4.3)]

    5.6 Use of Strong CYP3A Inhibitors

    Mifepristone should be used with caution in patients taking ketoconazole and other strong inhibitors of CYP3A, such as itraconazole, nefazodone, ritonavir, nelfinavir, indinavir, atazanavir, amprenavir, fosamprenavir, clarithromycin, conivaptan, lopinavir/ritonavir, posaconazole, saquinavir, telithromycin, or voriconazole, as these could increase the concentration of mifepristone in the blood. The benefit of concomitant use of these agents should be carefully weighed against the potential risks. Mifepristone should be used in combination with strong CYP3A inhibitors only when necessary, and in such cases the dose should be limited to 900 mg per day. [See Warnings & Precautions (5.4), Drug Interactions (7.2), and Clinical Pharmacology (12.3)]

    5.7 Pneumocystis jiroveci Infection

    Patients with endogenous Cushing's syndrome are at risk for opportunistic infections such as Pneumocystis jiroveci pneumonia during mifepristone treatment. Patients may present with respiratory distress shortly after initiation of mifepristone. Appropriate diagnostic tests should be undertaken and treatment for Pneumocystis jiroveci should be considered.

    5.8 Potential Effects of Hypercortisolemia

    Mifepristone does not reduce serum cortisol levels. Elevated cortisol levels may activate mineralocorticoid receptors which are also expressed in cardiac tissues. Caution should be used in patients with underlying heart conditions including heart failure and coronary vascular disease.

  • 6 ADVERSE REACTIONS

    6.1 Clinical Trials Experience

    Because clinical trials are conducted under widely varying conditions, the adverse reaction rates observed cannot be directly compared to rates in other clinical trials and may not reflect the rates observed in clinical practice.

    Safety data on the use of mifepristone are available from 50 patients with Cushing's syndrome enrolled in an uncontrolled, open-label, multi-center trial (Study 400). Forty-three patients had Cushing's disease and all except one had previously undergone pituitary surgery. Four patients had ectopic ACTH secretion, and three had adrenal carcinoma. Patients were treated for up to 24 weeks. A dose of 300 mg per day was administered for the initial 14 days; thereafter, the dose could be escalated in increments of 300 mg per day based on assessments of tolerability and clinical response. Doses were escalated up to 900 mg per day for patients <60 kg, or 1200 mg per day for patients >60 kg.

    The most frequently reported adverse reactions (reported in ≥20% of patients, regardless of relationship to mifepristone) were nausea, fatigue, headache, decreased blood potassium, arthralgia, vomiting, peripheral edema, hypertension, dizziness, decreased appetite, and endometrial hypertrophy. Drug-related adverse events resulted in dose interruption or reduction in study drug in 40% of patients.

    The adverse reactions that occurred in ≥10% of the Cushing's syndrome patients receiving mifepristone, regardless of relationship to mifepristone, are shown in Table 2.

    Table 2. Treatment Emergent Adverse Events Occurring in ≥10% of Cushing's Syndrome Patients Receiving mifepristone
    Body System/Adverse ReactionPercent (%) of Patients Reporting Event
    (n = 50)

    *The denominator was 26 females who had baseline and end-of-trial transvaginal ultrasound

    Gastrointestinal disorders
    Nausea 48
    Vomiting 26
    Dry mouth 18
    Diarrhea 12
    Constipation 10
    General disorders and administration/site conditions
    Fatigue 48
    Edema peripheral 26
    Pain 14
    Nervous system disorders
    Headache 44
    Dizziness 22
    Somnolence 10
    Musculoskeletal and connective tissue disorders
    Arthralgia 30
    Back pain 16
    Myalgia 14
    Pain in extremity 12
    Investigations
    Blood potassium decreased 34
    Thyroid function test abnormal 18
    Infections and infestations
    Sinusitis 14
    Nasopharyngitis 12
    Metabolism and nutrition disorders
    Decreased appetite 20
    Anorexia 10
    Vascular disorders
    Hypertension 24
    Reproductive system and breast disorders
    Endometrial hypertrophy 38*
    Respiratory, thoracic, and mediastinal disorders
    Dyspnea 16
    Psychiatric disorders
    Anxiety 10

    Laboratory Tests

    Reductions in high density lipoprotein-cholesterol (HDL-C) levels have been observed following treatment with mifepristone. In study subjects that experienced declines in HDL-C, levels returned to baseline following discontinuation of drug. The clinical significance of the treatment-related reduction in HDL-C levels in patients with Cushing's syndrome is not known.

    In a study of patients with Cushing's syndrome, hypokalemia was observed in 44% of subjects during treatment with mifepristone. In these cases, hypokalemia responded to treatment with potassium supplementation and/or mineralocorticoid antagonist therapy (e.g., spironolactone or eplerenone). Hypokalemia should be corrected prior to initiating mifepristone. [See Warnings and Precautions (5.2)]

    Elevations of thyroid-stimulating hormone (TSH) were seen in subjects treated with mifepristone. Of the 42 subjects with detectable TSH at baseline, eight (19%) had increases in TSH above the normal range, while remaining asymptomatic. The TSH levels returned to normal in most patients without intervention when mifepristone was discontinued at the end of the study.

    Vaginal Bleeding and Endometrial Changes

    In Study 400, the thickness of the endometrium increased from a mean of 6.14 mm at baseline (n=23) to 15.7 mm at end-of-trial (n=18) in premenopausal women; in postmenopausal women the increase was from 2.75 mm (n=6) to 7.35 mm (n=8). Endometrial thickness above the upper limit of normal was reported in 10/26 females who had baseline and end-of-trial transvaginal ultrasound (38%). The endometrial thickness returned to the normal range in 3 out of 10 patients 6 weeks after treatment cessation at the end of the study. Vaginal bleeding occurred in 5 out of 35 females (14%). Two of five subjects with vaginal bleeding had normal endometrial thickness. Endometrial biopsies were performed in six patients; five of these patients had endometrial thickening. No endometrial carcinoma was detected in the sampled cases.

    Additional Data from Clinical Trials

    The following are adverse events that were reported in Study 400 at frequencies of ≥ 5% to 10%, and may be related to mifepristone's mechanism of action:

    Gastrointestinal disorders: gastroesophageal reflux, abdominal pain

    General disorders and administration site conditions: asthenia, malaise, edema, pitting edema, thirst

    Investigations: blood triglycerides increased

    Metabolism and nutrition disorders: hypoglycemia

    Musculoskeletal and connective tissue disorders: muscular weakness, flank pain, musculoskeletal chest pain

    Psychiatric disorders: insomnia

    Reproductive system and breast disorders: vaginal hemorrhage, metrorrhagia [See Warnings and Precautions (5.3)]

    Adrenal Insufficiency

    Adrenal insufficiency was reported in two subjects (4%) in Study 400. The most typical symptoms of adrenal insufficiency were nausea and decreased appetite. No hypotension or hypoglycemia was reported during the events. Adrenal insufficiency resolved in both cases with mifepristone interruption and /or dexamethasone administration.

    Rash

    Generalized, maculo-papular rash was reported in 2 subjects (4%) in Study 400. Two additional subjects developed pruritus (4%). None resulted in discontinuation of mifepristone, and all the events resolved by the end of the study.

    6.2 Postmarketing Experience

    The following adverse reaction has been identified during post approval use of mifepristone. Because these reactions are reported voluntarily from a population of uncertain size, it is not always possible to reliably estimate their frequency or establish a causal relationship to drug exposure.

    • - Angioedema
  • 7 DRUG INTERACTIONS

    Based on the long terminal half-life of mifepristone after reaching steady state, at least 2 weeks should elapse after cessation of mifepristone before initiating or increasing the dose of any interacting concomitant medication.

    7.1 Drugs Metabolized by CYP3A

    Because mifepristone is an inhibitor of CYP3A, concurrent use of mifepristone with a drug whose metabolism is largely or solely mediated by CYP3A is likely to result in increased plasma concentrations of the drug. Discontinuation or dose reduction of such medications may be necessary with mifepristone co-administration.

    Mifepristone increased the exposure to simvastatin and simvastatin acid significantly in healthy subjects. Concomitant use of simvastatin or lovastatin is contraindicated because of the increased risk of myopathy and rhabdomyolysis. [See Contraindications (4.2), Clinical Pharmacology 12.3]

    The exposure of other substrates of CYP3A with narrow therapeutic ranges, such as cyclosporine, dihydroergotamine, ergotamine, fentanyl, pimozide, quinidine, sirolimus, and tacrolimus, may be increased by concomitant administration with mifepristone. Therefore, the concomitant use of such CYP3A substrates with mifepristone is contraindicated. [See Contraindications (4.2)]

    Other drugs with similar high first pass metabolism in which CYP3A is the primary route of metabolism should be used with extreme caution if co-administered with mifepristone. The lowest possible dose and/or a decreased frequency of dosing must be used with therapeutic drug monitoring when possible. Use of alternative drugs without these metabolic characteristics is advised when possible with concomitant mifepristone.

    If drugs that undergo low first pass metabolism by CYP3A or drugs in which CYP3A is not the major metabolic route are co-administered with mifepristone, use the lowest dose of concomitant medication necessary, with appropriate monitoring and follow-up. [See Clinical Pharmacology (12.3)]

    7.2 CYP3A Inhibitors

    Medications that inhibit CYP3A could increase plasma mifepristone concentrations and dose reduction of mifepristone may be required.

    Ketoconazole and other strong inhibitors of CYP3A, such as itraconazole, nefazodone, ritonavir, nelfinavir, indinavir, atazanavir, amprenavir and fosamprenavir, clarithromycin, conivaptan, lopinavir /ritonavir, posaconazole, saquinavir, telithromycin, or voriconazole may increase exposure to mifepristone. Caution should be used when strong CYP3A inhibitors are prescribed in combination with mifepristone. The benefit of concomitant use of these agents should be carefully weighed against the potential risks. The dose of mifepristone should be limited to 900 mg, and strong inhibitors of CYP3A should be used only when necessary. [See Dosage and Administration (2.4), Warnings & Precautions (5.6), and Clinical Pharmacology (12.3)]

    7.3 CYP3A Inducers

    No medications that induce CYP3A have been studied when co-administered with mifepristone. Avoid co-administration of mifepristone and CYP3A inducers such as rifampin, rifabutin, rifapentin, phenobarbital, phenytoin, carbamazepine, and St. John's wort.

    7.4 Drugs Metabolized by CYP2C8/2C9

    Because mifepristone is an inhibitor of CYP2C8/2C9, concurrent use of mifepristone with a drug whose metabolism is largely or solely mediated by CYP2C8/2C9 is likely to result in increased plasma concentrations of the drug.

    Mifepristone significantly increased exposure of fluvastatin, a typical CYP2C8/2C9 substrate, in healthy subjects. When given concomitantly with mifepristone, drugs that are substrates of CYP2C8/2C9 (including non-steroidal anti-inflammatory drugs, warfarin, and repaglinide) should be used at the smallest recommended doses, and patients should be closely monitored for adverse effects. [See Clinical Pharmacology (12.3)]

    7.5 Drugs Metabolized by CYP2B6

    Mifepristone is an inhibitor of CYP2B6 and may cause significant increases in exposure of drugs that are metabolized by CYP2B6 such as bupropion and efavirenz. Since no study has been conducted to evaluate the effect of mifepristone on substrates of CYP2B6, the concomitant use of bupropion and efavirenz should be undertaken with caution. [See Clinical Pharmacology (12.3)]

    7.6 Use of Hormonal Contraceptives

    Mifepristone is a progesterone-receptor antagonist and will interfere with the effectiveness of hormonal contraceptives. Therefore, non-hormonal contraceptive methods should be used. [See Use In Specific Populations (8.3)]

  • 8 USE IN SPECIFIC POPULATIONS

    8.1 Pregnancy

    Risk Summary

    Mifepristone is contraindicated in pregnancy because the use of mifepristone results in pregnancy loss. There are no data that assess the risk of birth defects in women exposed to mifepristone during pregnancy. Available data limited to exposure following a single dose of mifepristone during pregnancy showed a higher rate of major birth defects compared to the general population comparator (See Data). Mifepristone administered to pregnant mice, rats, and rabbits during organogenesis caused pregnancy loss in all species at clinically relevant doses based on body surface area comparisons (See Data). The inhibition of both endogenous and exogenous progesterone by mifepristone at the progesterone receptor results in pregnancy loss. If mifepristone is used during pregnancy or if the patient becomes pregnant while taking this drug, the patient should be apprised of the potential hazard to a fetus. [See Contraindications (4)]

    The estimated risk of fetal loss is elevated in patients with active Cushing's syndrome (24-30%), and the risk of major birth defects is unknown. In the U.S. general population, the estimated background risks of major birth defects and miscarriage in clinically recognized pregnancies are 2-4% and 15-20%, respectively.

    Data

    Human Data

    There are no data on long term exposure to mifepristone in pregnancy. Available data are limited to exposure to a single dose of mifepristone for pregnancy termination. In a prospective study in France of 46 pregnancies exposed to a single dose of mifepristone alone and 59 pregnancies exposed to a single dose of mifepristone and misoprostol, the overall major birth defect rate (4%) was greater than the general population background rate of 2 to 3% (2 birth defects in each group). There was no pattern of birth defects identified.

    Animal Data

    Reproductive studies were performed in mice, rats and rabbits at doses of 0.25 to 4.0 mg/kg (less than human exposure at the maximum clinical dose, based on body surface area). Because of the anti-progestational activity of mifepristone, fetal losses were much higher than in control animals. Skull deformities were detected in rabbit studies at less than human exposure, although mifepristone did not cause any adverse developmental effects in rats or mice during organogenesis. These deformities were most likely due to the mechanical effects of uterine contractions resulting from antagonism of the progesterone receptor.

    8.2 Lactation

    Risk Summary

    Mifepristone is present in human milk, however, there are no data on the amount of mifepristone in human milk, the effects on the breastfed infant, or the effects on milk production during long term use of mifepristone (see Data). The developmental and health benefits of breastfeeding should be considered along with the mother's clinical need for mifepristone and any potential adverse effects on the breastfed child from mifepristone or from the underlying maternal condition.

    Clinical Considerations

    To minimize exposure to a breastfed infant, women who discontinue or interrupt mifepristone treatment may consider pumping and discarding milk during treatment and for 18-21 days (5-6 half-lives) after the last dose, before breastfeeding.

    Data

    Available published data based on intake of a single dose of 600 mg of mifepristone in 10 breastfeeding women who were 6-12 months postpartum showed a small amount in breast milk (the estimated relative infant dose was 0.5%). The half-life of mifepristone is longer with repeat dosing compared to a single dose; therefore, there may be greater exposure with long term use.

    8.3 Females and Males of Reproductive Potential

    Pregnancy Testing

    Due to its anti-progestational activity, mifepristone causes pregnancy loss. Perform pregnancy testing before the initiation of treatment with mifepristone or if treatment is interrupted for more than 14 days in females of reproductive potential.

    Contraception

    Recommend non-hormonal contraception for the duration of treatment and for one month after stopping treatment. Mifepristone interferes with the effectiveness of hormonal contraceptives. [See Drug Interactions (7.6)]

    8.4 Pediatric Use

    Safety and effectiveness of mifepristone in pediatric patients have not been established.

    8.5 Geriatric Use

    Clinical studies with mifepristone did not include sufficient numbers of patients aged 65 and over to determine whether they respond differently than younger people.

    8.6 Renal Impairment

    The maximum dose should not exceed 600 mg per day in renally impaired patients. [See Clinical Pharmacology (12.3)]

    8.7 Hepatic Impairment

    In patients with mild to moderate hepatic impairment, the maximum dose should not exceed 600 mg per day. The pharmacokinetics of mifepristone in patients with severe hepatic impairment has not been studied, and mifepristone should not be used in these patients. [See Clinical Pharmacology (12.3)]

  • 10 OVERDOSAGE

    There is no experience with overdosage of mifepristone.

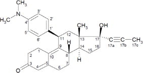
  • 11 DESCRIPTION

    Mifepristone is a cortisol receptor blocker for oral administration. The chemical name of mifepristone is 11β-(4-dimethylaminophenyl)-17β-hydroxy-17α-(1-propynyl)-estra-4, 9-dien-3-one. The chemical formula is C29H35NO2; the molecular weight is 429.60, and the structural formula is:

    Structural Formula

    Mifepristone demonstrates a pH-related solubility profile. The greatest solubility is achieved in acidic media (~ 25 mg/mL at pH 1.5) and solubility declines rapidly as the pH is increased. At pH values above 2.5 the solubility of mifepristone is less than 1 mg/mL.

    Each mifepristone tablet for oral use contains 300 mg of mifepristone. The inactive ingredients of mifepristone tablets are silicified microcrystalline cellulose, sodium starch glycolate, hydroxypropylcellulose, sodium lauryl sulfate, magnesium stearate, hypromellose, titanium dioxide, triacetin, D&C yellow 10 aluminum lake, polysorbate 80, and FD&C yellow 6 aluminum lake.

  • 12 CLINICAL PHARMACOLOGY

    12.1 Mechanism of Action

    Mifepristone is a selective antagonist of the progesterone receptor at low doses and blocks the glucocorticoid receptor (GR-II) at higher doses. Mifepristone has high affinity for the GR-II receptor but little affinity for the GR-I (MR, mineralocorticoid) receptor. In addition, mifepristone appears to have little or no affinity for estrogen, muscarinic, histaminic, or monoamine receptors.

    12.2 Pharmacodynamics

    Because mifepristone acts at the receptor level to block the effects of cortisol, its antagonistic actions affect the hypothalamic-pituitary-adrenal (HPA) axis in such a way as to further increase circulating cortisol levels while, at the same time, blocking their effects.

    Mifepristone and the three active metabolites have greater affinity for the glucocorticoid receptor [100% (mifepristone), 61% (metabolite 1), 48% (metabolite 2), and 45% (metabolite 3)] than either dexamethasone (23%) or cortisol (9%).

    12.3 Pharmacokinetics

    Absorption

    Following oral administration, time to peak plasma concentrations of mifepristone occurred between 1 and 2 hours following single dose, and between 1 and 4 hours following multiple doses of 600 mg of mifepristone in healthy volunteers. Mean plasma concentrations of three active metabolites of mifepristone peak between 2 and 8 hours after multiple doses of 600 mg/day, and the combined concentrations of the metabolites exceed that of the parent mifepristone. Exposure to mifepristone is substantially less than dose proportional. Time to steady state is within 2 weeks, and the mean (SD) half-life of the parent mifepristone was 85 (61) hours following multiple doses of 600 mg/day of mifepristone.

    Studies evaluating the effects of food on the pharmacokinetics of mifepristone demonstrate a significant increase in plasma levels of mifepristone when dosed with food. To achieve consistent plasma drug concentrations, patients should be instructed to always take their medication with meals.

    Distribution

    Mifepristone is highly bound to alpha-1-acid glycoprotein (AAG) and approaches saturation at doses of 100 mg (2.5 μM) or more. Mifepristone and its metabolites also bind to albumin and are distributed to other tissues, including the central nervous system (CNS). As determined in vitro by equilibrium dialysis, binding of mifepristone and its three active metabolites to human plasma proteins was concentration-dependent. Binding was approximately 99.2% for mifepristone, and ranged from 96.1 to 98.9% for the three active metabolites at clinically relevant concentrations.

    Metabolism

    Cytochrome P450 3A4 (CYP3A4) has been shown to be involved in mifepristone metabolism in human liver microsomes. Two of the known active metabolites are the product of demethylation (one monodemethylated and one di-demethylated), while a third active metabolite results from hydroxylation (monohydroxylated).

    Elimination and Excretion

    Excretion is primarily (approximately 90%) via the fecal route.

    Specific Populations

    Renal Impairment

    The pharmacokinetics of mifepristone in subjects with severe renal impairment (creatinine clearance [CrCL] < 30 mL/min, but not on dialysis) was evaluated following multiple doses of 1200 mg mifepristone for 7 days. Mean exposure to mifepristone increased 31%, with similar or smaller increases in metabolite exposure as compared to subjects with normal renal function (CrCL ≥ 90 mL/min). There was large variability in the exposure of mifepristone and its metabolites in subjects with severe renal impairment as compared to subjects with normal renal function (geometric least square mean ratio [CI] for AUC of mifepristone: 1.21 [0.71-2.06]; metabolite 1: 1.43 [0.84-2.44]; metabolite 2: 1.18 [0.64-2.17] and metabolite 3: 1.19 [0.71-1.99]). No change in the initial dose of mifepristone is needed for renal impairment; the maximum dose should not exceed 600 mg per day.

    Hepatic Impairment

    The pharmacokinetics of mifepristone in subjects with moderate hepatic impairment (Child-Pugh Class B) was evaluated in a single- and multiple-dose study (600 mg for 7 days). The pharmacokinetics in subjects with moderate hepatic impairment was similar to those with normal hepatic function. There was large variability in the exposure of mifepristone and its metabolites in subjects with moderate hepatic impairment as compared to subjects with normal hepatic function (geometric least square mean ratio [CI] for AUC of mifepristone: 1.02 [0.59-1.76]; metabolite 1: 0.95 [0.52-1.71]; metabolite 2: 1.37 [0.71-2.62] and metabolite 3: 0.62 [0.33-1.16]). Due to limited information on safety in patients with mild-to-moderate hepatic impairment, the maximum dose should not exceed 600 mg per day. The pharmacokinetics of mifepristone in patients with severe hepatic disease has not been studied. Mifepristone is not recommended in patients with severe hepatic disease.

    Drug-Drug Interactions

    In Vitro Assessment of Drug Interactions

    In vitro studies indicate a potential for CYP-mediated drug interactions by mifepristone and/or its metabolites with substrates of CYP2A6, CYP2C8/2C9, CYP2C19, CYP3A4, CYP1A2, CYP2B6, CYP2D6, and CYP2E1. In vitro studies also indicated an interaction potential for drug transport mediated by P-glycoprotein (P-gp) and breast cancer resistance protein (BCRP). In vitro studies indicate mifepristone metabolism is mediated by CYP3A, and that mifepristone also inhibits and induces CYP3A.

    In Vivo Assessment of Drug Interactions (see Table 3)

    Table 3. Summary Table of mifepristone Drug-Drug Interaction Effects

    *No effect = 90% CI within range 0.80 – 1.25

    †See Section 12.2 for the relative potencies of the three metabolites

    1 Simvastatin 40 mg dose used as reference for the comparison. Result could be representative of other oral drugs with CYP3A metabolism and high first pass effect: cyclosporine, midazolam, triazolam, pimozide, sildenafil, sirolimus, and tacrolimus

    2 Result could be representative of other oral drugs with CYP3A metabolism and low first pass effect. Clinical significance of any interaction will depend on the therapeutic margin of the drug.

    3 Result could be representative of other oral drugs with CYP2C8/C9 metabolism

    4 Plasma digoxin concentration should be measured after 1 to 2 weeks of concomitant use and following usual clinical practice at appropriate intervals thereafter.

    5Result could be representative of other mild inhibitors of CYP3A

    Dosing of
    mifepristone
    Coadministered
    Drug
    Dosing of
    Coadministered
    Drug
    Geometric Mean Ratio
    (analyte ratio with/without
    drug coadministration)
    AnalyteAUCCmax
    Effect of mifepristone on Coadministered Drug
    Contraindicated with mifepristone [See Contraindications (4)]
    1200 mg once daily for
    10 days
    simvastatin180 mg single dose simvastatin
    acid
    simvastatin
    15.70

    10.40
    18.20

    7.02
    Use lowest dose of coadministered drug, based on clinical experience and/or use of therapeutic drug monitoring
    1200 mg once daily for
    10 days
    alprazolam21 mg single dose alprazolam
    4-hydroxy-alprazolam
    1.80

    0.76
    0.81

    0.39
    1200 mg once daily for
    7 days
    fluvastatin340 mg single dose fluvastatin 3.57 1.76
    1200 mg once daily for
    10 days
    digoxin40.125 mg once daily digoxin 1.40 1.64
    Effect of Coadministered Drug on mifepristone
    Dose adjustment required
    600 mg once daily for
    17 days
    ketoconazole 200 mg bid on
    days 13-17
    mifepristone
    Metabolite 1†
    Metabolite 2†
    Metabolite 3†
    1.38
    1.02
    1.67
    0.95
    1.28
    1.06
    1.69
    0.96
    900 mg once daily for
    14 days
    itraconazole 200 mg daily for
    14 days
    mifepristone
    Metabolite 1†
    Metabolite 2†
    Metabolite 3†
    1.10
    1.04
    1.23
    0.97
    1.20
    1.00
    1.19
    0.94
    Effect of Coadministered Drug on mifepristone
    No dosing adjustment required
    300 mg once daily for
    14 days
    cimetidine5800 mg once daily mifepristone 0.85* 0.75
  • 13 NONCLINICAL TOXICOLOGY

    13.1 Carcinogenesis, Mutagenesis, Impairment of Fertility

    Mifepristone was evaluated for carcinogenicity potential in rats and mice. Rats were dosed for up to two years at doses of 5, 25, and 125 mg/kg of mifepristone. The high dose was the maximum tolerated dose, but exposure at all doses was below exposure at the maximum clinical dose based on AUC comparison. Female rats had a statistically significant increase in follicular cell adenomas/carcinomas and liver adenomas. It is plausible that these tumors are due to drug-induced enzyme metabolism, a mechanism not considered clinically relevant, but studies confirming this mechanism were not conducted with mifepristone. Mice were also tested for up to 2 years at mifepristone doses up to the maximum tolerated dose of 125 mg/kg, which provided exposure below the maximum clinical dose based on AUC. No drug-related tumors were seen in mice.

    Mifepristone was not genotoxic in a battery of bacterial, yeast, and mammalian in vitro assays, and an in vivo micronucleus study in mice.

    The pharmacological activity of mifepristone disrupts the estrus cycle of adult rats at a dose of 0.3 mg/kg (less than human exposure at the maximum clinical dose, based on body surface area). However, following withdrawal of treatment and subsequent resumption of the estrus cycle, there was no effect on reproductive function when mated.

    A single subcutaneous dose of mifepristone (up to 100 mg/kg) to rats on the first day after birth did not adversely affect future reproductive function in males or females, although the onset of puberty was slightly premature in dosed females. Repeated doses of mifepristone (1 mg every other day) to neonatal rats resulted in potentially adverse fertility effects, including oviduct and ovary malformations in females, delayed male puberty, deficient male sexual behavior, reduced testicular size, and lowered ejaculation frequency.

  • 14 CLINICAL STUDIES

    14.1 Cushing's Syndrome

    An uncontrolled, open-label, 24-week, multicenter clinical study was conducted to evaluate the safety and efficacy of mifepristone in the treatment of endogenous Cushing's syndrome. The study enrolled 50 subjects with clinical and biochemical evidence of hypercortisolemia despite prior surgical treatment and radiotherapy. The reasons for medical treatment were failed surgery, recurrence of disease, and poor medical candidate for surgery. Forty-three patients (86%) had Cushing's disease, four patients (8%) had ectopic ACTH secretion, and three (6%) had adrenal carcinoma. Baseline characteristics included: mean age of 45 years (range 26 to 71), mean BMI of 36 kg/m2 (range 24 to 66), mean weight 100 kg (range 61 to 199), and mean waist circumference was 119 cm (range 89 to 178); 70% were female; 84% were white and 16% were black or African American. Baseline mean urinary free cortisol level was 365 μg per 24 hr.

    Patients belonged to one of two cohorts: a “diabetes” cohort (29 patients, 26 with type 2 diabetes and 3 with glucose intolerance), and a “hypertension” cohort (21 patients). Efficacy was evaluated separately in the two cohorts. Mifepristone treatment was started in all patients at a dose of 300 mg once a day. The study protocol allowed an increase in dose to 600 mg after 2 weeks, and then by additional 300 mg increments every 4 weeks to a maximum of 900 mg per day for patients <60 kg, or 1200 mg per day for patients >60 kg, based on clinical tolerance and clinical response.

    Results in the diabetes cohort

    Patients in the diabetes cohort underwent standard oral glucose tolerance tests at baseline and periodically during the clinical study. Anti-diabetic medications were allowed but had to be kept stable during the trial and patients had to be on stable anti-diabetic regimens prior to enrollment. The primary efficacy analysis for the diabetes cohort was an analysis of responders. A responder was defined as a patient who had a ≥ 25% reduction from baseline in glucose AUC. The primary efficacy analysis was conducted in the modified intent-to-treat population (n=25) defined as all patients who received a minimum of 30 days on mifepristone. Fifteen of 25 patients (60%) were treatment responders (95% CI: 39%,78%).

    Mean HbA1c was 7.4% in the 24 patients with HbA1c values at baseline and Week 24. For these 24 patients mean reduction in HbA1c was 1.1% (95% CI -1.6, -0.7) from baseline to the end of the trial. Fourteen of 24 patients had above normal HbA1c levels at baseline, ranging between 6.7% and 10.4%; all of these patients had reductions in HbA1c by the end of the study (range -0.4 to -4.4%) and eight of 14 patients (57%) normalized HbA1c levels at trial end. Antidiabetic medications were reduced in 7 of the 15 DM subjects taking antidiabetic medication and remained constant in the others.

    Results in the hypertension cohort

    There were no changes in mean systolic and diastolic blood pressures at the end of the trial relative to baseline in the modified intent-to-treat population (n=21).

    Signs and symptoms of Cushing's syndrome in both cohorts

    Individual patients showed varying degrees of improvement in Cushing's syndrome manifestations such as cushingoid appearance, acne, hirsutism, striae, psychiatric symptoms, and excess total body weight. Because of the variability in clinical presentation and variability of response in this open label trial, it is uncertain whether these changes could be ascribed to the effects of mifepristone.

  • 16 HOW SUPPLIED/STORAGE AND HANDLING

    Mifepristone is supplied as a light yellow to yellow, film-coated, oval-shaped tablet debossed with “Corcept” on one side and “300” on the other. Each tablet contains 300 mg of mifepristone. Mifepristone tablets are available in bottles of 280 tablets (NDC: 76346-654-03).

    Store at controlled room temperature, 25 °C (77 °F); excursions permitted to 15 to 30 °C (59 – 86 °F). [See USP Controlled Room Temperature]

  • 17 PATIENT COUNSELING INFORMATION

    As a part of patient counseling, doctors must review the mifepristone Medication Guide with every patient.

    17.1 Importance of Preventing Pregnancy

    • Advise patients that mifepristone will cause termination of pregnancy. Mifepristone is contraindicated in pregnant patients.
    • Mifepristone reduces the effectiveness of hormonal contraceptives. Counsel females of reproductive potential regarding pregnancy prevention and planning with a non-hormonal contraceptive prior to use of mifepristone and up to one month after the end of treatment.
    • Instruct patients to contact their physician immediately if they suspect or confirm they are pregnant.
  • MEDICATION GUIDE

    Medication Guide
    mifepristone tablets

    What is the most important information I should know about mifepristone?

    • Mifepristone can cause serious side effects, including:
    • Loss of a pregnancy. Women who can become pregnant must:
      • have a negative pregnancy test before starting mifepristone
      • have a negative pregnancy test before restarting mifepristone if you stop taking it for more than 14 days
      • use a non-hormonal form of birth control while taking mifepristone and for 1 month after stopping mifepristone. Talk to your doctor about how to prevent pregnancy. Tell your doctor right away if you think you may be pregnant.
    What is mifepristone?
    Mifepristone is a prescription medicine used to treat high blood sugar (hyperglycemia) caused by high cortisol levels in the blood (hypercortisolism) in adults with endogenous Cushing's syndrome who have type 2 diabetes mellitus or glucose intolerance and have failed surgery or cannot have surgery.
    Mifepristone is not for people who have type 2 diabetes mellitus not caused by Cushing's syndrome.
    It is not known if mifepristone is safe and effective in children.
    Do not take mifepristone if you:
    • are pregnant. See “What is the most important information I should know about mifepristone?”
    • are taking:
      • simvastatin (Zocor®, Vytorin®, Simcor®)
      • lovastatin (Mevacor®, Altoprev®, Advicor®)
      • cyclosporine (Gengraf®, Neoral®, Restasis®, Sandimmune®)
      • dihydroergotamine (Migranal®)
      • ergotamine (Ergomar®, Migergot®)
      • fentanyl (Abstral®, Actiq®, Duragesic®, Fentora®, Lazanda®, Onsolis®, Sublimaze Preservative Free®, Subsys®)
      • pimozide (Orap®)
      • quinidine (Nuedexta®)
      • sirolimus (Rapamune®, Torisel®)
      • tacrolimus (Prograf®, Protopic®)
    • must take corticosteroid medicines for other serious medical problems
    • are a woman who still has her uterus (womb) and have:
      • unexplained bleeding from your vagina
      • changes in the cells lining your uterus (endometrial hyperplasia) or cancer of the lining of your uterus (endometrial cancer)
    • are allergic to mifepristone or any of the ingredients in mifepristone. See the end of this Medication Guide for a complete list of ingredients in mifepristone.
    Talk to your doctor before taking mifepristone if you have any of these conditions.
    What should I tell my doctor before taking mifepristone?
    Before taking mifepristone, tell your doctor if you:
    • are pregnant or plan to become pregnant
    • have low potassium in your blood (hypokalemia)
    • have or have had a bleeding problem or are taking medicines to thin your blood
    • have or have had heart problems
    • have had an organ transplant
    • have been taking medicines called corticosteroids (cortisone, dexamethasone, methylprednisolone, prednisolone, prednisone)
    • are breastfeeding or plan to breastfeed.
    Tell your doctor about all of the medicines you take, including prescription and nonprescription medicines, vitamins and herbal supplements.
    Using mifepristone with certain other medicines can affect each other. Using mifepristone with other medicines can cause serious side effects.
    Especially tell your doctor if you take:
    • medicines to treat:
      • fungal infections (such as ketoconazole)
      • depression
      • HIV infection
      • Hepatitis C infection
      • certain bacterial infections
      • high blood pressure
    • steroid medicines such as prednisone
    • thyroid hormones
    Ask your doctor or pharmacist for a list of these medicines if you are not sure. Know the medicines you take. Keep a list of them to show to your doctor and pharmacist.
    How should I take mifepristone?
    • Take mifepristone exactly as your doctor tells you.
    • Your doctor may change your dose if needed.
    • mifepristone is usually taken 1 time each day.
    • Take mifepristone with food.
    • Swallow mifepristone whole. Do not split, crush or chew mifepristone tablets. If you cannot swallow mifepristone tablets whole, tell your doctor.
    What should I avoid while taking mifepristone?
    You should not drink grapefruit juice while you take mifepristone. Grapefruit juice may increase the amount of mifepristone in your blood and increase your chance of having side effects.
    What are the possible side effects of mifepristone?
    Mifepristone can cause serious side effects including:
    • See “What is the most important information I should know about mifepristone?”
    • loss of pregnancy
    • reduced effects of adrenal hormones (adrenal insufficiency). Mifepristone stops an adrenal hormone in your body called cortisol from working. Tell your doctor right away if you have any symptoms of adrenal insufficiency. Symptoms may include:
      • unusual tiredness or weakness
      • nausea
      • fatigue
      • low blood pressure (hypotension)
      • low blood sugar (hypoglycemia)
    • low blood potassium (hypokalemia). Your doctor should check the level of potassium in your blood before you start taking mifepristone and while you take it. Tell your doctor if you have any signs of low potassium. Signs may include:
      • muscle weakness, aches, or cramps
      • abnormal or irregular heartbeats (palpitations)
    • bleeding from the vagina. Mifepristone may cause the lining of your uterus to become thick and may cause your uterus to bleed. Tell your doctor right away about any bleeding from your vagina that is not normal for you.
    • disruption of menstrual cycle
    • problems with the electrical system of your heart (QT interval prolongation).
    • worsening of symptoms of other medical problems that are treated with corticosteroids when you take corticosteroids and mifepristone at the same time.
    The most common side effects of mifepristone include:
    • nausea
    • headache
    • pain in your arms and legs (arthralgia)
    • swelling of your arms and legs (peripheral edema)
    • dizziness
    • thickening of the lining of the uterus (endometrial hypertrophy)
    • fatigue
    • low potassium in your blood
    • vomiting
    • high blood pressure
    • decreased appetite
    Tell your doctor if you have any side effect that bothers you or that does not go away.
    These are not all the possible side effects of mifepristone.
    Call your doctor for medical advice about side effects. You may report side effects to FDA at 1-800-FDA-1088.
    How should I store mifepristone?
    Store mifepristone at room temperature, between 68°F to 77°F (20°C to 25°C).
    Keep mifepristone and all medicines out of the reach of children.
    General information about the safe and effective use of mifepristone
    Medicines are sometimes prescribed for purposes other than those listed in a Medication Guide.
    Do not use mifepristone for a condition for which it was not prescribed. Do not give mifepristone to other people, even if they have the same symptoms you have. It may harm them. You can ask your pharmacist or healthcare provider for information about mifepristone that is written for healthcare professionals.
    What are the ingredients in mifepristone?
    Active ingredient: mifepristone
    Inactive ingredients: silicified microcrystalline cellulose, sodium starch glycolate, hydroxypropylcellulose, sodium lauryl sulfate, magnesium stearate, hypromellose, titanium dioxide, triacetin, D&C yellow 10 aluminum lake, polysorbate 80, and FD&C yellow 6 aluminum lake.
    Manufactured for: Corcept Therapeutics Incorporated, Redwood City, CA 94065
    ©2020 Corcept Therapeutics Incorporated. All rights reserved.
    M-00001 SEPTEMBER 2024
    For more information, go to www.corcept.com or call 1-855-456-7596.

    This Medication Guide has been approved by the U.S. Food and Drug Administration

    Revised: 09/2024

  • PRINCIPAL DISPLAY PANEL

    Principal Display Panel - for 280 Tablets Bottle Label (2000017691)

    NDC: 76346-654-03

    280 Tablets

    Rx only

    mifepristone

    300 mg tablets

    Take tablets whole. Do not split, crush or chew.

    ATTENTION PHARMACIST: Dispense attached Medication Guide to each patient.

    Principal Display Panel - for 280 Tablets Bottle Label (2000017691)
  • INGREDIENTS AND APPEARANCE
    MIFEPRISTONE 
    mifepristone tablet
    Product Information
    Product TypeHUMAN PRESCRIPTION DRUGItem Code (Source)NDC: 76346-654
    Route of AdministrationORAL
    Active Ingredient/Active Moiety
    Ingredient NameBasis of StrengthStrength
    MIFEPRISTONE (UNII: 320T6RNW1F) (MIFEPRISTONE - UNII:320T6RNW1F) MIFEPRISTONE300 mg
    Inactive Ingredients
    Ingredient NameStrength
    SODIUM STARCH GLYCOLATE TYPE A POTATO (UNII: 5856J3G2A2)  
    HYDROXYPROPYL CELLULOSE (1600000 WAMW) (UNII: RFW2ET671P)  
    MICROCRYSTALLINE CELLULOSE (UNII: OP1R32D61U)  
    SILICON DIOXIDE (UNII: ETJ7Z6XBU4)  
    SODIUM LAURYL SULFATE (UNII: 368GB5141J)  
    MAGNESIUM STEARATE (UNII: 70097M6I30)  
    HYPROMELLOSE, UNSPECIFIED (UNII: 3NXW29V3WO)  
    TRIACETIN (UNII: XHX3C3X673)  
    TITANIUM DIOXIDE (UNII: 15FIX9V2JP)  
    POLYSORBATE 80 (UNII: 6OZP39ZG8H)  
    D&C YELLOW NO. 10 (UNII: 35SW5USQ3G)  
    ALUMINUM OXIDE (UNII: LMI26O6933)  
    FD&C YELLOW NO. 6 (UNII: H77VEI93A8)  
    Product Characteristics
    Coloryellow (YELLOW) Scoreno score
    ShapeOVAL (OVAL) Size16mm
    FlavorImprint Code CORCEPT;300
    Contains    
    Packaging
    #Item CodePackage DescriptionMarketing Start DateMarketing End Date
    1NDC: 76346-654-03280 in 1 BOTTLE; Type 0: Not a Combination Product05/28/2024
    Marketing Information
    Marketing CategoryApplication Number or Monograph CitationMarketing Start DateMarketing End Date
    NDANDA20210705/28/2024
    Labeler - Corcept Therapeutics Incorporated (069540610)

  • © 2026 FDA.report
    This site is not affiliated with or endorsed by the FDA.