coadministration with valproate.
exceeding recommended initial dose of Lamotrigine Extended-Release Tablets.
exceeding recommended dose escalation for Lamotrigine Extended-Release Tablets. ( 5.1)
Boxed Warning 10/2025
Dosage and Administration (2.1, 2.2) 4/2025
Warnings and Precautions,Serious Skin Rashes 10/2025
Concomitant Use with Estrogen-Containing Products, Including Oral Contraceptives (5.9) 4/2025
Sudden Unexplained Death in Epilepsy (5.12) – removal 4/2025
Lamotrigine Extended-Release Tablets are indicated for:
Limitation of use: Safety and effectiveness in patients younger than 13 years have not been established. ( 1.3)
· Adjunctive therapy: Target therapeutic dosage range is 200 to 600 mg daily and is dependent on concomitant AEDs. ( 2.2)
· Conversion to monotherapy: Target therapeutic dosage range is 250 to 300 mg daily. ( 2.3)
Hypersensitivity to the drug or its ingredients. ( Boxed Warning, 4)
Life-threatening serious rash and/or rash-related death: Discontinue at the first sign of rash, unless the rash is clearly not drug related. ( Boxed Warning, 5.1)
Hemophagocytic lymphohistiocytosis: Consider this diagnosis and evaluate patients immediately if they develop signs or symptoms of systemic inflammation. Discontinue Lamotrigine Extended-Release Tablets if an alternative etiology is not established. ( 5.2)
Fatal or life-threatening hypersensitivity reaction: Multiorgan hypersensitivity reactions, also known as drug reaction with eosinophilia and systemic symptoms (DRESS), may be fatal or life threatening. Early signs may include rash, fever, and lymphadenopathy. These reactions may be associated with other organ involvement, such as hepatitis, hepatic failure, blood dyscrasias, or acute multiorgan failure. Lamotrigine Extended-Release Tablets should be discontinued if alternate etiology for this reaction is not found. ( 5.3)
Cardiac rhythm and conduction abnormalities: Based on in vitro findings, Lamotrigine Extended-Release Tablets could cause serious arrhythmias and/or death in patients with certain underlying cardiac disorders or arrhythmias. Any expected or observed benefit of Lamotrigine Extended-Release Tablets in an individual patient with clinically important structual or functional heart disease must be carefully weighed against the risk for serious arrythmias and/or death for that patient. ( 5.4)
Blood dyscrasias (e.g., neutropenia, thrombocytopenia, pancytopenia): May occur, either with or without an associated hypersensitivity syndrome. Monitor for signs of anemia, unexpected infection, or bleeding. ( 5.5)
Suicidal behavior and ideation: Monitor for suicidal thoughts or behaviors. ( 5.6)
Aseptic meningitis: Monitor for signs of meningitis. ( 5.7)
Medication errors due to product name confusion: Strongly advise patients to visually inspect tablets to verify the received drug is correct. ( 5.8, 16, 17)
To report SUSPECTED ADVERSE REACTIONS, contact Camber Pharmaceuticals Inc at 1-866-495-1995 or FDA at 1-800-FDA-1088 or www.fda.gov/medwatch.
See 17 for PATIENT COUNSELING INFORMATION and Medication Guide(available at http://camberpharma.com/medication-guides).
Revised: 10/2025
See 17 for PATIENT COUNSELING INFORMATION and Medication Guide.
Revised: 4/2026
LamotrigineExtended-Release Tabletscan cause serious rashes requiring hospitalization and discontinuation of treatment. The incidence of these rashes, which have included Stevens-Johnson syndrome, is approximately 0.8% (8 per 1,000) in pediatric patients (aged 2 to 16 years) receiving immediate-release lamotrigine as adjunctive therapy for epilepsy and 0.3% (3 per 1,000) in adults on adjunctive therapy for epilepsy. In a prospectively followed cohort of 1,983 pediatric patients (aged 2 to 16 years) with epilepsy taking adjunctive immediate-release lamotrigine, there was 1 rash-related death. LamotrigineExtended-Release Tablets arenot approved for patients younger than 13 years. In worldwide postmarketing experience, rare cases of toxic epidermal necrolysis and/or rash-related death have been reported in adult and pediatric patients, but their numbers are too few to permit a precise estimate of the rate.
The risk of serious rash caused by treatment withLamotrigineExtended-Release Tabletsisnot expected to differ from that with immediate-release lamotrigine. However, the relatively limited treatment experience withLamotrigineExtended-Release Tabletsmakes it difficult to characterize the frequency and risk of serious rashes caused by treatment withLamotrigineExtended-Release Tablets.
In addition to age, factors that may increase the risk of occurrence or the severity of rash caused by Lamotrigine Extended-Release Tablets include (1) coadministration of Lamotrigine Extended-Release Tablets with valproate (includes valproic acid and divalproex sodium), (2) exceeding the recommended initial dose of Lamotrigine Extended-Release Tablets, (3) exceeding the recommended dose escalation for Lamotrigine Extended-Release Tablets, or (4) the presence of the HLA-B*1502 allele However, cases have occurred in the absence of these factors.
Nearly all cases of life-threatening rashes caused by immediate-release lamotrigine have occurred within 2 to 8 weeks of treatment initiation. However, isolated cases have occurred after prolonged treatment (e.g., 6 months). Accordingly, duration of therapy cannot be relied upon as means to predict the potential risk heralded by the first appearance of a rash.
Although benign rashes are also caused byLamotrigineExtended-Release Tablets, it is not possible to predict reliably which rashes will prove to be serious or life threatening. Accordingly,LamotrigineExtended-Release Tabletsshould ordinarily be discontinued at the first sign of rash, unless the rash is clearly not drug related. Discontinuation of treatment may not prevent a rash from becoming life threatening or permanently disabling or disfiguring[see Warnings and Precautions ( 5.1)] .
Lamotrigine Extended-Release Tablets are indicated as adjunctive therapy for primary generalized tonic-clonic (PGTC) seizures and partial-onset seizures with or without secondary generalization in patients aged 13 years and older.
Lamotrigine Extended-Release Tablets are indicated for conversion to monotherapy in patients aged 13 years and older with partial-onset seizures who are receiving treatment with a single antiepileptic drug (AED).
Safety and effectiveness of Lamotrigine Extended-Release Tablets have not been established (1) as initial monotherapy or (2) for simultaneous conversion to monotherapy from 2 or more concomitant AEDs.
Lamotrigine Extended-Release Tablets are taken once daily, with or without food. Tablets must be swallowed whole and must not be chewed, crushed, or divided.
Rash
There are suggestions, that the risk of severe, potentially life-threatening rash may be increased by (1) coadministration of Lamotrigine Extended-Release Tablets with valproate, (2) exceeding the recommended initial dose of Lamotrigine Extended-Release Tablets, or (3) exceeding the recommended dose escalation for Lamotrigine Extended-Release Tablets. However, cases have occurred in the absence of these factors [see Boxed Warning]. Therefore, it is important that the dosing recommendations be followed closely.
The risk of nonserious rash may be increased when the recommended initial dose and/or the rate of dose escalation for Lamotrigine Extended-Release Tablets is exceeded and in patients with a history of allergy or rash to other AEDs.
It is recommended that Lamotrigine Extended-Release Tablets not be restarted in patients who discontinued due to rash associated with prior treatment with lamotrigine unless the potential benefits clearly outweigh the risks. If the decision is made to restart a patient who has discontinued Lamotrigine Extended-Release Tablets, the need to restart with the initial dosing recommendations should be assessed. The greater the interval of time since the previous dose, the greater consideration should be given to restarting with the initial dosing recommendations. If a patient has discontinued lamotrigine for a period of more than 5 half-lives, it is recommended that initial dosing recommendations and guidelines be followed. The half-life of lamotrigine is affected by other concomitant medications [see Clinical Pharmacology (12.3)].
Lamotrigine Extended-Release Tablets Added to Drugs Known to Induce or Inhibit Glucuronidation
Because lamotrigine is metabolized predominantly by glucuronic acid conjugation, drugs that are known to induce or inhibit glucuronidation may affect the apparent clearance of lamotrigine. Drugs that induce glucuronidation include carbamazepine, phenytoin, phenobarbital, primidone, rifampin, estrogen-containing products, including oral contraceptives, and the protease inhibitors lopinavir/ritonavir and atazanavir/ritonavir. Valproate inhibits glucuronidation. For dosing considerations for Lamotrigine Extended-Release Tablets in patients on estrogen-containing products including contraceptives and atazanavir/ritonavir, see below and Table 5. For dosing considerations for Lamotrigine Extended-Release Tablets in patients on other drugs known to induce or inhibit glucuronidation, see Table 1 and Table 5.
Target Plasma Levels
A therapeutic plasma concentration range has not been established for lamotrigine. Dosing of Lamotrigine Extended-Release Tablets should be based on therapeutic response [see Clinical Pharmacology (12.3)].
Women Taking Estrogen-Containing Oral Contraceptives
Starting LamotrigineExtended-Release Tablets in Women Taking Estrogen-Containing Oral Contraceptives:Although estrogen-containing oral contraceptives have been shown to increase the clearance of lamotrigine, no adjustments to the recommended dose-escalation guidelines for Lamotrigine Extended-Release Tablets should be necessary solely based on the use of estrogen-containing oral contraceptives [see Clinical Pharmacology (12.3)]. Therefore, dose escalation should follow the recommended guidelines for initiating adjunctive therapy with Lamotrigine Extended-Release Tablets based on the concomitant AED or other concomitant medications (see Table 1). See below for adjustments to maintenance doses of Lamotrigine Extended-Release Tablets in women taking estrogen-containing oral contraceptives.
Adjustments to the Maintenance Dose of Lamotrigine Extended-Release Tabletsin Women Taking Estrogen-Containing Oral Contraceptives:
(1) Taking Estrogen-Containing Oral Contraceptives:In women not taking carbamazepine, phenytoin, phenobarbital, primidone, or other drugs such as rifampin and the protease inhibitors lopinavir/ritonavir and atazanavir/ritonavir that induce lamotrigine glucuronidation [see Drug Interactions (7), Clinical Pharmacology (12.3)], the maintenance dose of Lamotrigine Extended-Release Tablets will in most cases need to be increased by as much as 2-fold over the recommended target maintenance dose to maintain a consistent lamotrigine plasma level.
(2) Starting Estrogen-Containing Oral Contraceptives:In women taking a stable dose of Lamotrigine Extended-Release Tablets and not taking carbamazepine, phenytoin, phenobarbital, primidone, or other drugs such as rifampin and the protease inhibitors lopinavir/ritonavir and atazanavir/ritonavir that induce lamotrigine glucuronidation, the maintenance dose will in most cases need to be increased by as much as 2-fold to maintain a consistent lamotrigine plasma level. [see Drug Interactions (7), Clinical Pharmacology (12.3)],The dose increases should begin at the same time that the oral contraceptive is introduced and continue, based on clinical response, no more rapidly than 50 to 100 mg/day every week. Dose increases should not exceed the recommended rate (see Table 1) unless lamotrigine plasma levels or clinical response support larger increases. Gradual transient increases in lamotrigine plasma levels may occur during the week of inactive hormonal preparation (pill-free week), and these increases will be greater if dose increases are made in the days before or during the week of inactive hormonal preparation. Increased lamotrigine plasma levels could result in additional adverse reactions, such as dizziness, ataxia, and diplopia. If adverse reactions attributable to Lamotrigine Extended-Release Tablets consistently occur during the pill-free week, dose adjustments to the overall maintenance dose may be necessary. Dose adjustments limited to the pill-free week are not recommended. For women taking Lamotrigine Extended-Release Tablets in addition to carbamazepine, phenytoin, phenobarbital, primidone, or other drugs such as rifampin and the protease inhibitors lopinavir/ritonavir and atazanavir/ritonavir that induce lamotrigine glucuronidation [see Drug Interactions (7), Clinical Pharmacology (12.3)], no adjustment to the dose of Lamotrigine Extended-Release Tablets should be necessary.
(3) Stopping Estrogen-Containing Oral Contraceptives:In women not taking carbamazepine, phenytoin, phenobarbital, primidone, or other drugs such as rifampin and the protease inhibitors lopinavir/ritonavir and atazanavir/ritonavir that induce lamotrigine glucuronidation [see Drug Interactions (7), Clinical Pharmacology (12.3)], the maintenance dose of Lamotrigine Extended-Release Tablets will in most cases need to be decreased by as much as 50% in order to maintain a consistent lamotrigine plasma level. The decrease in dose of Lamotrigine Extended-Release Tablets should not exceed 25% of the total daily dose per week over a 2-week period, unless clinical response or lamotrigine plasma levels indicate otherwise [see Clinical Pharmacology (12.3)]. In women taking Lamotrigine Extended-Release Tablets in addition to carbamazepine, phenytoin, phenobarbital, primidone, or other drugs such as rifampin and the protease inhibitors lopinavir/ritonavir and atazanavir/ritonavir that induce lamotrigine glucuronidation, no adjustment to the dose of Lamotrigine Extended-Release Tablets should be necessary. [see Drug Interactions (7), Clinical Pharmacology (12.3)],
Women and Other Hormonal Contraceptive Preparations or Hormone Replacement Therapy
The effect of other hormonal contraceptive preparations or hormone replacement therapy (HRT)on the pharmacokinetics of lamotrigine has not been systematically evaluated. Other estrogen containing therapies, such as HRT, may interfere with lamotrigine. Therefore, close clinical monitoring on effectiveness of Lamotrigine Extended-Release Tablets with dose adjustment may be necessary [see Warnings and Precautions (5.9)]. It has been reported that ethinylestradiol, not progestogens, increased the clearance of lamotrigine up to 2-fold, and the progestin-only pills had no effect on lamotrigine plasma levels. Therefore, adjustments to the dosage of Lamotrigine Extended-Release Tablets in the presence of progestogens alone will likely not be needed.
Patients Taking Atazanavir/Ritonavir
While atazanavir/ritonavir does reduce the lamotrigine plasma concentration, no adjustments to the recommended dose-escalation guidelines for Lamotrigine Extended-Release Tablets should be necessary solely based on the use of atazanavir/ritonavir. Dose escalation should follow the recommended guidelines for initiating adjunctive therapy with Lamotrigine Extended-Release Tablets based on concomitant AED or other concomitant medications (see Tables 1 and 5). In patients already taking maintenance doses of Lamotrigine Extended-Release Tablets and not taking glucuronidation inducers, the dose of Lamotrigine Extended-Release Tablets may need to be increased if atazanavir/ritonavir is added or decreased if atazanavir/ritonavir is discontinued [see Clinical Pharmacology (12.3)].
Patients with Hepatic Impairment
Experience in patients with hepatic impairment is limited. Based on a clinical pharmacology study in 24 subjects with mild, moderate, and severe liver impairment [see Use in Specific Populations (8.6), Clinical Pharmacology (12.3)], the following general recommendations can be made. No dosage adjustment is needed in patients with mild liver impairment. Initial, escalation, and maintenance doses should generally be reduced by approximately 25% in patients with moderate and severe liver impairment without ascites and 50% in patients with severe liver impairment with ascites. Escalation and maintenance doses may be adjusted according to clinical response.
Patients with Renal Impairment
Initial doses of Lamotrigine Extended-Release Tablets should be based on patients’ concomitant medications (see Table 1); reduced maintenance doses may be effective for patients with significant renal impairment [see Use in Specific Populations (8.7), Clinical Pharmacology (12.3)]. Few patients with severe renal impairment have been evaluated during chronic treatment with immediate- release lamotrigine. Because there is inadequate experience in this population, Lamotrigine Extended-Release Tablets should be used with caution in these patients.
Discontinuation Strategy
For patients receiving Lamotrigine Extended-Release Tablets in combination with other AEDs, a re-evaluation of all AEDs in the regimen should be considered if a change in seizure control or an appearance or worsening of adverse reactions is observed.
If a decision is made to discontinue therapy with Lamotrigine Extended-Release Tablets, a step-wise reduction of dose over at least 2 weeks (approximately 50% per week) is recommended unless safety concerns require a more rapid withdrawal [see Warnings and Precautions (5.10)].
Discontinuing carbamazepine, phenytoin, phenobarbital, primidone, or other drugs such as rifampin and the protease inhibitors lopinavir/ritonavir and atazanavir/ritonavir that induce lamotrigine glucuronidation should prolong the half-life of lamotrigine; discontinuing valproate should shorten the half-life of lamotrigine.
This section provides specific dosing recommendations for patients aged 13 years and older. Specific dosing recommendations are provided depending upon concomitant AEDs or other concomitant medications.
Table 1. Escalation Regimen for Lamotrigine Extended-Release Tablets in Patients Aged 13 Years and Older
|
In Patients TAKING Valproate a |
In Patients NOT TAKING Carbamazepine, Phenytoin, Phenobarbital, Primidone, bor Valproate a |
In Patients TAKING Carbamazepine, Phenytoin, Phenobarbital, or Primidone band NOT TAKING Valproate a |
|
|
Weeks 1 and 2 |
25 mg every otherday |
25 mg every day |
50 mg every day |
|
Weeks 3 and 4 |
25 mg every day |
50 mg every day |
100 mg every day |
|
Week 5 |
50 mg every day |
100 mg every day |
200 mg every day |
|
Week 6 |
100 mg every day |
150 mg every day |
300 mg every day |
|
Week 7 |
150 mg every day |
200 mg every day |
400 mg every day |
|
Maintenance range(week 8 and onward) |
200 to 250 mg every day c |
300 to 400 mg every day c |
400 to 600 mg every day c |
aValproate has been shown to inhibit glucuronidation and decrease the apparent clearance of lamotrigine [see Drug Interactions (7), Clinical Pharmacology (12.3)].
bDrugs that induce lamotrigine glucuronidation and increase clearance, other than the specified AEDs, include estrogen-containing oral contraceptives, rifampin, and the protease inhibitors lopinavir/ritonavir and atazanavir/ritonavir. Dosing recommendations for estrogen-containing products, including oral contraceptives and the protease inhibitor atazanavir/ritonavir can be found in General Dosing Considerations [see Dosage and Administration (2.1)]. Patients on rifampin and the protease inhibitor lopinavir/ritonavir should follow the same dosing titration/maintenance regimen used with AEDs that induce glucuronidation and increase clearance [see Dosage and Administration (2.1), Drug Interactions (7), Clinical Pharmacology (12.3)].
c Dose increases at week 8 or later should not exceed 100 mg daily at weekly intervals.
The goal of the transition regimen is to attempt to maintain seizure control while mitigating the risk of serious rash associated with the rapid titration of Lamotrigine Extended-Release Tablets.
To avoid an increased risk of rash, the recommended maintenance dosage range of Lamotrigine Extended-Release Tablets as monotherapy is 250 to 300 mg given once daily.
The recommended initial dose and subsequent dose escalations for Lamotrigine Extended-Release Tablets should not be exceeded [see Boxed Warning].
Conversion from Adjunctive Therapy with Carbamazepine, Phenytoin, Phenobarbital, or Primidone to Monotherapy with Lamotrigine Extended-Release Tablets
After achieving a dose of 500 mg/day of Lamotrigine Extended-Release Tablets using the guidelines in Table 1, the concomitant enzyme-inducing AED should be withdrawn by 20% decrements each week over a 4-week period. Two weeks after completion of withdrawal of the enzyme-inducing AED, the dosage of Lamotrigine Extended-Release Tablets may be decreased no faster than 100 mg/day each week to achieve the monotherapy maintenance dosage range of 250 to 300 mg/day.
The regimen for the withdrawal of the concomitant AED is based on experience gained in the controlled monotherapy clinical trial using immediate-release lamotrigine.
Conversion from Adjunctive Therapy with Valproate to Monotherapy with Lamotrigine Extended-Release Tablets
The conversion regimen involves the 4 steps outlined in Table 2.
Table 2. Conversion from Adjunctive Therapy with Valproate to Monotherapy with Lamotrigine Extended-Release Tablets in Patients Aged 13 Years and Older with Epilepsy
|
LamotrigineExtended-Release Tablets |
Valproate |
|
|
Step 1 |
Achieve a dose of 150 mg/day according to guidelines in Table 1. |
Maintain established stable dose. |
|
Step 2 |
Maintain at 150 mg/day. |
Decrease dose by decrements no greater than 500 mg/day/week to 500 mg/day and then maintain for 1 week. |
|
Step 3 |
Increase to 200 mg/day. |
Simultaneously decrease to 250 mg/day and maintain for 1 week. |
|
Step 4 |
Increase to 250 or 300 mg/day. |
Discontinue. |
Conversion from Adjunctive Therapy with Antiepileptic Drugs other than Carbamazepine, Phenytoin, Phenobarbital, Primidone, or Valproate to Monotherapy with Lamotrigine Extended-Release Tablets
After achieving a dosage of 250 to 300 mg/day of Lamotrigine Extended-Release Tablets using the guidelines in Table 1, the concomitant AED should be withdrawn by 20% decrements each week over a 4-week period. No adjustment to the monotherapy dose of Lamotrigine Extended-Release Tablets is needed.
Patients may be converted directly from immediate-release lamotrigine to Lamotrigine Extended-Release Tablets. The initial dose of Lamotrigine Extended-Release Tablets should match the total daily dose of immediate-release lamotrigine. However, some subjects on concomitant enzyme-inducing agents may have lower plasma levels of lamotrigine on conversion and should be monitored [see Clinical Pharmacology (12.3)].
Following conversion to Lamotrigine Extended-Release Tablets, all patients (but especially those on drugs that induce lamotrigine glucuronidation) should be closely monitored for seizure control [see Drug Interactions (7)].Depending on the therapeutic response after conversion, the total daily dose may need to be adjusted within the recommended dosing instructions (see Table 1).
Lamotrigine Extended-Release Tablets are contraindicated in patients who have demonstrated hypersensitivity (e.g., rash, angioedema, acute urticaria, extensive pruritus, mucosal ulceration) to the drug or its ingredients [see Boxed Warning, Warnings and Precautions ( 5.1, 5.3)] .
The risk of serious rash caused by treatment with Lamotrigine Extended-Release Tablets is not expected to differ from that with immediate-release lamotrigine [see Boxed Warning]. However, the relatively limited treatment experience with Lamotrigine Extended-Release Tablets makes it difficult to characterize the frequency and risk of serious rashes caused by treatment with Lamotrigine Extended-Release Tablets.
Pediatric Population
The incidence of serious rash associated with hospitalization and discontinuation of immediate-release lamotrigine in a prospectively followed cohort of pediatric patients (aged 2 to 16 years) with epilepsy receiving adjunctive therapy with immediate-release lamotrigine was approximately 0.8% (16 of 1,983). When 14 of these cases were reviewed by 3 expert dermatologists, there was considerable disagreement as to their proper classification. To illustrate, one dermatologist considered none of the cases to be Stevens-Johnson syndrome; another assigned 7 of the 14 to this diagnosis. There was 1 rash-related death in this 1,983-patient cohort. Additionally, there have been rare cases of toxic epidermal necrolysis with and without permanent sequelae and/or death in U.S. and foreign postmarketing experience.
There is evidence that the inclusion of valproate in a multidrug regimen increases the risk of serious, potentially life-threatening rash in pediatric patients. In pediatric patients who used valproate concomitantly, 1.2% (6 of 482) experienced a serious rash compared with 0.6% (6 of 952) patients not taking valproate.
Lamotrigine Extended-Release Tablets are not approved in patients younger than 13 years.
Adult Population
Serious rash associated with hospitalization and discontinuation of immediate-release lamotrigine occurred in 0.3% (11 of 3,348) of adult patients who received immediate-release lamotrigine in premarketing clinical trials of epilepsy. In worldwide postmarketing experience, rare cases of rash-related death have been reported, but their numbers are too few to permit a precise estimate of the rate.
Among the rashes leading to hospitalization were Stevens-Johnson syndrome, toxic epidermal necrolysis, angioedema, and those associated with multiorgan hypersensitivity [see Warnings and Precautions (5.3)].
Risk Factors
Concomitant Use of Valproate[
There is evidence that the inclusion of valproate in a multidrug regimen increases the risk of serious, potentially life-threatening rash in adults. Specifically, of 584 patients administered immediate-release lamotrigine with valproate in epilepsy clinical trials, 6 (1%) were hospitalized in association with rash; in contrast, 4 (0.16%) of 2,398 clinical trial patients and volunteers administered immediate-release lamotrigine in the absence of valproate were hospitalized.
Patients with History of Allergy or Rash to Other Antiepileptic Drugs
The risk of rash may be increased in patients with a history of allergy or rash to other AEDs.
Not Adhering to the Recommended Dosage
The risk of rash is increased by both exceeding the recommended initial dose of Lamotrigine Extended-Release Tablets and exceeding the recommended dose escalation for Lamotrigine Extended-Release Tablets.
Patients with Genetic Variant Human Leukocyte Antigen (HLA)-B*1502 Allele
Retrospective case-control studies in patients of certain Asian ancestry (e.g., Han Chinese and Thai) suggest that the HLA-B*1502 allele is associated with an increased risk (approximately 2-3 times higher) of developing Stevens-Johnson syndrome (SJS)/toxic epidermal necrolysis (TEN) in patients using lamotrigine. The risks and benefits of therapy should be weighed when
considering use of Lamotrigine Extended-Release Tablets in patients known to be positive for HLA-B*1502. Application of HLA genotyping as a screening tool has important limitations and must never substitute for appropriate clinical vigilance and patient management. Many HLA‑B*1502‑positive patients treated with Lamotrigine Extended-Release Tablets will not develop SJS/TEN or other hypersensitivity reactions, and these reactions can still occur in HLA‑B*1502‑negative patients of any ethnicity.
[
Hemophagocytic lymphohistiocytosis (HLH) has occurred in pediatric and adult patients taking Lamotrigine Extended-Release Tablets for various indications. HLH is a life-threatening syndrome of pathologic immune activation characterized by clinical signs and symptoms of extreme systemic inflammation. It is associated with high mortality rates if not recognized early and treated. Common findings include fever, hepatosplenomegaly, rash, lymphadenopathy, neurologic symptoms, cytopenias, high serum ferritin,hypertriglyceridemia, and liver function and coagulation abnormalities. In cases of HLH reported with Lamotrigine Extended-Release Tablets, patients have presented with signs of systemic inflammation (fever, rash, hepatosplenomegaly, and organ system dysfunction) and blood dyscrasias. Symptoms have been reported to occur within 8 to 24 days following the initiation of treatment. Patients who develop early manifestations of pathologic immune activation should be evaluated immediately, and a diagnosis of HLH should be considered. Lamotrigine Extended-Release Tablets should be discontinued if an alternative etiology for the signs or symptoms cannot be established.
Multiorgan hypersensitivity reactions, also known as drug reaction with eosinophilia and systemic symptoms (DRESS), have occurred with lamotrigine. Some have been fatal or life threatening. DRESS typically, although not exclusively, presents with fever, rash, and/or lymphadenopathy in association with other organ system involvement, such as hepatitis, nephritis, hematologic abnormalities, myocarditis, or myositis, sometimes resembling an acute viral infection. Eosinophilia is often present. This disorder is variable in its expression and other organ systems not noted here may be involved.
Fatalities associated with acute multiorgan failure and various degrees of hepatic failure have been reported in 2 of 3,796 adult patients and 4 of 2,435 pediatric patients who received lamotrigine in epilepsy clinical trials. Rare fatalities from multiorgan failure have also been reported in postmarketing use.
Isolated liver failure without rash or involvement of other organs has also been reported with lamotrigine.
It is important to note that early manifestations of hypersensitivity (e.g., fever, lymphadenopathy) may be present even though a rash is not evident. If such signs or symptoms are present, the patient should be evaluated immediately. Lamotrigine Extended-Release Tablets should be discontinued if an alternative etiology for the signs or symptoms cannot be established.
Prior to initiation of treatment with Lamotrigine Extended-Release Tablets, the patient should be instructed that a rash or other signs or symptoms of hypersensitivity (e.g., fever, lymphadenopathy) may herald a serious medical event and that the patient should report any such occurrence to a healthcare provider immediately.
In vitro testing showed that Lamotrigine Extended-Release Tablets exhibit Class IB antiarrhythmic activity at therapeutically relevant concentrations [see Clinical Pharmacology ( 12.2)] . Based on these in vitro findings, Lamotrigine Extended-Release Tablets could slow ventricular conduction (widen QRS) and induce proarrhythmia, which can lead to sudden death, in patients with clinicallly important structural or functional heart disease (i.e., patients with heart failure, valvular heart disease, congenital heart disease, conduction system disease, ventricular arrhythmias, cardiac channelopathies [e.g., Brugada syndrome], clinically important ischemic heart disease, or multiple risk factors for coronary artery disease). Any expected or observed benefit of Lamotrigine Extended-Release Tablets in an individual patient with clinically important structural or functional heart disease must be carefully weighed against the risks for serious arrythmias and/or death for that patient. Concomitant use of other sodium channel blockers may further increase the risk of proarrhythmia.
There have been reports of blood dyscrasias with immediate-release lamotrigine that may or may not be associated with multiorgan hypersensitivity (also known as DRESS) [see Warnings and Precautions (5.3)]. These have included neutropenia, leukopenia, anemia, thrombocytopenia, pancytopenia, and, rarely, aplastic anemia and pure red cell aplasia.
AEDs, including Lamotrigine Extended-Release Tablets, increase the risk of suicidal thoughts or behavior in patients taking these drugs for any indication. Patients treated with any AED for any indication should be monitored for the emergence or worsening of depression, suicidal thoughts or behavior, and/or any unusual changes in mood or behavior.
Pooled analyses of 199 placebo-controlled clinical trials (monotherapy and adjunctive therapy) of 11 different AEDs showed that patients randomized to 1 of the AEDs had approximately twice the risk (adjusted Relative Risk 1.8, 95% CI: 1.2, 2.7) of suicidal thinking or behavior compared with patients randomized to placebo. In these trials, which had a median treatment duration of 12 weeks, the estimated incidence of suicidal behavior or ideation among 27,863 AED-treated patients was 0.43%, compared with 0.24% among 16,029 placebo-treated patients, representing an increase of approximately 1 case of suicidal thinking or behavior for every 530 patients treated. There were 4 suicides in drug-treated patients in the trials and none in placebo-treated patients, but the number of events is too small to allow any conclusion about drug effect on suicide.
The increased risk of suicidal thoughts or behavior with AEDs was observed as early as 1 week after starting treatment with AEDs and persisted for the duration of treatment assessed. Because most trials included in the analysis did not extend beyond 24 weeks, the risk of suicidal thoughts or behavior beyond 24 weeks could not be assessed.
The risk of suicidal thoughts or behavior was generally consistent among drugs in the data analyzed. The finding of increased risk with AEDs of varying mechanism of action and across a range of indications suggests that the risk applies to all AEDs used for any indication. The risk did not vary substantially by age (5 to 100 years) in the clinical trials analyzed.
Table 3 shows absolute and relative risk by indication for all evaluated AEDs.
Table 3. Risk by Indication for Antiepileptic Drugs in the Pooled Analysis
|
Indication |
Placebo Patients with Events per 1,000 Patients |
Drug Patients with Events per 1,000 Patients |
Relative Risk: Incidence of Events in Drug Patients/ Incidence in Placebo Patients |
Risk Difference: Additional Drug Patients with Events per 1,000 Patients |
|
Epilepsy |
1.0 |
3.4 |
3.5 |
2.4 |
|
Psychiatric |
5.7 |
8.5 |
1.5 |
2.9 |
|
Other |
1.0 |
1.8 |
1.9 |
0.9 |
|
Total |
2.4 |
4.3 |
1.8 |
1.9 |
The relative risk for suicidal thoughts or behavior was higher in clinical trials for epilepsy than in clinical trials for psychiatric or other conditions, but the absolute risk differences were similar for the epilepsy and psychiatric indications.
Anyone considering prescribing Lamotrigine Extended-Release Tablets or any other AED must balance the risk of suicidal thoughts or behavior with the risk of untreated illness. Epilepsy and many other illnesses for which AEDs are prescribed are themselves associated with morbidity and mortality and an increased risk of suicidal thoughts and behavior. Should suicidal thoughts and behavior emerge during treatment, the prescriber needs to consider whether the emergence of these symptoms in any given patient may be related to the illness being treated.
Patients, their caregivers, and families should be informed that AEDs increase the risk of suicidal thoughts and behavior and should be advised of the need to be alert for the emergence or worsening of the signs and symptoms of depression, any unusual changes in mood or behavior, the emergence of suicidal thoughts or suicidal behavior, or thoughts about self-harm. Behaviors of concern should be reported immediately to healthcare providers.
Therapy with lamotrigine increases the risk of developing aseptic meningitis. Because of the potential for serious outcomes of untreated meningitis due to other causes, patients should also be evaluated for other causes of meningitis and treated as appropriate.
Postmarketing cases of aseptic meningitis have been reported in pediatric and adult patients taking lamotrigine for various indications. Symptoms upon presentation have included headache, fever, nausea, vomiting, and nuchal rigidity. Rash, photophobia, myalgia, chills, altered consciousness, and somnolence were also noted in some cases. Symptoms have been reported to occur within 1 day to one and a half months following the initiation of treatment. In most cases, symptoms were reported to resolve after discontinuation of lamotrigine. Re-exposure resulted in a rapid return of symptoms (from within 30 minutes to 1 day following re-initiation of treatment) that were frequently more severe. Some of the patients treated with lamotrigine who developed aseptic meningitis had underlying diagnoses of systemic lupus erythematosus or other autoimmune diseases.
Cerebrospinal fluid (CSF) analyzed at the time of clinical presentation in reported cases was characterized by a mild to moderate pleocytosis, normal glucose levels, and mild to moderate increase in protein. CSF white blood cell count differentials showed a predominance of neutrophils in a majority of the cases, although a predominance of lymphocytes was reported in approximately one third of the cases. Some patients also had new onset of signs and symptoms of involvement of other organs (predominantly hepatic and renal involvement), which may suggest that in these cases the aseptic meningitis observed was part of a hypersensitivity reaction
[see Warnings and Precautions (
5.3)]
.
Medication errors involving Lamotrigine Extended-Release Tablets have occurred. In particular, the names Lamotrigine Tablets or lamotrigine can be confused with the names of other commonly used medications. Medication errors may also occur between the different formulations of Lamotrigine Tablets. To reduce the potential of medication errors, write and say Lamotrigine Extended-Release Tablets clearly. Depictions of the Lamotrigine Extended-Release Tablets can be found in the Medication Guide. Each Lamotrigine Extended-Release Tablet has a distinct color, and is printed with Y31, Y32, Y33, Y34, Y35 or Y36 on one side. These distinctive features serve to identify the different presentations of the drug and thus may help reduce the risk of medication errors. Lamotrigine Extended-Release Tablets are supplied in round, unit-of-use bottles with white caps containing 30 tablets. The label on the bottle includes a depiction of the tablets that further communicates to patients and pharmacists that the medication is Lamotrigine Extended-Release Tablets and the specific tablet strength included in the bottle. The unit-of-use bottle with a distinctive bottle label features serves to identify the different presentations of the drug and thus may help to reduce the risk of medication errors. To avoid the medication error of using the wrong drug or formulation, patients should be strongly advised to visually inspect their tablets to verify that they are Lamotrigine Extended-Release Tablets each time they fill their prescription.
Some estrogen-containing oral contraceptives have been shown to decrease serum concentrations of lamotrigine [see Clinical Pharmacology ( 12.3)] . Dosage adjustments will be necessary in most patients who start or stop estrogen-containing oral contraceptives while taking Lamotrigine Extended-Release Tablets [see Dosage and Administration ( 2.1)] .During the week of inactive hormone preparation (pill-free week) of oral contraceptive therapy, plasma lamotrigine levels are expected to rise, as much as doubling at the end of the week. Adverse reactions consistent with elevated levels of lamotrigine, such as dizziness, ataxia, and diplopia, could occur. Other oral contraceptive and other estrogen-containingtherapies (such as HRT) have not been studied, though they maysimilarly affect lamotrigine pharmacokinetic parameters.
As with other AEDs, Lamotrigine Extended-Release Tablets should not be abruptly discontinued. In patients with epilepsy there is a possibility of increasing seizure frequency. Unless safety concerns require a more rapid withdrawal, the dose of Lamotrigine Extended-Release Tablets should be tapered over a period of at least 2 weeks (approximately 50% reduction per week) [see Dosage and Administration ( 2.1)] .
Valid estimates of the incidence of treatment-emergent status epilepticus among patients treated with immediate-release lamotrigine are difficult to obtain because reporters participating in clinical trials did not all employ identical rules for identifying cases. At a minimum, 7 of 2,343 adult patients had episodes that could unequivocally be described as status epilepticus. In addition, a number of reports of variably defined episodes of seizure exacerbation (e.g., seizure clusters, seizure flurries) were made.
Because valproate reduces the clearance of lamotrigine, the dosage of lamotrigine in the presence of valproate is less than half of that required in its absence [see Dosage and Administration ( 2.1, 2.2), Drug Interactions ( 7)] .
Because lamotrigine binds to melanin, it could accumulate in melanin-rich tissues over time. This raises the possibility that lamotrigine may cause toxicity in these tissues after extended use. Although ophthalmological testing was performed in 1 controlled clinical trial, the testing was inadequate to exclude subtle effects or injury occurring after long-term exposure. Moreover, the capacity of available tests to detect potentially adverse consequences, if any, of lamotrigine’s binding to melanin is unknown.
Accordingly, although there are no specific recommendations for periodic ophthalmological monitoring, prescribers should be aware of the possibility of long-term ophthalmologic effects.
False-Positive Drug Test Results
Lamotrigine has been reported to interfere with the assay used in some rapid urine drug screens, which can result in false-positive readings, particularly for phencyclidine (PCP). A more specific analytical method should be used to confirm a positive result.
Plasma Concentrations of Lamotrigine
The value of monitoring plasma concentrations of lamotrigine in patients treated with Lamotrigine Extended-Release Tablets has not been established. Because of the possible pharmacokinetic interactions between lamotrigine and other drugs, including AEDs (see Table 6), monitoring of the plasma levels of lamotrigine and concomitant drugs may be indicated, particularly during dosage adjustments. In general, clinical judgment should be exercised regarding monitoring of plasma levels of lamotrigine and other drugs and whether or not dosage adjustments are necessary.
Effect on Leukocytes
Treatment with Lamotrigine Extended-Release Tablets caused an increased incidence of subnormal (below the reference range) values in some hematology analytes (e.g., total white blood cells, monocytes). The treatment effect (Lamotrigine Extended-Release Tablets % - Placebo %) incidence of subnormal counts was 3% for total white blood cells and 4% for monocytes.
The following serious adverse reactions are described in more detail in the Warnings and Precautionssection of the labeling:
Serious Skin Rashes [see Warnings and Precautions (5.1)]
Hemophagocytic Lymphohistiocytosis [see Warnings and Precautions (5.2)]
Multiorgan Hypersensitivity Reactions and Organ Failure [see Warnings and Precautions (5.3)]
Cardiac Rhythm and Conduction Abnormalities [see Warnings and Precautions (5.4)]
Blood Dyscrasias [see Warnings and Precautions (5.5)]
Suicidal Behavior and Ideation [see Warnings and Precautions (5.6)]
Aseptic Meningitis [see Warnings and Precautions (5.7)]
Withdrawal Seizures [see Warnings and Precautions (5.10)]
Status Epilepticus [see Warnings and Precautions (5.11)]
Sudden Unexplained Death in Epilepsy [see Warnings and Precautions (5.12)]
Most Common Adverse Reactions in Clinical Trials
Adjunctive Therapy in Patients with Epilepsy:Because clinical trials are conducted under widely varying conditions, adverse reaction rates observed in the clinical trials of a drug cannot be directly compared with rates in the clinical trials of another drug and may not reflect the rates observed in practice.
In these 2 trials, adverse reactions led to withdrawal of 4 (2%) patients in the group receiving placebo and 10 (5%) patients in the group receiving Lamotrigine Extended-Release Tablets. Dizziness was the most common reason for withdrawal in the group receiving Lamotrigine Extended-Release Tablets (5 patients [3%]). The next most common adverse reactions leading to withdrawal in 2 patients each (1%) were rash, headache, nausea, and nystagmus.
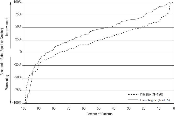
Table 4 displays the incidence of adverse reactions in these two 19-week, double-blind, placebo-controlled trials of patients with PGTC and partial onset seizures.
Table 4. Adverse Reactions in Pooled, Placebo-Controlled, Adjunctive Trials in Patients with Epilepsy a
|
Body System/ Adverse Reaction |
Percent of Patients Receiving Adjunctive LamotrigineExtended-Release Tablets
|
Percent of Patients Receiving Adjunctive Placebo
|
|
Ear and labyrinth disorders Vertigo |
3 |
<1 |
|
Eye disorders Diplopia Vision blurred |
5 3 |
<1 2 |
|
Gastrointestinal disorders Nausea Vomiting Diarrhea Constipation Dry mouth |
7 6 5 2 2 |
4 3 3 <1 1 |
|
General disorders and administration site conditions Asthenia and fatigue |
6 |
4 |
|
Infections and infestations Sinusitis |
2 |
1 |
|
Metabolic and nutritional disorders Anorexia |
3 |
2 |
|
Musculoskeletal and connective tissue disorder Myalgia |
2 |
0 |
|
Nervous system Dizziness Tremor and intention tremor Somnolence Cerebellar coordination and balance disorder Nystagmus |
14 6 5 3 2 |
6 1 3 0 <1 |
|
Psychiatric disorders Depression Anxiety |
3 3 |
<1 0 |
|
Respiratory, thoracic, and mediastinal disorders Pharyngolaryngeal pain |
3 |
2 |
|
Vascular disorder Hot flush |
2 |
0 |
aAdverse reactions that occurred in at least 2% of patients treated with Lamotrigine Extended-Release Tablets and at a greater incidence than placebo.
Note: In these trials the incidence of nonserious rash was 2% for Lamotrigine Extended-Release Tablets and 3% for placebo. In clinical trials evaluating immediate-release lamotrigine, the rate of serious rash was 0.3% in adults on adjunctive therapy for epilepsy [see Boxed Warning].
Adverse reactions were also analyzed to assess the incidence of the onset of an event in the titration period, and in the maintenance period, and if adverse reactions occurring in the titration phase persisted in the maintenance phase.
The incidence for many adverse reactions caused by treatment with Lamotrigine Extended-Release Tablets was increased relative to placebo (i.e., treatment difference between Lamotrigine Extended-Release Tablets and placebo≥2%) in either the titration or maintenance phases of the trial. During the titration phase, an increased incidence (shown in descending order of percent treatment difference) was observed for diarrhea, nausea, vomiting, somnolence, vertigo, myalgia, hot flush, and anxiety. During the maintenance phase, an increased incidence was observed for dizziness, tremor, and diplopia.Some adverse reactions developing in the titration phase were notable for persisting (>7 days) into the maintenance phase. These persistent adverse reactions included somnolence and dizziness.
There were inadequate data to evaluate the effect of dose and/or concentration on the incidence of adverse reactions because, although patients were randomized to different target doses based upon concomitant AEDs, the plasma exposure was expected to be generally similar among all patients receiving different doses. However, in a randomized, parallel trial comparing placebo with 300 and 500 mg/day of immediate-release lamotrigine, the incidence of the most common adverse reactions (≥5%) such as ataxia, blurred vision, diplopia, and dizziness were dose related. Less common adverse reactions (<5%) were not assessed for dose-response relationships.
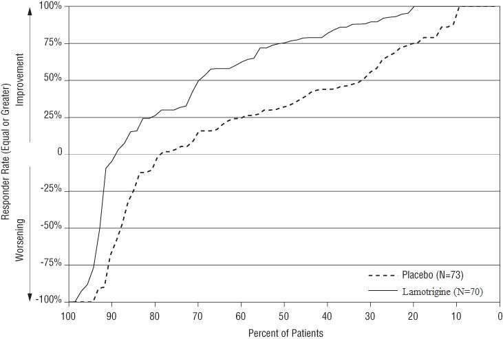
Monotherapy in Patients with Epilepsy:Adverse reactions observed in this trial were generally similar to those observed and attributed to drug in adjunctive and monotherapy immediate-release lamotrigine and adjunctive Lamotrigine Extended-Release Tablets placebo-controlled trials. Only 2 adverse events, nasopharyngitis and upper respiratory tract infection, were observed at a rate of ≥3% and not reported at a similar rate in previous trials. Because this trial did not include a placebo control group, causality could not be established [see Clinical Studies (14.3)].
All reported reactions are included except those already listed in the previous tables or elsewhere in the labeling, those too general to be informative, and those not reasonably associated with the use of the drug.
Adjunctive Therapy in Adults with Epilepsy
In addition to the adverse reactions reported above from the development of Lamotrigine Extended-Release Tablets, the following adverse reactions with an uncertain relationship to lamotrigine were reported during the clinical development of immediate-release lamotrigine for treatment of epilepsy in adults. These reactions occurred in ≥2% of patients receiving immediate-release lamotrigine and more frequently than in the placebo group.
Body as a Whole:Headache, flu syndrome, fever, neck pain.
Musculoskeletal:Arthralgia.
Nervous:Insomnia, convulsion, irritability, speech disorder, concentration disturbance.
Respiratory:Pharyngitis, cough increased.
Skin and Appendages:Rash, pruritus.
Urogenital (female patients only):Vaginitis, amenorrhea, dysmenorrhea.
Monotherapy in Adults with Epilepsy
In addition to the adverse reactions reported above from the development of Lamotrigine Extended-Release Tablets, the following adverse reactions with an uncertain relationship to lamotrigine were reported during the clinical development of immediate-release lamotrigine for treatment of epilepsy in adults. These reactions occurred in >2% of patients receiving immediate-release lamotrigine and more frequently than in the placebo group.
Body as a Whole:Chest pain.
Digestive:Rectal hemorrhage, peptic ulcer.
Metabolic and Nutritional:Weight decrease, peripheral edema.
Nervous:Hypesthesia, libido increase, decreased reflexes.
Respiratory:Epistaxis, dyspnea.
Skin and Appendages:Contact dermatitis, dry skin, sweating.
Special Senses:Vision abnormality.
Urogenital (female patients only):Dysmenorrhea.
Other Clinical Trial Experience
Immediate-release lamotrigine has been administered to 6,694 individuals for whom complete adverse reaction data was captured during all clinical trials, only some of which were placebo controlled.
Adverse reactions are further classified within body system categories and enumerated in order of decreasing frequency using the following definitions: frequentadverse reactions are defined as those occurring in at least 1/100 patients; infrequentadverse reactions are those occurring in 1/100 to 1/1,000 patients; rare adverse reactions are those occurring in fewer than 1/1,000 patients.
Cardiovascular System: Infrequent:Hypertension, palpitations, postural hypotension, syncope, tachycardia, vasodilation.
Dermatological: Infrequent:Acne, alopecia, hirsutism, maculopapular rash, urticaria.
Rare:Leukoderma, multiforme erythema, petechial rash, pustular rash.
Digestive System: Infrequent:Dysphagia, liver function tests abnormal, mouth ulceration.
Rare:Gastrointestinal hemorrhage, hemorrhagic colitis, hepatitis, melena, stomach ulcer.
Endocrine System: Rare:Goiter, hypothyroidism.
Hematologic and Lymphatic System: Infrequent:Ecchymosis, leukopenia.
Rare:Anemia, eosinophilia, fibrin decrease, fibrinogen decrease, iron deficiency anemia, leukocytosis, lymphocytosis, macrocytic anemia, petechia, thrombocytopenia.
Metabolic and Nutritional Disorders: Infrequent:Aspartate transaminase increased.
Rare:Alcohol intolerance, alkaline phosphatase increase, alanine transaminase increase, bilirubinemia, gamma glutamyl transpeptidase increase, hyperglycemia.
Musculoskeletal System: Rare:Muscle atrophy, pathological fracture, tendinous contracture.
Nervous System: Frequent:Confusion.
Infrequent:Akathisia, apathy, aphasia, depersonalization, dysarthria, dyskinesia, euphoria, hallucinations, hostility, hyperkinesia, hypertonia, libido decreased, memory decrease, mind racing, movement disorder, myoclonus, panic attack, paranoid reaction, personality disorder, psychosis, stupor.
Rare:Choreoathetosis, delirium, delusions, dysphoria, dystonia, extrapyramidal syndrome, hemiplegia, hyperalgesia, hyperesthesia, hypokinesia, hypotonia, manic depression reaction, neuralgia, paralysis, peripheral neuritis.
Respiratory System: Rare:Hiccup, hyperventilation.
Special Senses: Frequent:Amblyopia.
Infrequent:Abnormality of accommodation, conjunctivitis, dry eyes, ear pain, photophobia, taste perversion, tinnitus.
Rare:Deafness, lacrimation disorder, oscillopsia, parosmia, ptosis, strabismus, taste loss, uveitis, visual field defect.
Urogenital System: Infrequent:Abnormal ejaculation, hematuria, impotence, menorrhagia, polyuria, urinary incontinence.
Rare:Acute kidney failure, breast neoplasm, creatinine increase, female lactation, kidney failure, kidney pain, nocturia, urinary retention, urinary urgency.
The following adverse reactions have been identified during postapproval use of immediate-release lamotrigine. Because these reactions are reported voluntarily from a population of uncertain size, it is not always possible to reliably estimate their frequency or establish a causal relationship to drug exposure.
Blood and Lymphatic
Agranulocytosis, hemolytic anemia, lymphadenopathy not associated with hypersensitivity disorder.
Gastrointestinal
Esophagitis.
Hepatobiliary Tract and Pancreas
Pancreatitis.
Immunologic
Hypogammaglobulinemia, lupus-like reaction, vasculitis.
Lower Respiratory
Apnea.
Musculoskeletal
Rhabdomyolysis has been observed in patients experiencing hypersensitivity reactions.
Nervous System
Aggression, exacerbation of Parkinsonian symptoms in patients with pre-existing Parkinson’s disease, tics.
Non-site Specific
Progressive immunosuppression.
Renal and Urinary Disorders
Tubulointerstitial nephritis (has been reported alone and in association with uveitis).
Skin and Subcutaneous Tissue Disorders
Photosensitivity reaction.
Significant drug interactions with lamotrigine are summarized in this section. Additional details of these drug interaction studies, which were conducted using immediate-release lamotrigine, are provided in the Clinical Pharmacology section [see Clinical Pharmacology ( 12.3)] .
Uridine 5´-diphospho-glucuronyl transferases (UGT) have been identified as the enzymes responsible for metabolism of lamotrigine. Drugs that induce or inhibit glucuronidation may, therefore, affect the apparent clearance of lamotrigine. Strong or moderate inducers of the cytochrome P450 3A4 (CYP3A4) enzyme, which are also known to induce UGT, may also enhance the metabolism of lamotrigine.
Those drugs that have been demonstrated to have a clinically significant impact on lamotrigine metabolism are outlined in Table 13. Specific dosing guidance for these drugs is provided in the Dosage and Administration section [see Dosage and Administration ( 2.1)] .
| ↓ = Decreased (induces lamotrigine glucuronidation).
↑ = Increased (inhibits lamotrigine glucuronidation). ? = Conflicting data. |
||
|
Concomitant Drug |
Effect on Concentration of Lamotrigine or Concomitant Drug |
Clinical Comment |
|
Estrogen-containing oral contraceptive preparations containing 30 mcg ethinylestradiol and 150 mcg levonorgestrel |
↓ lamotrigine |
Decreased lamotrigine concentrations approximately 50%. |
|
↓ levonorgestrel |
Decrease in levonorgestrel component by 19%. |
|
|
Carbamazepine and carbamazepine epoxide |
↓ lamotrigine |
Addition of carbamazepine decreases lamotrigine concentration approximately 40%. |
|
? carbamazepine epoxide |
May increase carbamazepine epoxide levels. |
|
|
Lopinavir/ritonavir |
↓ lamotrigine |
Decreased lamotrigine concentration approximately 50%. |
|
Atazanavir/ritonavir |
↓ lamotrigine |
Decreased lamotrigine AUC approximately 32%. |
|
Phenobarbital/primidone |
↓ lamotrigine |
Decreased lamotrigine concentration approximately 40%. |
|
Phenytoin |
↓ lamotrigine |
Decreased lamotrigine concentration approximately 40%. |
|
Rifampin |
↓ lamotrigine |
Decreased lamotrigine AUC approximately 40%. |
|
Valproate |
↑ lamotrigine |
Increased lamotrigine concentrations slightly more than 2-fold. |
|
? valproate |
There are conflicting study results regarding effect of lamotrigine on valproate concentrations: 1) a mean 25% decrease in valproate concentrations in healthy volunteers, 2) no change in valproate concentrations in controlled clinical trials in patients with epilepsy. |
|
Effect of Lamotrigine Extended-Release Tablets on Organic Cationic Transporter 2 Substrates
Lamotrigine is an inhibitor of renal tubular secretion via organic cationic transporter 2 (OCT2) proteins [see Clinical Pharmacology ( 12.3)] . This may result in increased plasma levels of certain drugs that are substantially excreted via this route. Coadministration of Lamotrigine Extended-Release Tablets with OCT2 substrates with a narrow therapeutic index (e.g., dofetilide) is not recommended.
Pregnancy Exposure Registry
There is a pregnancy exposure registry that monitors pregnancy outcomes in women exposed to AEDs, including Lamotrigine Extended-Release Tablets, during pregnancy. Encourage women who are taking Lamotrigine Extended-Release Tablets during pregnancy to enroll in the North American Antiepileptic Drug (NAAED) Pregnancy Registry by calling 1-888-233-2334 or visiting http://www.aedpregnancyregistry.org/.
Risk Summary
Data from several prospective pregnancy exposure registries and epidemiological studies of pregnant women have not detected an increased frequency of major congenital malformations or a consistent pattern of malformations among women exposed to lamotrigine compared with the general population
(see Data). In animal studies, administration of lamotrigine during pregnancy resulted in developmental toxicity (increased mortality, decreased body weight, increased structural variation, neurobehavioral abnormalities) at doses lower than those administered clinically.
Lamotrigine decreased fetal folate concentrations in rats, an effect known to be associated with adverse pregnancy outcomes in animals and humans
(see Data).
In the U.S. general population, the estimated background risk of major birth defects and miscarriage in clinically recognized pregnancies is 2% to 4% and 15% to 20%, respectively.
Clinical Considerations
Disease-associated Maternal and/or Embryofetal Risk
Epilepsy, with or without exposure to antiepileptic drugs, has been associated with several adverse outcomes during pregnancy, including preeclampsia, preterm labor, antepartum and postpartum hemorrhage, placental abruption, poor fetal growth, prematurity, fetal death, and maternal mortality. The risk of maternal or fetal injury may be greatest for patients with untreated or poorly controlled convulsive seizures. Women with epilepsy who become pregnant should not abruptly discontinue antiepileptic drugs, including Lamotrigine Extended-Release Tablets, due to the risk of status epilepticus or severe seizures, which may be life-threatening [see Warnings and Precautions (5.10)].
Dose Adjustments During Pregnancy and the Postpartum Period
As with other AEDs, physiological changes during pregnancy may affect lamotrigine concentrations and/or therapeutic effect. There have been reports of decreased lamotrigine concentrations during pregnancy and restoration of pre-pregnancy concentrations after delivery. Dose adjustments may be necessary to maintain clinical response.
Data
Human Data:Data from several international pregnancy registries have not shown an increased risk for malformations overall. The International Lamotrigine Pregnancy Registry reported major congenital malformations in 2.2% (95% CI: 1.6%, 3.1%) of 1,558 infants exposed to lamotrigine monotherapy in the first trimester of pregnancy. The NAAED Pregnancy Registry reported major congenital malformations among 2.0% of 1,562 infants exposed to lamotrigine monotherapy in the first trimester. EURAP, a large international pregnancy registry focused outside of North America, reported major birth defects in 2.9% (95% CI: 2.3%, 3.7%) of 2,514 exposures to lamotrigine monotherapy in the first trimester. The frequency of major congenital malformations was similar to estimates from the general population.
The NAAED Pregnancy Registry observed an increased risk of isolated oral clefts: among 2,200 infants exposed to lamotrigine early in pregnancy, the risk of oral clefts was 3.2 per 1,000 (95% CI: 1.4, 6.3), a 3-fold increased risk versus unexposed healthy controls. This finding has not been observed in other large international pregnancy registries. Furthermore, a case-control study based on 21 congenital anomaly registries covering over 10 million births in Europe reported an adjusted odds ratio for isolated oral clefts with lamotrigine exposure of 1.45 (95% CI: 0.8, 2.63).
Several meta-analyses have not reported an increased risk of major congenital malformations following lamotrigine exposure in pregnancy compared with healthy and disease-matched controls. No patterns of specific malformation types were observed.
The same meta-analyses evaluated the risk of additional maternal and infant outcomes including fetal death, stillbirth, preterm birth, small for gestational age, and neurodevelopmental delay. Although there are no data suggesting an increased risk of these outcomes with lamotrigine monotherapy exposure, differences in outcome definition, ascertainment methods, and comparator groups limit the conclusions that can be drawn.
Animal Data:When lamotrigine was administered to pregnant mice, rats, or rabbits during the period of organogenesis (oral doses of up to 125, 25, and 30 mg/kg, respectively), reduced fetal body weight and increased incidences of fetal skeletal variations were seen in mice and rats at doses that were also maternally toxic. The no-effect doses for embryofetal developmental toxicity in mice, rats, and rabbits (75, 6.25, and 30 mg/kg, respectively) are similar to (mice and rabbits) or less than (rats) the human dose of 400 mg/day on a body surface area (mg/m 2) basis.
In a study in which pregnant rats were administered lamotrigine (oral doses of 0, 5, or 25 mg/kg) during the period of organogenesis and offspring were evaluated postnatally, neurobehavioral abnormalities were observed in exposed offspring at both doses. The lowest effect dose for developmental neurotoxicity in rats is less than the human dose of 400 mg/day on a mg/m
2basis. Maternal toxicity was observed at the higher dose tested.
When pregnant rats were administered lamotrigine (oral doses of 0, 5, 10, or 20 mg/kg) during the latter part of gestation and throughout lactation, increased offspring mortality (including stillbirths) was seen at all doses. The lowest effect dose for pre- and post- natal developmental toxicity in rats is less than the human dose of 400 mg/day on a mg/m
2basis. Maternal toxicity was observed at the 2 highest doses tested.
When administered to pregnant rats, lamotrigine decreased fetal folate concentrations at doses greater than or equal to 5 mg/kg/day, which is less than the human dose of 400 mg/day on a mg/m 2basis.
Risk Summary
Lamotrigine is present in milk from lactating women taking Lamotrigine Extended-Release Tablets ( see Data). Neonates and young infants are at risk for high serum levels because maternal serum and milk levels can rise to high levels postpartum if lamotrigine dosage has been increased during pregnancy but is not reduced after delivery to the pre-pregnancy dosage. Glucuronidation is required for drug clearance. Glucuronidation capacity is immature in the infant and this may also contribute to the level of lamotrigine exposure. Events including rash, apnea, drowsiness, poor sucking, and poor weight gain (requiring hospitalization in some cases) have been reported in infants who have been human milk-fed by mothers using lamotrigine; whether or not these events were caused by lamotrigine is unknown. No data are available on the effects of the drug on milk production.
The developmental and health benefits of breastfeeding should be considered along with the mother’s clinical need for Lamotrigine Extended-Release Tablets and any potential adverse effects on the breastfed infant from Lamotrigine Extended-Release Tablets or from the underlying maternal condition.
Clinical Considerations
Human milk-fed infants should be closely monitored for adverse events resulting from lamotrigine. Measurement of infant serum levels should be performed to rule out toxicity if concerns arise. Human milk-feeding should be discontinued in infants with lamotrigine toxicity.
Data
Data from multiple small studies indicate that lamotrigine plasma levels in nursing infants have been reported to be as high as 50% of maternal plasma concentrations.
Lamotrigine Extended-Release Tablets are indicated as adjunctive therapy for PGTC and partial-onset seizures with or without secondary generalization in patients aged 13 years and older. Safety and effectiveness of Lamotrigine Extended-Release Tablets for any use in patients younger than 13 years have not been established.
Immediate-release lamotrigine is indicated as adjunctive therapy in patients aged 2 years and older for partial-onset seizures, the generalized seizures of Lennox-Gastaut syndrome, and PGTC seizures.
Safety and efficacy of immediate-release lamotrigine used as adjunctive treatment for partial-onset seizures were not demonstrated in a small, randomized, double-blind, placebo-controlled withdrawal trial in very young pediatric patients (aged 1 to 24 months). Immediate-release lamotrigine was associated with an increased risk for infectious adverse reactions (lamotrigine 37%, placebo 5%), and respiratory adverse reactions (lamotrigine 26%, placebo 5%). Infectious adverse reactions included bronchiolitis, bronchitis, ear infection, eye infection, otitis externa, pharyngitis, urinary tract infection, and viral infection. Respiratory adverse reactions included nasal congestion, cough, and apnea.
Juvenile Animal Data
In a juvenile animal study in which lamotrigine (oral doses of 0, 5, 15, or 30 mg/kg) was administered to young rats from postnatal day 7 to 62, decreased viability and growth were seen at the highest dose tested and long-term neurobehavioral abnormalities (decreased locomotor activity, increased reactivity, and learning deficits in animals tested as adults) were observed at the 2 highest doses. The no-effect dose for adverse developmental effects in juvenile animals is less than the human dose of 400 mg/day on a mg/m 2basis.
Clinical trials of Lamotrigine Extended-Release Tablets for epilepsy did not include sufficient numbers of patients aged 65 years and older to determine whether they respond differently from younger patients or exhibit a different safety profile than that of younger patients. In general, dose selection for an elderly patient should be cautious, usually starting at the low end of the dosing range, reflecting the greater frequency of decreased hepatic, renal, or cardiac function and of concomitant disease or other drug therapy.
Experience in patients with hepatic impairment is limited. Based on a clinical pharmacology study with immediate-release lamotrigine in 24 subjects with mild, moderate, and severe liver impairment [see Clinical Pharmacology ( 12.3)] , the following general recommendations can be made. No dosage adjustment is needed in patients with mild liver impairment. Initial, escalation, and maintenance doses should generally be reduced by approximately 25% in patients with moderate and severe liver impairment without ascites and 50% in patients with severe liver impairment with ascites. Escalation and maintenance doses may be adjusted according to clinical response [see Dosage and Administration ( 2.1)] .
Lamotrigine is metabolized mainly by glucuronic acid conjugation, with the majority of the metabolites being recovered in the urine. In a small study comparing a single dose of immediate-release lamotrigine in subjects with varying degrees of renal impairment with healthy volunteers, the plasma half-life of lamotrigine was approximately twice as long in the subjects with chronic renal failure [see Clinical Pharmacology (12.3)].
Initial doses of Lamotrigine Extended-Release Tablets should be based on patients’ AED regimens; reduced maintenance doses may be effective for patients with significant renal impairment. Few patients with severe renal impairment have been evaluated during chronic treatment with lamotrigine. Because there is inadequate experience in this population, Lamotrigine Extended-Release Tablets should be used with caution in these patients [see Dosage and Administration (2.1)].
Overdoses involving quantities up to 15 g have been reported for immediate-release lamotrigine, some of which have been fatal. Overdose has resulted in ataxia, nystagmus, seizures (including tonic-clonic seizures), decreased level of consciousness, coma, and intraventricular conduction delay.
There are no specific antidotes for lamotrigine. Following a suspected overdose, hospitalization of the patient is advised. General supportive care is indicated, including frequent monitoring of vital signs and close observation of the patient. If indicated, emesis should be induced; usual precautions should be taken to protect the airway. It is uncertain whether hemodialysis is an effective means of removing lamotrigine from the blood. In 6 renal failure patients, about 20% of the amount of lamotrigine in the body was removed by hemodialysis during a 4-hour session. A Poison Control Center should be contacted for information on the management of overdosage of Lamotrigine Extended-Release Tablets.
Lamotrigine, an AED of the phenyltriazine class, is chemically unrelated to existing AEDs. Lamotrigine’s chemical name is 3,5-diamino-6-(2,3-dichlorophenyl)- as-triazine, its molecular formula is C 9H 7N 5Cl 2, and its molecular weight is 256.09. Lamotrigine is a white to pale cream-colored powder and has a pK aof 5.7. Lamotrigine is very slightly soluble in water (0.17 mg/mL at 25°C) and slightly soluble in 0.1 M HCl (4.1 mg/mL at 25°C). The structural formula is:

Lamotrigine Extended-Release Tablets, USP are supplied for oral administration as 25-mg (yellow), 50-mg (green), 100-mg (orange), 200-mg (blue), 250-mg (purple), and 300-mg (gray) tablets. Each tablet contains the labeled amount of lamotrigine and the following inactive ingredients: hypromellose, lactose monohydrate, magnesium stearate, methacrylic acid and ethyl arcylate copolymer dispersion, mono- and di-glycerides, polysorbate 80, silicon dioxide(25- and 50- mg tablets only), sodium hydroxide, sodium lauryl sulfate, titanium dioxide, triethyl citrate, iron oxide black(50- and 300- mg tablets only), iron oxide red(100- and 250- mg tablets only), iron oxide yellow(25-, 50-, 100- mg tablets only), FD&C Blue No. 2 Aluminum Lake(200- and 250- mg tablets only). Tablets are printed with edible black ink (black ink is composed of ferrosoferric oxide, propylene glycol and shellac).
Lamotrigine Extended-Release Tablets, USP contain a modified-release formulation as the core. The tablets are coated with a clear enteric coat to enable a controlled release of drug in the acidic environment of the stomach. The combination of this and the modified-release core are designed to control the dissolution rate of lamotrigine over a period of approximately 12 to 15 hours, leading to a gradual increase in serum lamotrigine levels.
FDA approved dissolution test specifications differ from USP.
The precise mechanism(s) by which lamotrigine exerts its anticonvulsant action are unknown. In animal models designed to detect anticonvulsant activity, lamotrigine was effective in preventing seizure spread in the maximum electroshock (MES) and pentylenetetrazol (scMet) tests, and prevented seizures in the visually and electrically evoked after-discharge (EEAD) tests for antiepileptic activity. Lamotrigine also displayed inhibitory properties in the kindling model in rats both during kindling development and in the fully kindled state. The relevance of these models to human epilepsy, however, is not known.
One proposed mechanism of action of lamotrigine, the relevance of which remains to be established in humans, involves an effect on sodium channels. In vitro pharmacological studies suggest that lamotrigine inhibits voltage-sensitive sodium channels, thereby stabilizing neuronal membranes and consequently modulating presynaptic transmitter release of excitatory amino acids (e.g., glutamate and aspartate).
Effect of Lamotrigine on N-Methyl d-Aspartate-Receptor–Mediated Activity
Lamotrigine did not inhibit N-methyl d-aspartate (NMDA)-induced depolarizations in rat cortical slices or NMDA-induced cyclic GMP formation in immature rat cerebellum, nor did lamotrigine displace compounds that are either competitive or noncompetitive ligands at this glutamate receptor complex (CNQX, CGS, TCHP). The IC 50for lamotrigine effects on NMDA-induced currents (in the presence of 3 µM of glycine) in cultured hippocampal neurons exceeded 100 µM.
Folate Metabolism
In vitro, lamotrigine inhibited dihydrofolate reductase, the enzyme that catalyzes the reduction of dihydrofolate to tetrahydrofolate. Inhibition of this enzyme may interfere with the biosynthesis of nucleic acids and proteins. When oral daily doses of lamotrigine were given to pregnant rats during organogenesis, fetal, placental, and maternal folate concentrations were reduced. Significantly reduced concentrations of folate are associated with teratogenesis [see Use in Specific Populations (8.1)]. Folate concentrations were also reduced in male rats given repeated oral doses of lamotrigine. Reduced concentrations were partially returned to normal when supplemented with folinic acid.
Cardiac Electrophysiology
Effect of Lamotrigine:In vitro studies show that lamotrigine exhibits Class IB antiarrhythmic activity at therapeutically relevant concentrations. It inhibits human cardiac sodium channels with rapid onset and offset kinetics and strong voltage dependence, consistent with other Class IB antiarrhythmic agents. At therapeutic doses, Lamotrigine Extended-Release Tablets did not slow ventricular conduction (widen QRS) in healthy individuals in a thorough QT study; however, in patients with clinically important structural or functional heart disease (i.e., patients with heart failure, valvular heart disease, congenital heart disease, conduction system disease, ventricular arrhythmias, cardiac channelopathies [e.g., Brugada syndrome], clinically important ischemic heart disease, or multiple risk factors for coronary artery disease), Lamotrigine Extended-Release Tablets could slow ventricular conduction (widen QRS) and induce proarrhythmia, which can lead to sudden death. Elevated heart rates could also increase the risk of ventricular conduction slowing with Lamotrigine Extended-Release Tablets.
Effect of Lamotrigine Metabolite:In dogs, lamotrigine is extensively metabolized to a 2-N-methyl metabolite. This metabolite causes dose-dependent prolongation of the PR interval, widening of the QRS complex, and, at higher doses, complete AV conduction block. The in vitro electrophysiological effects of this metabolite have not been studied. Similar cardiovascular effects from this metabolite are not anticipated in humans because only trace amounts of the 2-N-methyl metabolite (<0.6% of lamotrigine dose) have been found in human urine [see Clinical Pharmacology (12.3)]. However, it is conceivable that plasma concentrations of this metabolite could be increased in patients with a reduced capacity to glucuronidate lamotrigine (e.g., in patients with liver disease, patients taking concomitant medications that inhibit glucuronidation).
In comparison with immediate-release lamotrigine, the plasma lamotrigine levels following administration of Lamotrigine Extended-Release Tablets are not associated with any significant changes in trough plasma concentrations, and are characterized by lower peaks, longer time to peaks, and lower peak-to-trough fluctuation, as described in detail below.
Absorption
Lamotrigine is absorbed after oral administration with negligible first-pass metabolism. The bioavailability of lamotrigine is not affected by food.
In an open-label, crossover study of 44 subjects with epilepsy receiving concomitant AEDs, the steady-state pharmacokinetics of lamotrigine were compared following administration of equivalent total doses of Lamotrigine Extended-Release Tablets given once daily with those of lamotrigine immediaterelease given twice daily. In this study, the median time to peak concentration (T max) following administration of Lamotrigine Extended-Release Tablets was 4 to 6 hours in subjects taking carbamazepine, phenytoin, phenobarbital, or primidone; 9 to 11 hours in subjects taking valproate; and 6 to 10 hours in subjects taking AEDs other than carbamazepine, phenytoin, phenobarbital, primidone, or valproate. In comparison, the median T maxfollowing administration of immediate-release lamotrigine was between 1 and 1.5 hours.
The steady-state trough concentrations for extended-release lamotrigine were similar to or higher than those of immediate-release lamotrigine depending on concomitant AED (see Table 6). A mean reduction in the lamotrigine C maxby 11% to 29% was observed for Lamotrigine Extended-Release Tablets compared with immediate-release lamotrigine, resulting in a decrease in the peak-to-trough fluctuation in serum lamotrigine concentrations. However, in some subjects receiving enzyme-inducing AEDs, a reduction in C maxof 44% to 77% was observed. The degree of fluctuation was reduced by 17% in subjects taking enzyme-inducing AEDs; 34% in subjects taking valproate; and 37% in subjects taking AEDs other than carbamazepine, phenytoin, phenobarbital, primidone, or valproate. Lamotrigine Extended-Release Tablets and immediate-release lamotrigine regimens were similar with respect to area under the curve (AUC, a measure of the extent of bioavailability) for subjects receiving AEDs other than those known to induce the metabolism of lamotrigine. The relative bioavailability of extended-release lamotrigine was approximately 21% lower than immediate-release lamotrigine in subjects receiving enzyme-inducing AEDs.
However, a reduction in exposure of up to 70% was observed in some subjects in this group when they switched to Lamotrigine Extended-Release Tablets. Therefore, doses may need to be adjusted in some patients based on therapeutic response.
Table 6. Steady-State Bioavailability of Lamotrigine Extended-Release Tablets Relative to Immediate-Release Lamotrigine at Equivalent Daily Doses (Ratio of Extended-Release to Immediate-Release 90% CI)
| Concomitant Antiepileptic Drug | AUC (0-24ss) | C max | C min |
| Enzyme-inducing antiepileptic drugs a | 0.79 (0.69, 0.90) | 0.71 (0.61, 0.82) | 0.99 (0.89, 1.09) |
| Valproate | 0.94 (0.81, 1.08) | 0.88 (0.75, 1.03) | 0.99 (0.88, 1.10) |
| Antiepileptic drugs other than enzyme-inducing antiepileptic drugs aor valproate | 1.00 (0.88, 1.14) | 0.89 (0.78, 1.03) | 1.14 (1.03, 1.25) |
aEnzyme-inducing antiepileptic drugs include carbamazepine, phenytoin, phenobarbital, and primidone.
Dose Proportionality
In healthy volunteers not receiving any other medications and given Lamotrigine Extended-Release Tablets once daily, the systemic exposure to lamotrigine increased in direct proportion to the dose administered over the range of 50 to 200 mg. At doses between 25 and 50 mg, the increase was less than dose proportional, with a 2-fold increase in dose resulting in an approximately 1.6-fold increase in systemic exposure.
Distribution
Estimates of the mean apparent volume of distribution (Vd/F) of lamotrigine following oral administration ranged from 0.9 to 1.3 L/kg. Vd/F is independent of dose and is similar following single and multiple doses in both patients with epilepsy and in healthy volunteers.
Protein Binding
Data from in vitro studies indicate that lamotrigine is approximately 55% bound to human plasma proteins at plasma lamotrigine concentrations from 1 to 10 mcg/mL (10 mcg/mL is 4 to 6 times the trough plasma concentration observed in the controlled efficacy trials). Because lamotrigine is not highly bound to plasma proteins, clinically significant interactions with other drugs through competition for protein binding sites are unlikely. The binding of lamotrigine to plasma proteins did not change in the presence of therapeutic concentrations of phenytoin, phenobarbital, or valproate. Lamotrigine did not displace other AEDs (carbamazepine, phenytoin, phenobarbital) from protein-binding sites.
Metabolism
Lamotrigine is metabolized predominantly by glucuronic acid conjugation; the major metabolite is an inactive 2-N-glucuronide conjugate. After oral administration of 240 mg of 14C-lamotrigine (15 μCi) to 6 healthy volunteers, 94% was recovered in the urine and 2% was recovered in the feces. The radioactivity in the urine consisted of unchanged lamotrigine (10%), the 2-N-glucuronide (76%), a 5-N-glucuronide (10%), a 2-N-methyl metabolite (0.14%), and other unidentified minor metabolites (4%).
Enzyme Induction
The effects of lamotrigine on the induction of specific families of mixed-function oxidase isozymes have not been systematically evaluated.
Following multiple administrations (150 mg twice daily) to normal volunteers taking no other medications, lamotrigine induced its own metabolism, resulting in a 25% decrease in t ½and a 37% increase in CL/F at steady state compared with values obtained in the same volunteers following a single dose. Evidence gathered from other sources suggests that self-induction by lamotrigine may not occur when lamotrigine is given as adjunctive therapy in patients receiving enzyme-inducing drugs such as carbamazepine, phenytoin, phenobarbital, primidone, or other drugs such as rifampin and the protease inhibitors lopinavir/ritonavir and atazanavir/ritonavir that induce lamotrigine glucuronidation [see Drug Interactions (7)].
Elimination
The elimination half-life and apparent clearance of lamotrigine following oral administration of immediate-release lamotrigine to adult subjects with epilepsy and healthy volunteers is summarized in Table 7. Half-life and apparent oral clearance vary depending on concomitant AEDs.
Since the half-life of lamotrigine following administration of single doses of immediate-release lamotrigine is comparable with that observed following administration of Lamotrigine Extended-Release Tablets, similar changes in the half-life of lamotrigine would be expected for Lamotrigine Extended-Release Tablets.
Table 7. Mean Pharmacokinetic Parameters aof Immediate-Release Lamotrigine in Healthy Volunteers and Adult Subjects with Epilepsy
| Adult Study Population | Number of Subjects | t ½: Elimination Half-life (h) | CL/F:Apparent Plasma Clearance (mL/min/kg) |
|
Healthy volunteers taking no other medications: | |||
| Single-dose lamotrigine | 179 |
32.8(14.0-103.0) |
0.44(0.12-1.10) |
| Multiple-dose lamotrigine | 36 |
25.4(11.6-61.6) |
0.58(0.24-1.15) |
| Healthy volunteers taking valproate: | |||
| Single-dose lamotrigine | 6 |
48.3(31.5-88.6) |
0.30(0.14-0.42) |
| Multiple-dose lamotrigine | 18 |
70.3(41.9-113.5) |
0.18(0.12-0.33) |
| Subjects with epilepsy taking valproate only: | |||
| Single-dose lamotrigine | 4 |
58.8(30.5-88.8) |
0.28(0.16-0.40) |
| Subjects with epilepsy taking carbamazepine, phenytoin, phenobarbital, or primidone bplus valproate: | |||
| Single-dose lamotrigine | 25 |
27.2(11.2-51.6) |
0.53(0.27-1.04) |
| Subjects with epilepsy taking carbamazepine, phenytoin, phenobarbital, or primidone: b | |||
| Single-dose lamotrigine | 24 |
14.4(6.4-30.4) |
1.10(0.51-2.22) |
| Multiple-dose lamotrigine | 17 |
12.6(7.5-23.1) |
1.21(0.66-1.82) |
aThe majority of parameter means determined in each study had coefficients of variation between 20% and 40% for half-life and CL/F and between 30% and 70% for T max. The overall mean values were calculated from individual study means that were weighted based on the number of volunteers/subjects in each study. The numbers in parentheses below each parameter mean represent the range of individual volunteer/subject values across studies.
bCarbamazepine, phenytoin, phenobarbital, and primidone have been shown to increase the apparent clearance of lamotrigine. Estrogen-containing oral contraceptives and other drugs, such as rifampin and protease inhibitors lopinavir/ritonavir and atazanavir/ritonavir, that induce lamotrigine glucuronidation have also been shown to increase the apparent clearance of lamotrigine [see Drug Interactions (7)].
Drug Interactions
The apparent clearance of lamotrigine is affected by the coadministration of certain medications [see Warnings and Precautions (5.9, 5.13), Drug Interactions (7)].
The net effects of drug interactions with lamotrigine, based on drug interaction studies using immediate-release lamotrigine, are summarized in Tables 5 and 8, followed by details of the drug interaction studies below.
Table 8. Summary of Drug Interactions with Lamotrigine
| Drug | Drug Plasma Concentration with Adjunctive Lamotrigine a | Lamotrigine Plasma Concentration with Adjunctive Drugs b |
|
Oral contraceptives (e.g., ethinylestradiol/levonorgestrel) c | ↔ d | ↓ |
| Aripiprazole | Not assessed | ↔ e |
| Atazanavir/ritonavir | ↔ f | ↓ |
|
Bupropion | Not assessed | ↔ |
| Carbamazepine | ↔ | ↓ |
|
Carbamazepine epoxide g | ? | |
| Felbamate | Not assessed | ↔ |
| Gabapentin | Not assessed | ↔ |
| Lacosamide | Not assessed | ↔ |
|
Levetiracetam | ↔ | ↔ |
| Lithium | ↔ | Not assessed |
| Lopinavir/ritonavir | ↔ e | ↓ |
| Olanzapine | ↔ | ↔ e |
| Oxcarbazepine | ↔ | ↔ |
| 10-Monohydroxy oxcarbazepine metabolite h | ↔ | |
| Perampanel | Not assessed | ↔ e |
| Phenobarbital/primidone | ↔ | ↓ |
| Phenytoin | ↔ | ↓ |
| Pregabalin | ↔ | ↔ |
| Rifampin | Not assessed | ↓ |
| Risperidone | ↔ | Not assessed |
| 9-Hydroxyrisperidone i | ↔ | |
| Topiramate | ↔ j | ↔ |
| Valproate | ↓ | ↑ |
| Valproate + phenytoin and/or | Not assessed | ↔ |
| carbamazepine | ||
| Zonisamide | Not assessed | ↔ |
aFrom adjunctive clinical trials and volunteer trials.
bNet effects were estimated by comparing the mean clearance values obtained in adjunctive clinical trials and volunteer trials.
cThe effect of other hormonal contraceptive preparations or hormone replacement therapy on the pharmacokinetics of lamotrigine has not been systematically evaluated in clinical trials, although the effect may be similar to that seen with the ethinylestradiol/levonorgestrel combinations.
dModest decrease in levonorgestrel.
eSlight decrease, not expected to be clinically meaningful.
fCompared with historical controls.
gNot administered, but an active metabolite of carbamazepine.
hNot administered, but an active metabolite of oxcarbazepine.
iNot administered, but an active metabolite of risperidone.
jSlight increase, not expected to be clinically meaningful.
↔ = No significant effect.
? = Conflicting data.
Estrogen-Containing Oral Contraceptives
In 16 female volunteers, an oral contraceptive preparation containing 30 mcg ethinylestradiol and 150 mcg levonorgestrel increased the apparent clearance of lamotrigine (300 mg/day) by approximately 2-fold with mean decreases in AUC of 52% and in C maxof 39%. In this study, trough serum lamotrigine concentrations gradually increased and were approximately 2-fold higher on average at the end of the week of the inactive hormone preparation compared with trough lamotrigine concentrations at the end of the active hormone cycle.
Gradual transient increases in lamotrigine plasma levels (approximate 2-fold increase) occurred during the week of inactive hormone preparation (pill-free week) for women not also taking a drug that increased the clearance of lamotrigine (carbamazepine, phenytoin, phenobarbital, primidone, or other drugs such as rifampin and the protease inhibitors lopinavir/ritonavir and atazanavir/ritonavir that induce lamotrigine glucuronidation) [see Drug Interactions (7)]. The increase in lamotrigine plasma levels will be greater if the dose of Lamotrigine Extended-Release Tablets is increased in the few days before or during the pill-free week. Increases in lamotrigine plasma levels could result in dose-dependent adverse reactions.
In the same study, coadministration of lamotrigine (300 mg/day) in 16 female volunteers did not affect the pharmacokinetics of the ethinylestradiol component of the oral contraceptive preparation. There were mean decreases in the AUC and C maxof the levonorgestrel component of 19% and 12%, respectively. Measurement of serum progesterone indicated that there was no hormonal evidence of ovulation in any of the 16 volunteers, although measurement of serum FSH, LH, and estradiol indicated that there was some loss of suppression of the hypothalamic-pituitary-ovarian axis.
The effects of doses of lamotrigine other than 300 mg/day have not been systematically evaluated in controlled clinical trials.
The clinical significance of the observed hormonal changes on ovulatory activity is unknown. However, the possibility of decreased contraceptive efficacy in some patients cannot be excluded. Therefore, patients should be instructed to promptly report changes in their menstrual pattern (e.g., break-through bleeding).
Dosage adjustments may be necessary for women receiving estrogen-containing oral contraceptive preparations [see Dosage and Administration (2.1)].
Other Hormonal Contraceptives or Hormone Replacement Therapy
The effect of other hormonal contraceptive preparations or hormone replacement therapy on the pharmacokinetics of lamotrigine has not been systematically evaluated. It has been reported that ethinylestradiol, not progestogens, increased the clearance of lamotrigine up to 2-fold, and the progestin-only pills had no effect on lamotrigine plasma levels. Therefore, adjustments to the dosage of Lamotrigine Extended-Release Tablets in the presence of progestogens alone will likely not be needed.
Aripiprazole
In 18 patients with bipolar disorder on a stable regimen of 100 to 400 mg/day of lamotrigine, the lamotrigine AUC and C maxwere reduced by approximately 10% in patients who received aripiprazole 10 to 30 mg/day for 7 days, followed by 30 mg/day for an additional 7 days. This reduction in lamotrigine exposure is not considered clinically meaningful.
Atazanavir/Ritonavir
In a study in healthy volunteers, daily doses of atazanavir/ritonavir (300 mg/100 mg) reduced the plasma AUC and C maxof lamotrigine (single 100-mg dose) by an average of 32% and 6%, respectively, and shortened the elimination half-lives by 27%. In the presence of atazanavir/ritonavir (300 mg/100 mg), the metabolite-to-lamotrigine ratio was increased from 0.45 to 0.71 consistent with induction of glucuronidation. The pharmacokinetics of atazanavir/ritonavir were similar in the presence of concomitant lamotrigine to the historical data of the pharmacokinetics in the absence of lamotrigine.
Bupropion
The pharmacokinetics of a 100-mg single dose of lamotrigine in healthy volunteers (n = 12) were not changed by coadministration of bupropion sustained-release formulation (150 mg twice daily) starting 11 days before lamotrigine.
Carbamazepine
Lamotrigine has no appreciable effect on steady-state carbamazepine plasma concentration. Limited clinical data suggest there is a higher incidence of dizziness, diplopia, ataxia, and blurred vision in patients receiving carbamazepine with lamotrigine than in patients receiving other AEDs with lamotrigine [see Adverse Reactions (6.1)]. The mechanism of this interaction is unclear. The effect of lamotrigine on plasma concentrations of carbamazepine-epoxide is unclear. In a small subset of patients (n = 7) studied in a placebo-controlled trial, lamotrigine had no effect on carbamazepine-epoxide plasma concentrations, but in a small, uncontrolled study (n = 9), carbamazepine-epoxide levels increased.
The addition of carbamazepine decreases lamotrigine steady-state concentrations by approximately 40%.
Esomeprazole
In a study of 30 subjects, coadministration of Lamotrigine Extended-Release Tablets with esomeprazole resulted in no significant change in lamotrigine levels and a small decrease in T max. The levels of gastric pH were not altered compared with pre-lamotrigine dosing.
Felbamate
In a trial in 21 healthy volunteers, coadministration of felbamate (1,200 mg twice daily) with lamotrigine (100 mg twice daily for 10 days) appeared to have no clinically relevant effects on the pharmacokinetics of lamotrigine.
Folate Inhibitors
Lamotrigine is a weak inhibitor of dihydrofolate reductase. Prescribers should be aware of this action when prescribing other medications that inhibit folate metabolism.
Gabapentin
Based on a retrospective analysis of plasma levels in 34 subjects who received lamotrigine both with and without gabapentin, gabapentin does not appear to change the apparent clearance of lamotrigine.
Lacosamide
Plasma concentrations of lamotrigine were not affected by concomitant lacosamide (200, 400, or 600 mg/day) in placebo-controlled clinical trials in patients with partial-onset seizures.
Levetiracetam
Potential drug interactions between levetiracetam and lamotrigine were assessed by evaluating serum concentrations of both agents during placebo-controlled clinical trials. These data indicate that lamotrigine does not influence the pharmacokinetics of levetiracetam and that levetiracetam does not influence the pharmacokinetics of lamotrigine.
Lithium
The pharmacokinetics of lithium were not altered in healthy subjects (n = 20) by coadministration of lamotrigine (100 mg/day) for 6 days.
Lopinavir/Ritonavir
The addition of lopinavir (400 mg twice daily)/ritonavir (100 mg twice daily) decreased the AUC, C max, and elimination half-life of lamotrigine by approximately 50% to 55.4% in 18 healthy subjects. The pharmacokinetics of lopinavir/ritonavir were similar with concomitant lamotrigine, compared with that in historical controls.
Olanzapine
The AUC and Cmax of olanzapine were similar following the addition of olanzapine (15 mg once daily) to lamotrigine (200 mg once daily) in healthy male volunteers (n = 16) compared with the AUC and Cmax in healthy male volunteers receiving olanzapine alone (n = 16).
In the same trial, the AUC and Cmax of lamotrigine were reduced on average by 24% and 20%, respectively, following the addition of olanzapine to lamotrigine in healthy male volunteers compared with those receiving lamotrigine alone. This reduction in lamotrigine plasma concentrations is not expected to be clinically meaningful.
Oxcarbazepine
The AUC and Cmax of oxcarbazepine and its active 10-monohydroxy oxcarbazepine metabolite were not significantly different following the addition of oxcarbazepine (600 mg twice daily) to lamotrigine (200 mg once daily) in healthy male volunteers (n = 13) compared with healthy male volunteers receiving oxcarbazepine alone (n = 13).
In the same trial, the AUC and C maxof lamotrigine were similar following the addition of oxcarbazepine (600 mg twice daily) to lamotrigine in healthy male volunteers compared with those receiving lamotrigine alone. Limited clinical data suggest a higher incidence of headache, dizziness, nausea, and somnolence with coadministration of lamotrigine and oxcarbazepine compared with lamotrigine alone or oxcarbazepine alone.
Perampanel
In a pooled analysis of data from 3 placebo-controlled clinical trials investigating adjunctive perampanel in patients with partial-onset and primary generalized tonic-clonic seizures, the highest perampanel dose evaluated (12 mg/day) increased lamotrigine clearance by <10%. An effect of this magnitude is not considered to be clinically relevant.
Phenobarbital, Primidone
The addition of phenobarbital or primidone decreases lamotrigine steady-state concentrations by approximately 40%.
Phenytoin
Lamotrigine has no appreciable effect on steady-state phenytoin plasma concentrations in patients with epilepsy. The addition of phenytoin decreases lamotrigine steady-state concentrations by approximately 40%.
Pregabalin
Steady-state trough plasma concentrations of lamotrigine were not affected by concomitant pregabalin (200 mg 3 times daily) administration. There are no pharmacokinetic interactions between lamotrigine and pregabalin.
Rifampin
In 10 male volunteers, rifampin (600 mg/day for 5 days) significantly increased the apparent clearance of a single 25-mg dose of lamotrigine by approximately 2-fold (AUC decreased by approximately 40%).
Risperidone
In a 14 healthy volunteers study, multiple oral doses of lamotrigine 400 mg daily had no clinically significant effect on the single-dose pharmacokinetics of risperidone 2 mg and its active metabolite 9-OH risperidone. Following the coadministration of risperidone 2 mg with lamotrigine, 12 of the 14 volunteers reported somnolence compared with 1 out of 20 when risperidone was given alone, and none when lamotrigine was administered alone.
Topiramate
Topiramate resulted in no change in plasma concentrations of lamotrigine. Administration of lamotrigine resulted in a 15% increase in topiramate concentrations.
Valproate
When lamotrigine was administered to healthy volunteers (n = 18) receiving valproate, the trough steady-state valproate plasma concentrations decreased by an average of 25% over a 3-week period, and then stabilized. However, adding lamotrigine to the existing therapy did not cause a change in valproate plasma concentrations in either adult or pediatric patients in controlled clinical trials.
The addition of valproate increased lamotrigine steady-state concentrations in normal volunteers by slightly more than 2-fold. In 1 trial, maximal inhibition of lamotrigine clearance was reached at valproate doses between 250 and 500 mg/day and did not increase as the valproate dose was further increased.
Zonisamide
In a study in 18 patients with epilepsy, coadministration of zonisamide (200 to 400 mg/day) with lamotrigine (150 to 500 mg/day for 35 days) had no significant effect on the pharmacokinetics of lamotrigine.
Known Inducers or Inhibitors of Glucuronidation
Drugs other than those listed above have not been systematically evaluated in combination with lamotrigine. Since lamotrigine is metabolized predominately by glucuronic acid conjugation, drugs that are known to induce or inhibit glucuronidation may affect the apparent clearance of lamotrigine, and doses of Lamotrigine Extended-Release Tablets may require adjustment based on clinical response.
Other
In vitro assessment of the inhibitory effect of lamotrigine at OCT2 demonstrate that lamotrigine, but not the N(2)-glucuronide metabolite, is an inhibitor of OCT2 at potentially clinically relevant concentrations, with IC 50value of 53.8 µM [see Drug Interactions (7)].
Results of in vitro experiments suggest that clearance of lamotrigine is unlikely to be reduced by concomitant administration of amitriptyline, clonazepam, clozapine, fluoxetine, haloperidol, lorazepam, phenelzine, sertraline, or trazodone.
Results of in vitro experiments suggest that lamotrigine does not reduce the clearance of drugs eliminated predominantly by CYP2D6.
Specific Populations
Patients with Renal Impairment: Twelve volunteers with chronic renal failure (mean creatinine clearance: 13 mL/min, range: 6 to 23) and another 6 individuals undergoing hemodialysis were each given a single 100-mg dose of immediate-release lamotrigine. The mean plasma half-lives determined in the study were 42.9 hours (chronic renal failure), 13.0 hours (during hemodialysis), and 57.4 hours (between hemodialysis) compared with 26.2 hours in healthy volunteers. On average, approximately 20% (range: 5.6 to 35.1) of the amount of lamotrigine present in the body was eliminated by hemodialysis during a 4-hour session [see Dosage and Administration (2.1)].
Patients with Hepatic Impairment:The pharmacokinetics of lamotrigine following a single 100 mg dose of immediate-release lamotrigine were evaluated in 24 subjects with mild, moderate, and severe hepatic impairment (Child-Pugh classification system) and compared with 12 subjects without hepatic impairment. The subjects with severe hepatic impairment were without ascites (n = 2) or with ascites (n = 5). The mean apparent clearances of lamotrigine in subjects with mild (n = 12), moderate (n = 5), severe without ascites (n = 2), and severe with ascites (n = 5) liver impairment were 0.30 ± 0.09, 0.24 ± 0.1, 0.21 ± 0.04, and 0.15 ± 0.09 mL/min/kg, respectively, as compared with 0.37 ± 0.1 mL/min/kg in the healthy controls. Mean half-lives of lamotrigine in subjects with mild, moderate, severe without ascites, and severe with ascites hepatic impairment were 46 ± 20, 72 ± 44, 67 ± 11, and 100 ± 48 hours, respectively, as compared with 33 ± 7 hours in healthy controls [see Dosage and Administration (2.1)].
Geriatric Patients:The pharmacokinetics of lamotrigine following a single 150-mg dose of immediate-release lamotrigine were evaluated in 12 elderly volunteers between the ages of 65 and 76 years (mean creatinine clearance: 61 mL/min, range: 33 to 108 mL/min). The mean half-life of lamotrigine in these subjects was 31.2 hours (range: 24.5 to 43.4 hours), and the mean clearance was 0.40 mL/min/kg (range: 0.26 to 0.48 mL/min/kg).
Male and Female Patients:The clearance of lamotrigine is not affected by gender. However, during dose escalation of immediate-release lamotrigine in 1 clinical trial in patients with epilepsy on a stable dose of valproate (n = 77), mean trough lamotrigine concentrations unadjusted for weight were 24% to 45% higher (0.3 to 1.7 mcg/mL) in females than in males.
Racial or Ethnic Groups:The apparent oral clearance of lamotrigine was 25% lower in non- Caucasians than Caucasians.
Pediatric Patients:Safety and effectiveness of Lamotrigine Extended-Release Tablets for use in patients younger than 13 years have not been established.
No evidence of carcinogenicity was seen in mice or rats following oral administration of lamotrigine for up to 2 years at doses up to 30 mg/kg/day and 10 to 15 mg/kg/day, respectively. The highest doses tested are less than the human dose of 400 mg/day on a body surface area (mg/m
2) basis.
Lamotrigine was negative in in vitro gene mutation (Ames and mouse lymphoma
tk) assays and in clastogenicity (in vitro human lymphocyte and in vivo rat bone marrow) assays.
No evidence of impaired fertility was detected in rats given oral doses of lamotrigine up to 20 mg/kg/day. The highest dose tested is less than the human dose of 400 mg/day on a mg/m
2basis.
The effectiveness of Lamotrigine Extended-Release Tablets as adjunctive therapy in subjects with PGTC seizures was established in a 19-week, international, multicenter, double-blind, randomized, placebo-controlled trial in 143 patients aged 13 years and older (n = 70 on Lamotrigine Extended-Release Tablets, n = 73 on placebo). Patients with at least 3 PGTC seizures during an 8-week baseline phase were randomized to 19 weeks of treatment with Lamotrigine Extended-Release Tablets or placebo added to their current AED regimen of up to 2 drugs. Patients were dosed on a fixed-dose regimen, with target doses ranging from 200 to 500 mg/day of Lamotrigine Extended-Release Tablets based on concomitant AEDs (target dose = 200 mg for valproate, 300 mg for AEDs not altering plasma lamotrigine levels, and 500 mg for enzyme-inducing AEDs).
The primary efficacy endpoint was percent change from baseline in PGTC seizure frequency during the double-blind treatment phase. For the intent-to-treat population, the median percent reduction in PGTC seizure frequency was 75% in patients treated with Lamotrigine Extended-Release Tablets and 32% in patients treated with placebo, a difference that was statistically significant, defined as a 2-sided Pvalue ≤0.05.
Figure 1 presents the percentage of patients (X-axis) with a percent reduction in PGTC seizure frequency (responder rate) from baseline through the entire treatment period at least as great as that represented on the Y-axis. A positive value on the Y-axis indicates an improvement from baseline (i.e., a decrease in seizure frequency), while a negative value indicates a worsening from baseline (i.e., an increase in seizure frequency). Thus, in a display of this type, a curve for an effective treatment is shifted to the left of the curve for placebo. The proportion of patients achieving any particular level of reduction in PGTC seizure frequency was consistently higher for the group treated with Lamotrigine Extended-Release Tablets compared with the placebo group. For example, 70% of patients randomized to Lamotrigine Extended-Release Tablets experienced a 50% or greater reduction in PGTC seizure frequency, compared with 32% of patients randomized to placebo. Patients with an increase in seizure frequency >100% are represented on the Y-axis as ≥-100%.
Figure 1. Proportion of Patients by Responder Rate for Lamotrigine Extended-Release Tablets and Placebo Group (Primary Generalized Tonic-Clonic Seizures Study)
The effectiveness of immediate-release lamotrigine as adjunctive therapy was initially established in 3 pivotal, multicenter, placebo-controlled, double-blind clinical trials in 355 adults with refractory partial-onset seizures.
The effectiveness of Lamotrigine Extended-Release Tablets as adjunctive therapy in partial-onset seizures, with or without secondary generalization, was established in a 19-week, multicenter, double-blind, placebo-controlled trial in 236 patients aged 13 years and older (approximately 93% of patients were aged 16 to 65 years). Approximately 36% were from the U.S. and approximately 64% were from other countries including Argentina, Brazil, Chile, Germany, India, Korea, Russian Federation, and Ukraine. Patients with at least 8 partial-onset seizures during an 8-week prospective baseline phase (or 4-week prospective baseline coupled with a 4-week historical baseline documented with seizure diary data) were randomized to treatment with Lamotrigine Extended-Release Tablets (n = 116) or placebo (n = 120) added to their current regimen of 1 or 2 AEDs. Approximately half of the patients were taking 2 concomitant AEDs at baseline. Target doses ranged from 200 to 500 mg/day of Lamotrigine Extended-Release Tablets based on concomitant AED (target dose = 200 mg for valproate, 300 mg for AEDs not altering plasma lamotrigine, and 500 mg for enzyme-inducing AEDs). The median partial seizure frequency per week at baseline was 2.3 for Lamotrigine Extended-Release Tablets and 2.1 for placebo.
The primary endpoint was the median percent change from baseline in partial-onset seizure frequency during the entire double-blind treatment phase. The median percent reductions in weekly partial-onset seizures were 47% in patients treated with Lamotrigine Extended-Release Tablets and 25% on placebo, a difference that was statistically significant, defined as a 2-sided Pvalue ≤0.05.
Figure 2 presents the percentage of patients (X-axis) with a percent reduction in partial-onset seizure frequency (responder rate) from baseline through the entire treatment period at least as great as that represented on the Y-axis. The proportion of patients achieving any particular level of reduction in partial-onset seizure frequency was consistently higher for the group treated with Lamotrigine Extended-Release Tablets compared with the placebo group. For example, 44% of patients randomized to Lamotrigine Extended-Release Tablets experienced a 50% or greater reduction in partial-onset seizure frequency compared with 21% of patients randomized to placebo.
Figure 2. Proportion of Patients by Responder Rate for Lamotrigine Extended-Release Tablets and Placebo Group (Partial-Onset Seizure Study)

The effectiveness of Lamotrigine Extended-Release Tablets as monotherapy for partial-onset seizures was established in a historical control trial in 223 adults with partial-onset seizures. The historical control methodology is described in a publication by French, et al. [see References (15)]. Briefly, in this study, patients were randomized to ultimately receive either Lamotrigine Extended-Release Tablets 300 or 250 mg once a day, and their responses were compared with those of a historical control group. The historical control consisted of a pooled analysis of the control groups from 8 studies of similar design, which utilized a subtherapeutic dose of an AED as a comparator. Statistical superiority to the historical control was considered to be demonstrated if the upper 95% confidence interval for the proportion of patients meeting escape criteria in patients receiving Lamotrigine Extended-Release Tablets remained below the lower 95% prediction interval of 65.3% derived from the historical control data.
In this study, patients aged 13 years and older experienced at least 4 partial-onset seizures during an 8-week baseline period with at least 1 seizure occurring during each of 2 consecutive 4-week periods while receiving valproate or a non–enzyme-inducing AED. Lamotrigine Extended-Release Tablets was added to either valproate or a non–enzyme-inducing AED over a 6- to 7-week period followed by the gradual withdrawal of the background AED. Patients were then continued on monotherapy with Lamotrigine Extended-Release Tablets for 12 weeks. The escape criteria were 1 or more of the following: (1) doubling of average monthly seizure count during any 28 consecutive days, (2) doubling of highest consecutive 2-day seizure frequency during the entire treatment phase, (3) emergence of a new seizure type compared with baseline (4) clinically significant prolongation of generalized tonic-clonic seizures or worsening of seizure considered by the investigator to require intervention. These criteria were similar to those in the 8 controlled trials from which the historical control group was constituted.
The upper 95% confidence limits of the proportion of subjects meeting escape criteria (40.2% at 300 mg/day and 44.5% at 250 mg/day) were below the threshold of 65.3% derived from the historical control data.
Although the study population was not fully comparable with the historical control population and the study was not fully blinded, numerous sensitivity analyses supported the primary results. Efficacy was further supported by the established effectiveness of the immediate-release formulation as monotherapy.
Lamotrigine Extended-Release Tablets, USP
200 mg, blue, round, biconvex, film-coated tablets printed with 'Y34' on one side in black ink and no mark on the reverse side
NDC: 70518-4638-00
NDC: 70518-4638-01
OUTER PACKAGING: 50 in 1 BOX
PACKAGING: 1 in 1 POUCH
Storage
Store at 20° to 25°C(68° to 77°F); excursions permitted to 15° to 30°C(59° to 86°F) [See USP Controlled Room Temperature].
Repackaged and Distributed By:
Remedy Repack, Inc.
625 Kolter Dr. Suite #4 Indiana, PA 1-724-465-8762
Advise the patient to read the FDA-approved patient labeling (Medication Guide, available at http://camberpharma.com/medication-guides).
Rash
Prior to initiation of treatment with Lamotrigine Extended-Release Tablets, inform patients that a rash or other signs or symptoms of hypersensitivity (e.g., fever, lymphadenopathy) may herald a serious medical event and instruct them to report any such occurrence to their healthcare providers immediately.
Hemophagocytic Lymphohistiocytosis
Prior to initiation of treatment with Lamotrigine Extended-Release Tablets, inform patients that excessive immune activation may occur with Lamotrigine Extended-Release Tablets and that they should report signs or symptoms such as fever, rash, or lymphadenopathy to a healthcare provider immediately.
Multiorgan Hypersensitivity Reactions, Blood Dyscrasias, and Organ Failure
Inform patients that multiorgan hypersensitivity reactions and acute multiorgan failure may occur with Lamotrigine Extended-Release Tablets. Isolated organ failure or isolated blood dyscrasias without evidence of multiorgan hypersensitivity may also occur. Instruct patients to contact their healthcare providers immediately if they experience any signs or symptoms of these conditions [see Warnings and Precautions (5.3, 5.5)].
Cardiac Rhythm and Conduction Abnormalities
Inform patients that, due to its mechanism of action, Lamotrigine Extended-Release Tablets could lead to irregular or slowed heart rhythm. This risk is increased in patients with underlying cardiac disease or heart conduction problems or who are taking other medications that affect heart conduction. Patients should be made aware of and report cardiac signs or symptoms to their healthcare provider right away. Patients who develop syncope should lie down with raised legs and contact their healthcare provider [see Warnings and Precautions (5.4)].
Suicidal Thinking and Behavior
Inform patients, their caregivers, and families that AEDs, including Lamotrigine Extended-Release Tablets, may increase the risk of suicidal thoughts and behavior. Instruct them to be alert for the emergence or worsening of symptoms of depression, any unusual changes in mood or behavior, or the emergence of suicidal thoughts or behavior or thoughts about self-harm. Instruct them to immediately report behaviors of concern to their healthcare providers.
Worsening of Seizures
Instruct patients to notify their healthcare providers if worsening of seizure control occurs.
Central Nervous System Adverse Effects
Inform patients that Lamotrigine Extended-Release Tablets may cause dizziness, somnolence, and other symptoms and signs of central nervous system depression. Accordingly, instruct them neither to drive a car nor to operate other complex machinery until they have gained sufficient experience on Lamotrigine Extended-Release Tablets to gauge whether or not it adversely affects their mental and/or motor performance.
Pregnancy and Nursing
Instruct patients to notify their healthcare providers if they become pregnant or intend to become pregnant during therapy and if they intend to breastfeed or are breastfeeding an infant.
Encourage patients to enroll in the NAAED Pregnancy Registry if they become pregnant. This registry is collecting information about the safety of antiepileptic drugs during pregnancy. To enroll, patients can call the toll-free number 1-888-233-2334 [see Use in Specific Populations (8.1)].
Inform patients who intend to breastfeed that Lamotrigine Extended-Release Tablets are present in breast milk and advise them to monitor their child for potential adverse effects of this drug. Discuss the benefits and risks of continuing breastfeeding.
Oral Contraceptive Use
Instruct women to notify their healthcare providers if they plan to start or stop use of oral contraceptives or other female hormonal preparations. Starting estrogen-containing oral contraceptives may significantly decrease lamotrigine plasma levels and stopping estrogen- containing oral contraceptives (including the pill-free week) may significantly increase lamotrigine plasma levels [see Warnings and Precautions (5.9), Clinical Pharmacology (12.3)]. Also instruct women to promptly notify their healthcare providers if they experience adverse reactions or changes in menstrual pattern (e.g., break-through bleeding) while receiving Lamotrigine Extended-Release Tablets in combination with these medications.
Discontinuing Lamotrigine Extended-Release Tablets
Instruct patients to notify their healthcare providers if they stop taking Lamotrigine Extended-Release Tablets for any reason and not to resume Lamotrigine Extended-Release Tablets without consulting their healthcare providers.
Aseptic Meningitis
Inform patients that Lamotrigine Extended-Release Tablets may cause aseptic meningitis. Instruct them to notify their healthcare providers immediately if they develop signs and symptoms of meningitis such as headache, fever, nausea, vomiting, stiff neck, rash, abnormal sensitivity to light, myalgia, chills, confusion, or drowsiness while taking Lamotrigine Extended-Release Tablets.
Potential Medication Errors
To avoid a medication error of using the wrong drug or formulation, strongly advise patients to visually inspect their tablets to verify that they are Lamotrigine Extended-Release Tablets each time they fill their prescription [see Dosage Forms and Strengths (3), How Supplied/Storage and Handling (16)].Refer the patient to the Medication Guide that provides depictions of the Lamotrigine Extended-Release Tablets.
Repackaged By / Distributed By: RemedyRepack Inc.
625 Kolter Drive, Indiana, PA 15701
(724) 465-8762
MEDICATION GUIDE
Lamotrigine Extended-Release Tablets, USP
(la MOE trijeen)
What is the most important information I should know about lamotrigine extended-release tablets?
1. Lamotrigine extended-release tablets may cause a serious skin rash that may cause you to be hospitalized or even cause death.
There is no way to tell if a mild rash will become more serious. A serious skin rash can happen at any time during your treatment with lamotrigine extended-release tablets, but is more likely to happen within the first 2 to 8 weeks of treatment. Children aged between 2 and 16 years have a higher chance of getting this serious skin rash while taking lamotrigine extended-release tablets. Lamotrigine extended-release tablets are not approved for use in children younger than 13 years.
The risk of getting a serious skin rash is higher if you:
take lamotrigine extended-release tablets while taking valproate [DEPAKENE (valproic acid) or DEPAKOTE (divalproex sodium)].
take a higher starting dose of lamotrigine extended-release tablets than your healthcare provider prescribed.
increase your dose of lamotrigine extended-release tablets faster than prescribed.
The risk of serious skin reactions may be associated with a variant in genes called HLA-B*1502 in people from Asian origin (mainly of Han Chinese and Thai origin). See “Before taking LAMICTAL XR, tell your healthcare provider about all of your health conditions”.
Call your healthcare provider right away if you have any of the following:
a skin rash
blistering or peeling of your skin
hives
painful sores in your mouth or around your eyes
These symptoms may be the first signs of a serious skin reaction. A healthcare provider should examine you to decide if you should continue taking lamotrigine extended-release tablets.
2. Other serious reactions, including serious blood problems or liver problems.Lamotrigine extended-release tablets can also cause other types of allergic reactions or serious problems that may affect organs and other parts of your body like your liver or blood cells. You may or may not have a rash with these types of reactions. Call your healthcare provider right away if you have any of these symptoms:
fever
frequent infections
severe muscle pain
swelling of your face, eyes, lips, or tongue
swollen lymph glands
unusual bruising or bleeding, looking pale
weakness, fatigue
yellowing of your skin or the white part of your eyes
trouble walking or seeing
seizures for the first time or happening more often
pain and/or tenderness in the area towards the top of your stomach (enlarged liver and/or spleen)
3. In patients with known heart problems, the use of lamotrigine extended-release tablets may lead to a fast heart beat. Call your healthcare provider right away if you:
have a fast, slow, or pounding heart beat.
feel your heart skip a beat.
have shortness of breath.
have chest pain.
feel lightheaded.
4. Like other antiepileptic drugs(AEDs), lamotrigine extended-release tablets may cause suicidal thoughts or actions in a very small number of people, about 1 in 500.
Call a healthcare provider right away if you have any of these symptoms, especially if they are new, worse, or worry you:
thoughts about suicide or dying
attempt to commit suicide
new or worse depression
new or worse anxiety
feeling agitated or restless
panic attacks
trouble sleeping (insomnia)
new or worse irritability
acting aggressive, being angry, or violent
acting on dangerous impulses
an extreme increase in activity and talking (mania)
other unusual changes in behavior or mood
Do not stop lamotrigine extended-release tablets without first talking to a healthcare provider.
Stopping lamotrigine extended-release tablets suddenly can cause serious problems.
Suicidal thoughts or actions can be caused by things other than medicines. If you have suicidal thoughts or actions, your healthcare provider may check for other causes.
How can I watch for early symptoms of suicidal thoughts and actions in myself or a family member?
Pay attention to any changes, especially sudden changes, in mood, behaviors, thoughts, or feelings.
Keep all follow-up visits with your healthcare provider as scheduled.
Call your healthcare provider between visits as needed, especially if you are worried about symptoms.
5. Lamotrigine extended-release tablets may cause aseptic meningitis, a serious inflammation of the protective membrane that covers the brain and spinal cord.
Call your healthcare provider right away if you have any of the following symptoms:
headache
fever
nausea
vomiting
stiff neck
rash
unusual sensitivity to light
muscle pains
chills
confusion
drowsiness
Meningitis has many causes other than lamotrigine extended-release tablets, which your doctor would check for if you developed meningitis while taking lamotrigine extended-release tablets.
Lamotrigine extended-release tablets can cause other serious side effects.For more information ask your healthcare provider or pharmacist. Tell your healthcare provider if you have any side effect that bothers you. Be sure to read the section below entitled “What are the possible side effects of lamotrigine extended-release tablets?”
6. People prescribed lamotrigine extended-release tablets have sometimes been given the wrong medicine because many medicines have names similar to lamotrigine extended-release tablets, so always check that you receive lamotrigine extended-release tablets.
Taking the wrong medication can cause serious health problems. When your healthcare provider gives you a prescription for lamotrigine extended-release tablets:
Make sure you can read it clearly.
Talk to your pharmacist to check that you are given the correct medicine.
Each time you fill your prescription, check the tablets you receive against the pictures of the tablets below.
These pictures show the distinct wording, colors, and shapes of the tablets that help to identify the right strength of lamotrigine extended-release tablets. Immediately call your pharmacist if you receive a lamotrigine extended-release tablet that does not look like one of the tablets shown below, as you may have received the wrong medication.
Lamotrigine extended-release tablets
[25 mg tab]
25 mg, yellow
Imprinted with
Y31
[50 mg tab]
50 mg, green
Imprinted with
Y32
[100 mg tab]
100 mg, orange
Imprinted with
Y33
[200 mg tab]
200 mg, blue
Imprinted with
Y34
[250 mg tab]
250 mg, purple
Imprinted with
Y35
[300 mg tab]
300 mg, gray
Imprinted with
Y36
What are lamotrigine extended-release tablets?
Lamotrigine extended-release tablets are a prescription medicine used:
o together with other medicines to treat primary generalized tonic-clonic seizures and partial-onset seizures in people aged 13 years and older.
o alone when changing from 1 other medicine used to treat partial-onset seizures in people aged 13 years and older.
It is not known if lamotrigine extended-release tablets are safe or effective in children younger than 13 years. Other forms of lamotrigine can be used in children aged 2 to 12 years.
It is not known if lamotrigine extended-release tablets are safe or effective when used alone as the first treatment of seizures.
Do not take lamotrigine extended-release tablets:
if you have had an allergic reaction to lamotrigine or to any of the inactive ingredients in lamotrigine extended-release tablets. See the end of this leaflet for a complete list of ingredients in lamotrigine extended-release tablets.
Before taking lamotrigine extended-release tablets, tell your healthcare provider about all of your health conditions, including if you:
have had a rash or allergic reaction to another antiseizure medicine.
are of Asian origin. have had HLA testing before, and know you are carrying the genetic variant, HLA-B*1502.
have or have had depression, mood problems, or suicidal thoughts or behavior.
have a history of heart problems or irregular heart beats or any of your family members have any heart problem, including genetic abnormalities.
have had aseptic meningitis after taking lamotrigine or lamotrigine extended-release tablets.
are taking estrogen-containing products, including oral contraceptives (birth control pills) or other female hormonal medicines. Do not start or stop taking birth control pills or other female hormonal medicine until you have talked with your healthcare provider. Tell your healthcare provider if you have any changes in your menstrual pattern such as breakthrough bleeding. Stopping these medicines while you are taking lamotrigine extended-release tablets may cause side effects (such as dizziness, lack of coordination, or double vision). Starting these medicines may lessen how well lamotrigine extended-release tablets works.
are pregnant or plan to become pregnant. It is not known if lamotrigine extended-release tablets may harm your unborn baby. If you become pregnant while taking lamotrigine extended-release tablets, talk to your healthcare provider about registering with the North American Antiepileptic Drug Pregnancy Registry. You can enroll in this registry by calling 1-888-233-2334. The purpose of this registry is to collect information about the safety of AEDs during pregnancy.
are breastfeeding. Lamotrigine extended-release tablets passes into breast milk and may cause side effects in a breastfed baby. If you breastfeed while taking lamotrigine extended-release tablets, watch your baby closely for trouble breathing, episodes of temporarily stopping breathing, sleepiness, or poor sucking. Call your baby’s healthcare provider right away if you see any of these problems. Talk to your healthcare provider about the best way to feed your baby if you take lamotrigine extended-release tablets.
Tell your healthcare provider about all the medicines you take,including prescription and over-the-counter medicines, vitamins, and herbal supplements. Lamotrigine extended-release tablets and certain other medicines may interact with each other. This may cause serious side effects.
Know the medicines you take. Keep a list of them to show your healthcare provider and pharmacist when you get a new medicine.
How should I take lamotrigine extended-release tablets?
Take lamotrigine extended-release tablets exactly as prescribed.
Your healthcare provider may change your dose. Do not change your dose without talking to your healthcare provider.
Do not stop taking lamotrigine extended-release tablets without talking to your healthcare provider. Stopping lamotrigine extended-release tablets suddenly may cause serious problems. For example, if you have epilepsy and you stop taking lamotrigine extended-release tablets suddenly, you may have seizures that do not stop. Talk with your healthcare provider about how to stop lamotrigine extended-release tablets slowly.
If you miss a dose of lamotrigine extended-release tablets, take it as soon as you remember. If it is almost time for your next dose, just skip the missed dose. Take the next dose at your regular time. Do not take 2 doses at the same time.
If you take too much lamotrigine extended-release tablets, call your healthcare provider or your local Poison Control Center or go to the nearest hospital emergency room right away.
You may not feel the full effect of lamotrigine extended-release tablets for several weeks.
If you have epilepsy, tell your healthcare provider if your seizures get worse or if you have any new types of seizures.
Lamotrigine extended-release tablets can be taken with or without food.
Do not chew, crush, or divide lamotrigine extended-release tablets.
Swallow lamotrigine extended-release tablets whole.
If you have trouble swallowing lamotrigine extended-release tablets, tell your healthcare provider because there may be another form of lamotrigine you can take.
If you receive lamotrigine extended-release tablets in a blister pack, examine the blister pack before use. Do not use if blisters are torn, broken, or missing.
What should I avoid while taking lamotrigine extended-release tablets?
Do not drive, operate machinery, or do other dangerous activities until you know how lamotrigine extended-release tablets affects you.
What are the possible side effects of lamotrigine extended-release tablets?
Lamotrigine extended-release tablets can cause serious side effects.
See “What is the most important information I should know about lamotrigine extended-release tablets?”
Common side effects of lamotrigine extended-release tablets include:
dizziness
vomiting
tremor
trouble with balance and coordination
double vision
anxiety
nausea
Other common side effects that have been reported with another form of lamotrigine include headache, sleepiness, blurred vision, runny nose, and rash.
These are not all the possible side effects of lamotrigine extended-release tablets.
Call your doctor for medical advice about side effects. You may report side effects to FDA at 1-800-FDA-1088.
How should I store lamotrigine extended-release tablets?
Store lamotrigine extended-release tablets at room temperature between 59°F and 86°F (15°C to 30°C).
Keep lamotrigine extended-release tablets and all medicines out of the reach of children.
General information about the safe and effective use of lamotrigine extended-release tablets.
Medicines are sometimes prescribed for purposes other than those listed in a Medication Guide. Do not use lamotrigine extended-release tablets for a condition for which it was not prescribed. Do not give lamotrigine extended-release tablets to other people, even if they have the same symptoms that you have. It may harm them.
If you take a urine drug screening test, lamotrigine extended-release tablets may make the test result positive for another drug. If you require a urine drug screening test, tell the healthcare professional administering the test that you are taking lamotrigine extended-release tablets.
You can ask your healthcare provider or pharmacist for information about lamotrigine extended-release tablets that is written for health professionals.
What are the ingredients in lamotrigine extended-release tablets?
Active ingredient: lamotrigine.
Inactive ingredients: hypromellose, lactose monohydrate, magnesium stearate, methacrylic acid and ethyl arcylate copolymer dispersion, mono- and di-glycerides , polysorbate 80, silicon dioxide (25- and 50- mg tablets only), sodium hydroxide, sodium lauryl sulfate, titanium dioxide, triethyl citrate, iron oxide black (50- and 300- mg tablets only), iron oxide red(100- and 250-mg tablets only),iron oxide yellow(25-, 50-, and 100- mg tablets only), FD&C Blue No. 2 Aluminum Lake(200- and 250- mg tablets only). Tablets are printed with edible black ink (black ink is composed of ferrosoferric oxide, propylene glycol and shellac).
For more information about lamotrigine extended-release tablets, call 1-866-495-1995.
This Medication Guide has been approved by the U.S. Food and Drug Administration.
Medication Guide is available at
http://camberpharma.com/medication-guides
Rx Only
Revised:10/2025
Repackaged By / Distributed By: RemedyRepack Inc.
625 Kolter Drive, Indiana, PA 15701
(724) 465-8762
DRUG: lamotrigine
GENERIC: lamotrigine extended-release
DOSAGE: TABLET, FILM COATED, EXTENDED RELEASE
ADMINSTRATION: ORAL
NDC: 70518-4638-0
NDC: 70518-4638-1
COLOR: blue
SHAPE: ROUND
SCORE: No score
SIZE: 10 mm
IMPRINT: Y34
PACKAGING: 1 in 1 POUCH
OUTER PACKAGING: 50 in 1 BOX
ACTIVE INGREDIENT(S):
INACTIVE INGREDIENT(S):


| LAMOTRIGINE
lamotrigine extended-release tablet, film coated, extended release |
||||||||||||||||||||||||||||||||
|
||||||||||||||||||||||||||||||||
|
||||||||||||||||||||||||||||||||
|
||||||||||||||||||||||||||||||||
|
||||||||||||||||||||||||||||||||
|
||||||||||||||||||||||||||||||||
|
||||||||||||||||||||||||||||||||
| Labeler - REMEDYREPACK INC. (829572556) |