ZOLPIDEM TARTRATE tablet, extended release

ZOLPIDEM TARTRATE by

Drug Labeling and Warnings

ZOLPIDEM TARTRATE by is a Prescription medication manufactured, distributed, or labeled by Preferred Pharmaceuticals, Inc.., Preferred Pharmaceuticals, Inc.. Drug facts, warnings, and ingredients follow.

Drug Details [pdf]

  • 1 INDICATIONS AND USAGE

    Zolpidem tartrate extended-release tablets are indicated for the treatment of insomnia characterized by difficulties with sleep onset and/or sleep maintenance (as measured by wake time after sleep onset).

    The clinical trials performed in support of efficacy were up to 3 weeks (using polysomnography measurement up to 2 weeks in both adult and elderly patients) and 24 weeks (using patient-reported assessment in adult patients only) in duration [see CLINICAL STUDIES (14)].

  • 2 DOSAGE AND ADMINISTRATION

    2.1 Dosage in Adults

    Use the lowest effective dose for the patient. The recommended initial dose is 6.25 mg for women and either 6.25 or 12.5 mg for men, taken only once per night immediately before bedtime with at least 7 to 8 hours remaining before the planned time of awakening. If the 6.25 mg dose is not effective, the dose can be increased to 12.5 mg. In some patients, the higher morning blood levels following use of the 12.5 mg dose increase the risk of next-day impairment of driving and other activities that require full alertness [see WARNINGS AND PRECAUTIONS (5.1)]. The total dose of zolpidem tartrate extended-release tablets should not exceed 12.5 mg once daily immediately before bedtime. Zolpidem tartrate extended-release tablets should be taken as a single dose and should not be readministered during the same night.

    The recommended initial doses for women and men are different because zolpidem clearance is lower in women.

    2.2 Special Populations

    Elderly or debilitated patients may be especially sensitive to the effects of zolpidem tartrate. The recommended dose of zolpidem tartrate extended-release tablet in these patients is 6.25 mg once daily immediately before bedtime [see WARNINGS AND PRECAUTIONS (5.1), USE IN SPECIFIC POPULATIONS (8.5)].

    Patients with mild to moderate hepatic impairment do not clear the drug as rapidly as normal subjects. The recommended dose of zolpidem tartrate extended-release tablets in these patients is 6.25 mg once daily immediately before bedtime. Avoid zolpidem tartrate extended-release tablets use in patients with severe hepatic impairment as it may contribute to encephalopathy [see WARNINGS AND PRECAUTIONS (5.7), USE IN SPECIFIC POPULATIONS (8.7), CLINICAL PHARMACOLOGY (12.3)].

    2.3 Use with CNS Depressants

    Dosage adjustment may be necessary when zolpidem tartrate extended-release tablets are combined with other CNS-depressant drugs because of the potentially additive effects [see WARNINGS AND PRECAUTIONS (5.1)].

    2.4 Administration

    Zolpidem tartrate extended-release tablets should be swallowed whole, and not be divided, crushed, or chewed. The effect of zolpidem tartrate extended-release tablets may be slowed by ingestion with or immediately after a meal.

  • 3 DOSAGE FORMS AND STRENGTHS

    Zolpidem tartrate extended-release tablets USP are available as extended-release tablets containing 6.25 mg or 12.5 mg of zolpidem tartrate for oral administration. Tablets are not scored.

    Zolpidem tartrate extended-release tablets, USP 6.25 mg are pink colored, round, biconvex, film-coated tablets debossed with "E61" on one side and "LU" on the other side.

    Zolpidem tartrate extended-release tablets, USP 12.5 mg are blue colored, round, biconvex, film-coated tablets debossed with "E62" on one side and "LU" on the other side.

  • 4 CONTRAINDICATIONS

    Zolpidem tartrate extended-release tablets are contraindicated in patients with known hypersensitivity to zolpidem. Observed reactions include anaphylaxis and angioedema [see WARNINGS AND PRECAUTIONS (5.3)].

  • 5 WARNINGS AND PRECAUTIONS

    5.1 CNS-Depressant Effects and Next-Day Impairment

    Zolpidem tartrate extended-release tablets are central nervous system (CNS) depressant and can impair daytime function in some patients even when used as prescribed. Prescribers should monitor for excess depressant effects, but impairment can occur in the absence of subjective symptoms, and may not be reliably detected by ordinary clinical exam (i.e. less than formal psychomotor testing). While pharmacodynamic tolerance or adaptation to some adverse depressant effects of zolpidem tartrate extended-release tablets may develop, patients using zolpidem tartrate extended-release tablets should be cautioned against driving or engaging in other hazardous activities or activities requiring complete mental alertness the day after use.

    Additive effects occur with concomitant use of other CNS depressants (e.g. benzodiazepines, opioids, tricyclic antidepressants, alcohol), including daytime use. Downward dose adjustment of zolpidem tartrate extended-release tablets and concomitant CNS depressants should be considered [see DOSAGE AND ADMINISTRATION (2.3)].

    The use of zolpidem tartrate extended-release tablet with other sedative-hypnotics (including other zolpidem products) at bedtime or the middle of the night is not recommended.

    The risk of next-day psychomotor impairment is increased if zolpidem tartrate extended-release tablet is taken with less than a full night of sleep remaining (7 to 8 hours); if higher than the recommended dose is taken; if coadministered with other CNS depressants or alcohol; or coadministered with other drugs that increase the blood levels of zolpidem. Patients should be warned against driving and other activities requiring complete mental alertness if zolpidem tartrate extended-release tablets are taken in these circumstances [see DOSAGE AND ADMINISTRATION (2) and CLINICAL STUDIES (14.2)].

    Vehicle drivers and machine operators should be warned that, as with other hypnotics, there may be a possible risk of adverse reactions including drowsiness, prolonged reaction time, dizziness, sleepiness, blurred/double vision, reduced alertness, and impaired driving the morning after therapy. In order to minimize this risk a full night of sleep (7 to 8 hours) is recommended.

    Because zolpidem tartrate extended-release tablets can cause drowsiness and a decreased level of consciousness, patients, particularly the elderly, are at higher risk of falls.

    5.2 Need to Evaluate for Comorbid Diagnoses

    Because sleep disturbances may be the presenting manifestation of a physical and/or psychiatric disorder, symptomatic treatment of insomnia should be initiated only after a careful evaluation of the patient. The failure of insomnia to remit after 7 to 10 days of treatment may indicate the presence of a primary psychiatric and/or medical illness that should be evaluated. Worsening of insomnia or the emergence of new thinking or behavior abnormalities may be the consequence of an unrecognized psychiatric or physical disorder. Such findings have emerged during the course of treatment with sedative/hypnotic drugs, including zolpidem.

    5.3 Severe Anaphylactic and Anaphylactoid Reactions

    Cases of angioedema involving the tongue, glottis or larynx have been reported in patients after taking the first or subsequent doses of sedative-hypnotics, including zolpidem. Some patients have had additional symptoms such as dyspnea, throat closing or nausea and vomiting that suggest anaphylaxis. Some patients have required medical therapy in the emergency department. If angioedema involves the throat, glottis or larynx, airway obstruction may occur and be fatal. Patients who develop angioedema after treatment with zolpidem should not be rechallenged with the drug.

    5.4 Abnormal Thinking and Behavioral Changes

    Abnormal thinking and behavior changes have been reported in patients treated with sedative/hypnotics, including zolpidem tartrate extended-release tablets. Some of these changes included decreased inhibition (e.g., aggressiveness and extroversion that seemed out of character), bizarre behavior, agitation and depersonalization. Visual and auditory hallucinations have been reported.

    In controlled trials, <1% of adults with insomnia reported hallucinations. In a clinical trial, 7% of pediatric patients treated with AMBIEN 0.25 mg/kg taken at bedtime reported hallucinations versus 0% treated with placebo [see USE IN SPECIFIC POPULATIONS (8.4)].

    Complex behaviors such as "sleep-driving" (i.e., driving while not fully awake after ingestion of a sedative-hypnotic, with amnesia for the event) have been reported in sedative-hypnotic-naive as well as in sedative-hypnotic-experienced persons. Although behaviors such as "sleep-driving" have occurred with zolpidem tartrate extended-release tablets alone at therapeutic doses, the coadministration of alcohol and other CNS depressants increases the risk of such behaviors, as does the use of zolpidem tartrate extended-release tablets at doses exceeding the maximum recommended dose. Due to the risk to the patient and the community, discontinuation of zolpidem tartrate extended-release tablets should be strongly considered for patients who report a "sleep-driving" episode.

    Other complex behaviors (e.g., preparing and eating food, making phone calls, or having sex) have been reported in patients who are not fully awake after taking a sedative-hypnotic. As with "sleep-driving," patients usually do not remember these events. Amnesia, anxiety and other neuro-psychiatric symptoms may also occur.

    It can rarely be determined with certainty whether a particular instance of the abnormal behaviors listed above is drug induced, spontaneous in origin, or a result of an underlying psychiatric or physical disorder. Nonetheless, the emergence of any new behavioral sign or symptom of concern requires careful and immediate evaluation.

    5.5 Use in Patients with Depression

    In primarily depressed patients treated with sedative-hypnotics, worsening of depression, and suicidal thoughts and actions (including completed suicides), have been reported. Suicidal tendencies may be present in such patients and protective measures may be required. Intentional overdosage is more common in this group of patients; therefore, the lowest number of tablets that is feasible should be prescribed for the patient at any one time.

    5.6 Respiratory Depression

    Although studies with 10 mg zolpidem tartrate did not reveal respiratory depressant effects at hypnotic doses in healthy subjects or in patients with mild to moderate chronic obstructive pulmonary disease (COPD), a reduction in the Total Arousal Index, together with a reduction in lowest oxygen saturation and increase in the times of oxygen desaturation below 80% and 90%, was observed in patients with mild to moderate sleep apnea when treated with zolpidem compared to placebo. Since sedative-hypnotics have the capacity to depress respiratory drive, precautions should be taken if zolpidem tartrate extended-release tablets are prescribed to patients with compromised respiratory function. Postmarketing reports of respiratory insufficiency in patients receiving 10 mg of zolpidem tartrate, most of whom had pre-existing respiratory impairment, have been reported. The risk of respiratory depression should be considered prior to prescribing zolpidem tartrate extended-release tablets in patients with respiratory impairment including sleep apnea and myasthenia gravis.

    5.7 Precipitation of Hepatic Encephalopathy

    Drugs affecting GABA receptors, such as zolpidem tartrate, have been associated with precipitation of hepatic encephalopathy in patients with hepatic insufficiency. In addition, patients with hepatic insufficiency do not clear zolpidem tartrate as rapidly as patients with normal hepatic function. Avoid zolpidem tartrate extended-release tablets use in patients with severe hepatic impairment as it may contribute to encephalopathy [see DOSAGE AND ADMINISTRATION (2.2), USE IN SPECIFIC POPULATIONS (8.7), CLINICAL PHARMACOLOGY (12.3)].

    5.8 Withdrawal Effects

    There have been reports of withdrawal signs and symptoms following the rapid dose decrease or abrupt discontinuation of zolpidem. Monitor patients for tolerance, abuse, and dependence [see DRUG ABUSE AND DEPENDENCE (9.2, 9.3)].

  • 6 ADVERSE REACTIONS

    The following serious adverse reactions are discussed in greater detail in other sections of the labeling:

    • CNS-depressant effects and next-day impairment [see WARNINGS AND PRECAUTIONS (5.1)]
    • Serious anaphylactic and anaphylactoid reactions [see WARNINGS AND PRECAUTIONS (5.3)]
    • Abnormal thinking and behavior changes, and complex behaviors [see WARNINGS AND PRECAUTIONS (5.4)]
    • Withdrawal effects [see WARNINGS AND PRECAUTIONS (5.8)]

    6.1 Clinical Trials Experience

    Associated with Discontinuation of Treatment

    In 3-week clinical trials in adults and elderly patients (> 65 years), 3.5% (7/201) patients receiving zolpidem tartrate extended-release tablets 6.25 or 12.5 mg discontinued treatment due to an adverse reaction as compared to 0.9% (2/216) of patients on placebo. The reaction most commonly associated with discontinuation in patients treated with zolpidem tartrate extended-release tablets were somnolence (1%).

    In a 6-month study in adult patients (18 to 64 years of age), 8.5% (57/669) of patients receiving zolpidem tartrate extended-release tablets 12.5 mg as compared to 4.6% on placebo (16/349) discontinued treatment due to an adverse reaction. Reactions most commonly associated with discontinuation of zolpidem tartrate extended-release tablets included anxiety (anxiety, restlessness or agitation) reported in 1.5% (10/669) of patients as compared to 0.3% (1/349) of patients on placebo, and depression (depression, major depression or depressed mood) reported in 1.5% (10/669) of patients as compared to 0.3% (1/349) of patients on placebo.

    Data from a clinical study in which selective serotonin reuptake inhibitor- (SSRI-) treated patients were given zolpidem revealed that four of the seven discontinuations during double-blind treatment with zolpidem (n=95) were associated with impaired concentration, continuing or aggravated depression, and manic reaction; one patient treated with placebo (n=97) was discontinued after an attempted suicide.

    Most Commonly Observed Adverse Reactions in Controlled Trials

    During treatment with zolpidem tartrate extended-release tablets in adults and elderly at daily doses of 12.5 mg and 6.25 mg, respectively, each for three weeks, the most commonly observed adverse reactions associated with the use of zolpidem tartrate extended-release tablets were headache, next-day somnolence, and dizziness.

    In the 6-month trial evaluating zolpidem tartrate extended-release tablets 12.5 mg, the adverse reaction profile was consistent with that reported in short-term trials, except for a higher incidence of anxiety (6.3% for zolpidem tartrate extended-release tablets versus 2.6% for placebo).

    Adverse Reactions Observed at an Incidence of ≥ 1% in Controlled Trials

    The following tables enumerate treatment-emergent adverse reactions frequencies that were observed at an incidence equal to 1% or greater among patients with insomnia who received zolpidem tartrate extended-release tablets in placebo-controlled trials. Events reported by investigators were classified utilizing the MedDRA dictionary for the purpose of establishing event frequencies. The prescriber should be aware that these figures cannot be used to predict the incidence of side effects in the course of usual medical practice, in which patient characteristics and other factors differ from those that prevailed in these clinical trials. Similarly, the cited frequencies cannot be compared with figures obtained from other clinical investigators involving related drug products and uses, since each group of drug trials is conducted under a different set of conditions. However, the cited figures provide the physician with a basis for estimating the relative contribution of drug and nondrug factors to the incidence of side effects in the population studied.

    The following tables were derived from results of two placebo-controlled efficacy trials involving zolpidem tartrate extended-release tablets. These trials involved patients with primary insomnia who were treated for 3 weeks with zolpidem tartrate extended-release tablets at doses of 12.5 mg (Table 1) or 6.25 mg (Table 2), respectively. The tables include only adverse reactions occurring at an incidence of at least 1% for zolpidem tartrate extended-release tablets patients and with an incidence greater than that seen in the placebo patients.

    Table 1. Incidences of Treatment-Emergent Adverse Reactions in a 3-Week Placebo-Controlled Clinical Trial in Adults (percentage of patients reporting)
    *  Reactions reported by at least 1% of patients treated with zolpidem tartrate extended-release tablets and at greater frequency than in the placebo group.
      Hallucinations included hallucinations NOS as well as visual and hypnagogic hallucinations.
      Memory disorders include: memory impairment, amnesia, anterograde amnesia.

    Body System
    Adverse Reaction*

    Zolpidem Tartrate
    Extended-Release
    Tablets, 12.5 mg
    (N = 102)



    Placebo
    (N = 110)

    Infections and infestations

    Influenza

    3

    0

    Gastroenteritis

    1

    0

    Labyrinthitis

    1

    0

    Metabolism and nutrition disorders

    Appetite disorder

    1

    0

    Psychiatric disorders

    Hallucinations

    4

    0

    Disorientation

    3

    2

    Anxiety

    2

    0

    Depression

    2

    0

    Psychomotor retardation

    2

    0

    Binge eating

    1

    0

    Depersonalization

    1

    0

    Disinhibition

    1

    0

    Euphoric mood

    1

    0

    Mood swings

    1

    0

    Stress symptoms

    1

    0

    Nervous system disorders

    Headache

    19

    16

    Somnolence

    15

    2

    Dizziness

    12

    5

    Memory disorders

    3

    0

    Balance disorder

    2

    0

    Disturbance in attention

    2

    0

    Hypoesthesia

    2

    1

    Ataxia

    1

    0

    Paresthesia

    1

    0

    Eye disorders

    Visual disturbance

    3

    0

    Eye redness

    2

    0

    Vision blurred

    2

    1

    Altered visual depth perception

    1

    0

    Asthenopia

    1

    0

    Ear and labyrinth disorders

    Vertigo

    2

    0

    Tinnitus

    1

    0

    Respiratory, thoracic and mediastinal disorders

    Throat irritation

    1

    0

    Gastrointestinal disorders

    Nausea

    7

    4

    Constipation

    2

    0

    Abdominal discomfort

    1

    0

    Abdominal tenderness

    1

    0

    Frequent bowel movements

    1

    0

    Gastroesophageal reflux disease

    1

    0

    Vomiting

    1

    0

    Skin and subcutaneous tissue disorders

    Rash

    1

    0

    Skin wrinkling

    1

    0

    Urticaria

    1

    0

    Musculoskeletal and connective tissue disorders

    Back pain

    4

    3

    Myalgia

    4

    0

    Neck pain

    1

    0

    Reproductive system and breast disorders

    Menorrhagia

    1

    0

    General disorders and administration site conditions

    Fatigue

    3

    2

    Asthenia

    1

    0

    Chest discomfort

    1

    0

    Investigations

    Blood pressure increased

    1

    0

    Body temperature increased

    1

    0

    Injury, poisoning and procedural complications

    Contusion

    1

    0

    Social circumstances

    Exposure to poisonous plant

    1

    0

    *  Reactions reported by at least 1% of patients treated with zolpidem tartrate extended-release tablets and at greater frequency than in the placebo group.
      Memory disorders include: memory impairment, amnesia, anterograde amnesia.

    Body System
    Adverse Reaction *

    Zolpidem Tartrate
    Extended-Release
    Tablets, 6.25 mg
    (N=99)



    Placebo
    (N=106)

    Infections and infestations

    Nasopharyngitis

    6

    4

    Lower respiratory tract infection

    1

    0

    Otitis externa

    1

    0

    Upper respiratory tract infection

    1

    0

    Psychiatric disorders

    Anxiety

    3

    2

    Psychomotor retardation

    2

    0

    Apathy

    1

    0

    Depressed mood

    1

    0

    Nervous system disorders

    Headache

    14

    11

    Dizziness

    8

    3

    Somnolence

    6

    5

    Burning sensation

    1

    0

    Dizziness postural

    1

    0

    Memory disorders

    1

    0

    Muscle contractions involuntary

    1

    0

    Paresthesia

    1

    0

    Tremor

    1

    0

    Cardiac disorders

    Palpitations

    2

    0

    Respiratory, thoracic and mediastinal disorders

    Dry throat

    1

    0

    Gastrointestinal disorders

    Flatulence

    1

    0

    Vomiting

    1

    0

    Skin and subcutaneous tissue disorders

    Rash

    1

    0

    Urticaria

    1

    0

    Musculoskeletal and connective tissue disorders

    Arthralgia

    2

    0

    Muscle cramp

    2

    1

    Neck pain

    2

    0

    Renal and urinary disorders

    Dysuria

    1

    0

    Reproductive system and breast disorders

    Vulvovaginal dryness

    1

    0

    General disorders and administration site conditions

    Influenza like illness

    1

    0

    Pyrexia

    1

    0

    Injury, poisoning and procedural complications

    Neck injury

    1

    0

    Dose Relationship for Adverse Reactions

    There is evidence from dose comparison trials suggesting a dose relationship for many of the adverse reactions associated with zolpidem use, particularly for certain CNS and gastrointestinal adverse events.

    Other Adverse Reactions Observed during the Premarketing Evaluation of Zolpidem Tartrate Extended-Release Tablets

    Other treatment-emergent adverse reactions associated with participation in zolpidem tartrate extended-release tablets studies (those reported at frequencies of <1%) were not different in nature or frequency to those seen in studies with immediate-release zolpidem tartrate, which are listed below.

    Adverse Events Observed during the Premarketing Evaluation of Immediate-Release Zolpidem Tartrate

    Immediate-release zolpidem tartrate was administered to 3,660 subjects in clinical trials throughout the U.S., Canada, and Europe. Treatment-emergent adverse events associated with clinical trial participation were recorded by clinical investigators using terminology of their own choosing. To provide a meaningful estimate of the proportion of individuals experiencing treatment-emergent adverse events, similar types of untoward events were grouped into a smaller number of standardized event categories and classified utilizing a modified World Health Organization (WHO) dictionary of preferred terms.

    The frequencies presented, therefore, represent the proportions of the 3,660 individuals exposed to zolpidem, at all doses, who experienced an event of the type cited on at least one occasion while receiving zolpidem. All reported treatment-emergent adverse events are included, except those already listed in the table above of adverse events in placebo-controlled studies, those coding terms that are so general as to be uninformative, and those events where a drug cause was remote. It is important to emphasize that, although the events reported did occur during treatment with AMBIEN, they were not necessarily caused by it.

    Adverse events are further classified within body system categories and enumerated in order of decreasing frequency using the following definitions: frequent adverse events are defined as those occurring in greater than 1/100 subjects; infrequent adverse events are those occurring in 1/100 to 1/1,000 patients; rare events are those occurring in less than 1/1,000 patients.

    Autonomic Nervous System: 

    Frequent: dry mouth. Infrequent: increased sweating, pallor, postural hypotension, syncope. Rare: abnormal accommodation, altered saliva, flushing, glaucoma, hypotension, impotence, increased saliva, tenesmus.

    Body as a Whole: 

    Frequent: asthenia. Infrequent: chest pain, edema, falling, fever, malaise, trauma. Rare: allergic reaction, allergy aggravated, anaphylactic shock, face edema, hot flashes, increased ESR, pain, restless legs, rigors, tolerance increased, weight decrease.

    Cardiovascular System: 

    Infrequent: cerebrovascular disorder, hypertension, tachycardia. Rare: angina pectoris, arrhythmia, arteritis, circulatory failure, extrasystoles, hypertension aggravated, myocardial infarction, phlebitis, pulmonary embolism, pulmonary edema, varicose veins, ventricular tachycardia.

    Central and Peripheral Nervous System: 

    Frequent: ataxia, confusion, drowsiness, drugged feeling, euphoria, insomnia, lethargy, lightheadedness, vertigo. Infrequent: agitation, decreased cognition, detached, difficulty concentrating, dysarthria, emotional lability, hallucination, hypoesthesia, illusion, leg cramps, migraine, nervousness, paresthesia, sleeping (after daytime dosing), speech disorder, stupor, tremor. Rare: abnormal gait, abnormal thinking, aggressive reaction, apathy, appetite increased, decreased libido, delusion, dementia, depersonalization, dysphasia, feeling strange, hypokinesia, hypotonia, hysteria, intoxicated feeling, manic reaction, neuralgia, neuritis, neuropathy, neurosis, panic attacks, paresis, personality disorder, somnambulism, suicide attempts, tetany, yawning.

    Gastrointestinal System: 

    Frequent: diarrhea, dyspepsia, hiccup. Infrequent: anorexia, constipation, dysphagia, flatulence, gastroenteritis. Rare: enteritis, eructation, esophagospasm, gastritis, hemorrhoids, intestinal obstruction, rectal hemorrhage, tooth caries.

    Hematologic and Lymphatic System: 

    Rare: anemia, hyperhemoglobinemia, leukopenia, lymphadenopathy, macrocytic anemia, purpura, thrombosis.

    Immunologic System: 

    Infrequent: infection. Rare: abscess herpes simplex herpes zoster, otitis externa, otitis media.

    Liver and Biliary System: 

    Infrequent: abnormal hepatic function, increased SGPT. Rare: bilirubinemia, increased SGOT.

    Metabolic and Nutritional: 

    Infrequent: hyperglycemia, thirst. Rare: gout, hypercholesteremia, hyperlipidemia, increased alkaline phosphatase, increased BUN, periorbital edema.

    Musculoskeletal System: 

    Infrequent: arthritis. Rare: arthrosis, muscle weakness, sciatica, tendinitis.

    Reproductive System: 

    Infrequent: menstrual disorder, vaginitis. Rare: breast fibroadenosis, breast neoplasm, breast pain.

    Respiratory System: 

    Frequent: sinusitis. Infrequent: bronchitis, coughing, dyspnea. Rare: bronchospasm, respiratory depression, epistaxis, hypoxia, laryngitis, pneumonia.

    Skin and Appendages: 

    Infrequent: pruritus. Rare: acne, bullous eruption, dermatitis, furunculosis, injection-site inflammation, photosensitivity reaction, urticaria.

    Special Senses: 

    Frequent: diplopia, vision abnormal. Infrequent: eye irritation, eye pain, scleritis, taste perversion, tinnitus. Rare: conjunctivitis, corneal ulceration, lacrimation abnormal, parosmia, photopsia.

    Urogenital System: 

    Frequent: urinary tract infection. Infrequent: cystitis, urinary incontinence. Rare: acute renal failure, dysuria, micturition frequency, nocturia, polyuria, pyelonephritis, renal pain, urinary retention.

    6.2 Postmarketing Experience

    The following adverse reactions have been identified during postapproval use of zolpidem tartrate extended-release tablets. Because these reactions are reported voluntarily from a population of uncertain size, it is not always possible to reliably estimate their frequency or establish a causal relationship to drug exposure.

    Liver and biliary system

    Acute hepatocellular, cholestatic or mixed liver injury with or without jaundice (i.e., bilirubin >2x ULN, alkaline phosphatase ≥2x ULN, transaminase ≥5x ULN).

  • 7 DRUG INTERACTIONS

    7.1 CNS-Active Drugs

    Coadministration of zolpidem with other CNS depressants increases the risk of CNS depression. Concomitant use of zolpidem with these drugs may increase drowsiness and psychomotor impairment, including impaired driving ability [see WARNINGS AND PRECAUTIONS (5.1)]. Zolpidem tartrate was evaluated in healthy volunteers in single-dose interaction studies for several CNS drugs.

    Imipramine, Chlorpromazine

    Imipramine in combination with zolpidem produced no pharmacokinetic interaction other than a 20% decrease in peak levels of imipramine, but there was an additive effect of decreased alertness. Similarly, chlorpromazine in combination with zolpidem produced no pharmacokinetic interaction, but there was an additive effect of decreased alertness and psychomotor performance [see CLINICAL PHARMACOLOGY (12.3)].

    Haloperidol

    A study involving haloperidol and zolpidem revealed no effect of haloperidol on the pharmacokinetics or pharmacodynamics of zolpidem. The lack of a drug interaction following single-dose administration does not predict the absence of an effect following chronic administration [see CLINICAL PHARMACOLOGY (12.3)].

    Alcohol

    An additive adverse effect on psychomotor performance between alcohol and oral zolpidem was demonstrated [see WARNINGS AND PRECAUTIONS (5.1)].

    Sertraline 

    Concomitant administration of zolpidem and sertraline increases exposure to zolpidem [see CLINICAL PHARMACOLOGY (12.3)].

    Fluoxetine 

    After multiple doses of zolpidem tartrate and fluoxetine an increase in the zolpidem half-life (17%) was observed. There was no evidence of an additive effect in psychomotor performance [see CLINICAL PHARMACOLOGY (12.3)].

    7.2 Drugs that Affect Drug Metabolism via Cytochrome P450

    Some compounds known to induce or inhibit CYP3A may affect exposure to zolpidem. The effect of drugs that induce or inhibit other P450 enzymes on the exposure to zolpidem is not known.

    CYP3A4 Inducers

    Rifampin:

    Rifampin, a CYP3A4 inducer, significantly reduced the exposure to and the pharmacodynamic effects of zolpidem. Use of Rifampin in combination with zolpidem may decrease the efficacy of zolpidem and is not recommended [see CLINICAL PHARMACOLOGY (12.3)].

    St. John's wort:

    Use of St. John's wort, a CYP3A4 inducer, in combination with zolpidem may decrease blood levels of zolpidem and is not recommended.

    CYP3A4 Inhibitors

    Ketoconazole:

    Ketoconazole, a potent CYP3A4 inhibitor, increased the exposure to and pharmacodynamic effects of zolpidem. Consideration should be given to using a lower dose of zolpidem when a potent CYP3A4 inhibitor and zolpidem are given together [see CLINICAL PHARMACOLOGY (12.3)].

  • 8 USE IN SPECIFIC POPULATIONS

    8.1 Pregnancy

    Risk Summary

    Neonates born to mothers using zolpidem late in the third trimester of pregnancy have been reported to experience symptoms of respiratory depression and sedation [see Clinical Considerations and Data]. Published data on the use of zolpidem during pregnancy have not reported a clear association with zolpidem and major birth defects [see Data]. Oral administration of zolpidem to pregnant rats and rabbits did not indicate a risk for adverse effects on fetal development at clinically relevant doses [see Data].

    The estimated background risk of major birth defects and miscarriage for the indicated populations are unknown. All pregnancies have a background risk of birth defect, loss, or other adverse outcomes. In the U.S. general population, the estimated background risk of major birth defects and miscarriage in clinically recognized pregnancies is 2% to 4% and 15% to 20%, respectively.

    Clinical Considerations

    Fetal/neonatal adverse reactions:

    Zolpidem crosses the placenta and may produce respiratory depression and sedation in neonates. Monitor neonates exposed to zolpidem tartrate extended-release tablets during pregnancy and labor for signs of excess sedation, hypotonia, and respiratory depression and manage accordingly.

    Data

    Human data: 

    Published data from observational studies, birth registries, and case reports on the use of zolpidem during pregnancy do not report a clear association with zolpidem and major birth defects.

    There are limited postmarketing reports of severe to moderate cases of respiratory depression that occurred after birth in neonates whose mothers had taken zolpidem during pregnancy. These cases required artificial ventilation or intratracheal intubation. The majority of neonates recovered within hours to a few weeks after birth once treated.

    Zolpidem has been shown to cross the placenta.

    Animal data: 

    Oral administration of zolpidem to pregnant rats during the period of organogenesis at 4, 20, and 100 mg base/kg/day, which are approximately 4, 20, and 100 times the maximum recommended human dose (MRHD) of 12.5 mg/day (10 mg zolpidem base) based on mg/m2body surface area, caused delayed fetal development (incomplete fetal skeletal ossification) at maternally toxic (ataxia) doses 20 and 100 times the MRHD based on mg/m2 body surface area.

    Oral administration of zolpidem to pregnant rabbits during the period of organogenesis at 1, 4, and 16 mg base/kg/day, which are approximately 2, 8, and 30 times the MRHD of 12.5 mg/day (10 mg zolpidem base) based on mg/m2 body surface area caused embryo-fetal death and delayed fetal development (incomplete fetal skeletal ossification) at a maternally toxic (decreased body weight gain) dose 30 times the MRHD based on mg/m2 body surface area.

    Oral administration of zolpidem to pregnant rats from day 15 of gestation through lactation at 4, 20, and 100 mg base/kg/day, which are approximately 4, 20, and 100 times the MRHD of 12.5 mg/day (10 mg zolpidem base) based on a mg/m2 body surface area, delayed offspring growth and decreased survival at doses 20 and 100 times, respectively, the MRHD based on mg/m2 body surface area.

    8.2 Lactation

    Risk Summary

    Limited data from published literature report the presence of zolpidem in human milk. There are reports of excess sedation in infants exposed to zolpidem through breastmilk [see Clinical Considerations]. There is no information on the effects of zolpidem on milk production. The developmental and health benefits of breastfeeding should be considered along with the mother's clinical need for zolpidem tartrate and any potential adverse effects on the breastfed infant from zolpidem tartrate or from the underlying maternal condition.

    Clinical Considerations

    Infants exposed to zolpidem tartrate through breastmilk should be monitored for excess sedation, hypotonia, and respiratory depression. A lactating woman may consider interrupting breastfeeding and pumping and discarding breast milk during treatment and for 23 hours (approximately 5 elimination half-lives) after zolpidem tartrate administration in order to minimize drug exposure to a breast fed infant.

    8.4 Pediatric Use

    Zolpidem tartrate extended-release tablets are not recommended for use in children. Safety and effectiveness of zolpidem in pediatric patients below the age of 18 years have not been established.

    In an 8-week study in pediatric patients (aged 6 to 17 years) with insomnia associated with attention-deficit/hyperactivity disorder (ADHD) an oral solution of zolpidem tartrate dosed at 0.25 mg/kg at bedtime did not decrease sleep latency compared to placebo. Psychiatric and nervous system disorders comprised the most frequent (> 5%) treatment emergent adverse reactions observed with zolpidem versus placebo and included dizziness (23.5% vs 1.5%), headache (12.5% vs 9.2%), and hallucinations were reported in 7% of the pediatric patients who received zolpidem; none of the pediatric patients who received placebo reported hallucinations [see WARNINGS AND PRECAUTIONS (5.4)]. Ten patients on zolpidem (7.4%) discontinued treatment due to an adverse reaction.

    FDA has not required pediatric studies of zolpidem tartrate extended-release tablets in the pediatric population based on these efficacy and safety findings.

    8.5 Geriatric Use

    A total of 99 elderly (≥ 65 years of age) received daily doses of 6.25 mg zolpidem tartrate extended-release tablets in a 3-week placebo-controlled study. The adverse reaction profile of zolpidem tartrate extended-release tablets 6.25 mg in this population was similar to that of zolpidem tartrate extended-release tablets 12.5 mg in younger adults (≤64 years of age). Dizziness was reported in 8% of zolpidem tartrate extended-release tablets-treated patients compared with 3% of those treated with placebo.

    The dose of zolpidem tartrate extended-release tablets in elderly patients is 6.25 mg to minimize adverse effects related to impaired motor and/or cognitive performance and unusual sensitivity to sedative/hypnotic drugs [see WARNINGS AND PRECAUTIONS (5.1)].

    8.6 Gender Difference in Pharmacokinetics

    Women clear zolpidem tartrate from the body at a lower rate than men. Cmax and AUC parameters of zolpidem from zolpidem tartrate extended-release tablets were, respectively, approximately 50% and 75% higher at the same dose in adult female subjects compared to adult male subjects. Between 6 and 12 hours after dosing, zolpidem concentrations were 2 to 3 fold higher in adult female compared to adult male subjects. Given the higher blood levels of zolpidem tartrate in women compared to men at a given dose, the recommended initial dose of zolpidem tartrate extended-release tablets for adult women is 6.25 mg, and the recommended dose for adult men is 6.25 or 12.5 mg.

    In geriatric patients, clearance of zolpidem is similar in men and women. The recommended dose of zolpidem tartrate extended-release tablets in geriatric patients is 6.25 mg regardless of gender.

    8.7 Hepatic Impairment

    The recommended dose of zolpidem tartrate extended-release tablets in patients with mild to moderate hepatic impairment is 6.25 mg once daily immediately before bedtime. Avoid zolpidem tartrate extended-release tablets use in patients with severe hepatic impairment as it may contribute to encephalopathy [see DOSAGE AND ADMINISTRATION (2.2), WARNINGS AND PRECAUTIONS (5.7), CLINICAL PHARMACOLOGY (12.3)].

  • 9 DRUG ABUSE AND DEPENDENCE

    9.1 Controlled Substance

    Zolpidem tartrate is classified as a Schedule IV controlled substance by federal regulation.

    9.2 Abuse

    Abuse and addiction are separate and distinct from physical dependence and tolerance. Abuse is characterized by misuse of the drug for non-medical purposes, often in combination with other psychoactive substances. Tolerance is a state of adaptation in which exposure to a drug induces changes that result in a diminution of one or more of the drug effects over time. Tolerance may occur to both desired and undesired effects of drugs and may develop at different rates for different effects.

    Addiction is a primary, chronic, neurobiological disease with genetic, psychosocial, and environmental factors influencing its development and manifestations. It is characterized by behaviors that include one or more of the following: impaired control over drug use, compulsive use, continued use despite harm, and craving. Drug addiction is a treatable disease, using a multidisciplinary approach, but relapse is common.

    Studies of abuse potential in former drug abusers found that the effects of single doses of zolpidem tartrate 40 mg were similar, but not identical, to diazepam 20 mg, while zolpidem tartrate 10 mg effects were difficult to distinguish from placebo.

    Because persons with a history of addiction to, or abuse of, drugs or alcohol are at increased risk for misuse, abuse and addiction of zolpidem, they should be monitored carefully when receiving zolpidem or any other hypnotic.

    9.3 Dependence

    Physical dependence is a state of adaptation that is manifested by a specific withdrawal syndrome that can be produced by abrupt cessation, rapid dose reduction, decreasing blood level of the drug, and/or administration of an antagonist.

    Sedative/hypnotics have produced withdrawal signs and symptoms following abrupt discontinuation. These reported symptoms range from mild dysphoria and insomnia to a withdrawal syndrome that may include abdominal and muscle cramps, vomiting, sweating, tremors, and convulsions. The following adverse events, which are considered to meet the DSM-III-R criteria for uncomplicated sedative/hypnotic withdrawal, were reported during U.S. clinical trials following placebo substitution occurring within 48 hours following last zolpidem treatment: fatigue, nausea, flushing, lightheadedness, uncontrolled crying, emesis, stomach cramps, panic attack, nervousness, and abdominal discomfort. These reported adverse events occurred at an incidence of 1% or less. However, available data cannot provide a reliable estimate of the incidence, if any, of dependence during treatment at recommended doses. Postmarketing reports of abuse, dependence and withdrawal have been received.

  • 10 OVERDOSAGE

    10.1 Signs and Symptoms

    In postmarketing experience of overdose with zolpidem tartrate alone, or in combination with CNS-depressant agents, impairment of consciousness ranging from somnolence to coma, cardiovascular and/or respiratory compromise, and fatal outcomes have been reported.

    10.2 Recommended Treatment

    General symptomatic and supportive measures should be used along with immediate gastric lavage where appropriate. Intravenous fluids should be administered as needed. Zolpidem's sedative hypnotic effect was shown to be reduced by flumazenil and therefore may be useful; however, flumazenil administration may contribute to the appearance of neurological symptoms (convulsions). As in all cases of drug overdose, respiration, pulse, blood pressure, and other appropriate signs should be monitored and general supportive measures employed. Hypotension and CNS depression should be monitored and treated by appropriate medical intervention. Sedating drugs should be withheld following zolpidem overdosage, even if excitation occurs. The value of dialysis in the treatment of overdosage has not been determined, although hemodialysis studies in patients with renal failure receiving therapeutic doses have demonstrated that zolpidem is not dialyzable.

    As with the management of all overdosage, the possibility of multiple drug ingestion should be considered. The physician may wish to consider contacting a poison control center for up-to-date information on the management of hypnotic drug product overdosage.

  • 11 DESCRIPTION

    Zolpidem tartrate extended-release tablets USP contains zolpidem tartrate, a gamma-aminobutyric acid (GABA) A receptor positive modulator of the imidazopyridine class. Zolpidem tartrate extended-release tablets USP are available in 6.25 mg and 12.5 mg strength tablets for oral administration.

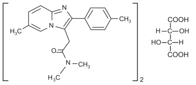
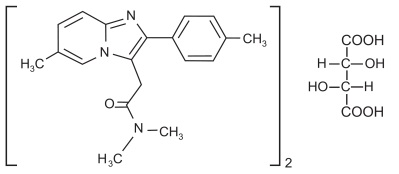
    Chemically, zolpidem is N,N,6-trimethyl-2-p-tolylimidazo[1,2-a] pyridine-3-acetamide L-(+)-tartrate (2:1). It has the following structure:

    Zolpidem Tartrate

    Zolpidem tartrate is a white or almost white, crystalline powder, hygroscopic that is slightly soluble in water, sparingly soluble in methanol and practically insoluble in methylene chloride. It has a molecular weight of 764.87.

    Zolpidem tartrate extended-release tablets USP consist of a coated two-layer tablet: one layer that releases its drug content immediately and another layer that allows a slower release of additional drug content. The 6.25 mg zolpidem tartrate extended-release tablets USP contain the following inactive ingredients: colloidal silicon dioxide, FD&C Blue # 2 aluminium lake, hypromellose, iron oxide red, lactose monohydrate, magnesium stearate, microcrystalline cellulose, polyethylene glycol, potassium bitartrate, sodium starch glycolate and titanium dioxide. The 12.5 mg zolpidem tartrate extended-release tablets USP contain the following inactive ingredients: colloidal silicon dioxide, FD&C Blue # 2 aluminium lake, hypromellose, lactose monohydrate, magnesium stearate, microcrystalline cellulose, polyethylene glycol, potassium bitartrate, sodium starch glycolate and titanium dioxide.

    Zolpidem tartrate extended-release tablets USP meets USP Dissolution Test 6.

  • 12 CLINICAL PHARMACOLOGY

    12.1 Mechanism of Action

    Zolpidem is a GABA A receptor positive modulator presumed to exert its therapeutic effects in the short-term treatment of insomnia through binding to the benzodiazepine site of α1 subunit containing GABA A receptors, increasing the frequency of chloride channel opening resulting in the inhibition of neuronal excitation.

    12.2 Pharmacodynamics

    Zolpidem binds to GABA A receptors with greater affinity for α1 subunit relative to α2 and α3 subunit containing receptors. Zolpidem has no appreciable binding affinity for α5 subunit containing GABA A receptors. This binding profile may explain the relative absence of myorelaxant effects in animal studies. Zolpidem has no appreciable binding affinity for dopaminergic D2, serotonergic 5HT2, adrenergic, histaminergic or muscarinic receptors.

    12.3 Pharmacokinetics

    Zolpidem tartrate extended-release tablets exhibits biphasic absorption characteristics, which results in rapid initial absorption from the gastrointestinal tract similar to zolpidem tartrate immediate-release, then provides extended plasma concentrations beyond three hours after administration. A study in 24 healthy male subjects was conducted to compare mean zolpidem plasma concentration-time profiles obtained after single oral administration of zolpidem tartrate extended-release tablets 12.5 mg and of an immediate-release formulation of zolpidem tartrate (10 mg). The terminal elimination half-life observed with zolpidem tartrate extended-release tablets (12.5 mg) were similar to that obtained with immediate-release zolpidem tartrate (10 mg). The mean plasma concentration-time profiles are shown in Figure 1.

    Figure 1: Mean Plasma Concentration-Time Profiles for Zolpidem Tartrate Extended-Release Tablets (12.5 mg) and Immediate-Release Zolpidem Tartrate (10 mg)

    Im-2

    In adult and elderly patients treated with zolpidem tartrate extended-release tablets, there was no evidence of accumulation after repeated once-daily dosing for up to two weeks.

    Absorption

    Following administration of zolpidem tartrate extended-release tablets, administered as a single 12.5 mg dose in healthy male adult subjects, the mean peak concentration (Cmax) of zolpidem was 134 ng/mL (range: 68.9 to 197 ng/ml) occurring at a median time (Tmax) of 1.5 hours. The mean AUC of zolpidem was 740 ng·hr/mL (range: 295 to 1359 ng·hr/mL).

    A food-effect study in 45 healthy subjects compared the pharmacokinetics of zolpidem tartrate extended-release tablets 12.5 mg when administered while fasting or within 30 minutes after a meal. Results demonstrated that with food, mean AUC and Cmax were decreased by 23% and 30%, respectively, while median Tmax was increased from 2 hours to 4 hours. The half-life was not changed. These results suggest that, for faster sleep onset, zolpidem tartrate extended-release tablets should not be administered with or immediately after a meal.

    Distribution

    Total protein binding was found to be 92.5 ± 0.1% and remained constant, independent of concentration between 40 and 790 ng/mL.

    Metabolism

    Zolpidem is converted to inactive metabolites that are eliminated primarily by renal excretion.

    Elimination

    When zolpidem tartrate extended-release tablet was administered as a single 12.5 mg dose in healthy male adult subjects, the mean zolpidem elimination half-life was 2.8 hours (range: 1.62 to 4.05 hr).

    Special Populations

    Elderly

    In 24 elderly (≥ 65 years) healthy subjects administered a single 6.25 mg dose of zolpidem tartrate extended-release tablets, the mean peak concentration (Cmax) of zolpidem was 70.6 (range: 35.0 to 161) ng/mL occurring at a median time (Tmax) of 2.0 hours. The mean AUC of zolpidem was 413 ng·hr/mL (range: 124 to 1190 ng·hr/mL) and the mean elimination half-life was 2.9 hours (range: 1.59 to 5.50 hours).

    Hepatic impairment

    Zolpidem tartrate extended-release tablets were not studied in patients with hepatic impairment. The pharmacokinetics of an immediate-release formulation of zolpidem tartrate in eight patients with chronic hepatic insufficiency was compared to results in healthy subjects. Following a single 20-mg oral zolpidem tartrate dose, mean Cmax and AUC were found to be two times (250 vs. 499 ng/mL) and five times (788 vs. 4,203 ng·hr/mL) higher, respectively, in hepatically compromised patients. Tmax did not change. The mean half-life in cirrhotic patients of 9.9 hr (range: 4.1 to 25.8 hr) was greater than that observed in normal subjects of 2.2 hr (range: 1.6 to 2.4 hr) [see DOSAGE AND ADMINISTRATION (2.2), WARNINGS AND PRECAUTIONS (5.7), USE IN SPECIFIC POPULATIONS (8.7)].

    Renal impairment

    Zolpidem tartrate extended-release tablets were not studied in patients with renal impairment. The pharmacokinetics of an immediate-release formulation of zolpidem tartrate were studied in 11 patients with end-stage renal failure (mean ClCr = 6.5 ± 1.5 mL/min) undergoing hemodialysis three times a week, who were dosed with zolpidem tartrate 10 mg orally each day for 14 or 21 days. No statistically significant differences were observed for Cmax, Tmax, half-life, and AUC between the first and last day of drug administration when baseline concentration adjustments were made. Zolpidem was not hemodialyzable. No accumulation of unchanged drug appeared after 14 or 21 days. Zolpidem pharmacokinetics was not significantly different in renally impaired patients. No dosage adjustment is necessary in patients with compromised renal function.

    Drug Interactions

    CNS-depressants

    Coadministration of zolpidem with other CNS depressants increases the risk of CNS depression [see WARNINGS AND PRECAUTIONS (5.1)]. Zolpidem tartrate was evaluated in healthy volunteers in single-dose interaction studies for several CNS drugs. Imipramine in combination with zolpidem produced no pharmacokinetic interaction other than a 20% decrease in peak levels of imipramine, but there was an additive effect of decreased alertness. Similarly, chlorpromazine in combination with zolpidem produced no pharmacokinetic interaction, but there was an additive effect of decreased alertness and psychomotor performance.

    A study involving haloperidol and zolpidem revealed no effect of haloperidol on the pharmacokinetics or pharmacodynamics of zolpidem. The lack of a drug interaction following single-dose administration does not predict the absence of an effect following chronic administration.

    An additive adverse effect on psychomotor performance between alcohol and oral zolpidem was demonstrated [see WARNINGS AND PRECAUTIONS (5.1)].

    Following five consecutive nightly doses at bedtime of oral zolpidem tartrate 10 mg in the presence of sertraline 50 mg (17 consecutive daily doses, at 7:00 am, in healthy female volunteers), zolpidem Cmax was significantly higher (43%) and Tmax was significantly decreased (-53%). Pharmacokinetics of sertraline and N-desmethylsertraline were unaffected by zolpidem.

    A single-dose interaction study with zolpidem tartrate 10 mg and fluoxetine 20 mg at steady-state levels in male volunteers did not demonstrate any clinically significant pharmacokinetic or pharmacodynamic interactions. When multiple doses of zolpidem and fluoxetine were given at steady state and the concentrations evaluated in healthy females, an increase in the zolpidem half-life (17%) was observed. There was no evidence of an additive effect in psychomotor performance.

    Drugs that affect drug metabolism via cytochrome P450

    Some compounds known to inhibit CYP3A may increase exposure to zolpidem. The effect of inhibitors of other P450 enzymes on the pharmacokinetics of zolpidem is unknown.

    A single-dose interaction study with zolpidem tartrate 10 mg and itraconazole 200 mg at steady-state levels in male volunteers resulted in a 34% increase in AUC0-∞ of zolpidem tartrate. There were no pharmacodynamic effects of zolpidem detected on subjective drowsiness, postural sway, or psychomotor performance.

    A single-dose interaction study with zolpidem tartrate 10 mg and rifampin 600 mg at steady-state levels in female subjects showed significant reductions of the AUC (-73%), Cmax (-58%), and T1/2 (-36 %) of zolpidem together with significant reductions in the pharmacodynamic effects of zolpidem tartrate. Rifampin, a CYP3A4 inducer, significantly reduced the exposure to and the pharmacodynamic effects of zolpidem [see DRUG INTERACTIONS (7.2)]. 

    Similarly, St. John's wort, a CYP3A4 inducer, may also decrease the blood levels of zolpidem

    A single-dose interaction study with zolpidem tartrate 5 mg and ketoconazole, a potent CYP3A4 inhibitor, given as 200 mg twice daily for 2 days increased Cmax of zolpidem (30%) and the total AUC of zolpidem (70%) compared to zolpidem alone and prolonged the elimination half-life (30 %) along with an increase in the pharmacodynamic effects of zolpidem [see DRUG INTERACTIONS (7.2)].

    Additionally, fluvoxamine (a strong inhibitor of CYP1A2 and a weak inhibitor of CYP3A4 and CYP2C9) and ciprofloxacin (a strong inhibitor of CYP1A2 and a moderate inhibitor of CYP3A4) are also likely to inhibit zolpidem's metabolic pathways, potentially leading to an increase in zolpidem exposure.

    Other drugs with no interactions with zolpidem

    A study involving cimetidine/zolpidem tartrate and ranitidine/zolpidem tartrate combinations revealed no effect of either drug on the pharmacokinetics or pharmacodynamics of zolpidem.

    Zolpidem tartrate had no effect on digoxin pharmacokinetics and did not affect prothrombin time when given with warfarin in healthy subjects.

  • 13 NONCLINICAL TOXICOLOGY

    13.1 Carcinogenesis, Mutagenesis, Impairment of Fertility

    Carcinogenesis

    Zolpidem was administered to mice and rats for 2 years at oral doses of 4, 18, and 80 mg base/kg/day. In mice, these doses are approximately 2, 9, and 40 times the MRHD of 12.5 mg/day (10 mg zolpidem base) based on mg/m2 body surface area and in rats, these doses are approximately 4, 18, and 80 times the MRHD based on mg/m2 body surface area. No evidence of carcinogenic potential was observed in mice. In rats, renal tumors (lipoma, liposarcoma) were seen at the mid and high doses.

    Mutagenesis

    Zolpidem was negative in in vitro (bacterial reverse mutation, mouse lymphoma, and chromosomal aberration) and in vivo (mouse micronucleus) genetic toxicology assays.

    Impairment of Fertility

    Zolpidem was administered to rats at 4, 20, and 100 mg base/kg/day, which are approximately 4, 20, and 100 times the MRHD of 12.5 mg/day (10 mg zolpidem base) based on mg/m2 body surface area, prior to and during mating, and continuing in females through postpartum day 25. Zolpidem caused irregular estrus cycles and prolonged precoital intervals at the highest dose tested, which is approximately 100 times the MRHD based on mg/m2 body surface area. The NOAEL for these effects is 20 times the MRHD based on mg/m2 body surface area. There was no impairment of fertility at any dose tested.

  • 14 CLINICAL STUDIES

    14.1 Controlled Clinical Trials

    Zolpidem tartrate extended-release tablets were evaluated in three placebo-controlled studies for the treatment of patients with chronic primary insomnia (as defined in the APA Diagnostic and Statistical Manual of Mental Disorders, DSM IVTM).

    Adult outpatients (18 to 64 years) with primary insomnia (N=212) were evaluated in a double-blind, randomized, parallel-group, 3-week trial comparing zolpidem tartrate extended-release tablets 12.5 mg and placebo. Zolpidem tartrate extended-release tablets 12.5 mg decreased wake time after sleep onset (WASO) for the first 7 hours during the first 2 nights and for the first 5 hours after 2 weeks of treatment. Zolpidem tartrate extended-release tablets 12.5 mg were superior to placebo on objective measures (polysomnography recordings) of sleep induction (by decreasing latency to persistent sleep [LPS]) during the first 2 nights of treatment and after 2 weeks of treatment. Zolpidem tartrate extended-release tablets 12.5 mg were also superior to placebo on the patient reported global impression regarding the aid to sleep after the first 2 nights and after 3 weeks of treatment.

    Elderly outpatients (≥ 65 years) with primary insomnia (N=205) were evaluated in a double-blind, randomized, parallel-group, 3-week trial comparing zolpidem tartrate extended-release tablets 6.25 mg and placebo. Zolpidem tartrate extended-release tablets 6.25 mg decreased wake time after sleep onset (WASO) for the first 6 hours during the first 2 nights and the first 4 hours after 2 weeks of treatment. Zolpidem tartrate extended-release tablets 6.25 mg were superior to placebo on objective measures (polysomnography recordings) of sleep induction (by decreasing LPS) during the first 2 nights of treatment and after 2 weeks on treatment. Zolpidem tartrate extended-release tablets 6.25 mg were superior to placebo on the patient reported global impression regarding the aid to sleep after the first 2 nights and after 3 weeks of treatment.

    In both studies, in patients treated with zolpidem tartrate extended-release tablets, polysomnography showed increased wakefulness at the end of the night compared to placebo-treated patients.

    In a 24-week double-blind, placebo controlled, randomized study in adult outpatients (18 to 64 years) with primary insomnia (N=1025), zolpidem tartrate extended-release tablets 12.5 mg administered as needed (3 to 7 nights per week) was superior to placebo over 24 weeks, on patient global impression regarding aid to sleep, and on patient-reported specific sleep parameters for sleep induction and sleep maintenance with no significant increased frequency of drug intake observed over time.

    14.2 Studies Pertinent to Safety Concerns for Sedative/Hypnotic Drugs

    Next-Day Residual Effects

    In five clinical studies (three controlled studies in adults [18 to 64 years of age] administered zolpidem tartrate extended-release tablets 12.5 mg and two controlled studies in the elderly [≥ 65 years of age] administered zolpidem tartrate extended-release tablets 6.25 mg or 12.5 mg), the effect of zolpidem tartrate extended-release tablets on vigilance, memory, or motor function were assessed using neurocognitive tests. In these studies, no significant decrease in performance was observed eight hours after a nighttime dose. In addition, no evidence of next-day residual effects was detected with zolpidem tartrate extended-release tablets 12.5 mg and 6.25 mg using self-ratings of sedation.

    During the 3-week studies, next-day somnolence was reported by 15% of the adult patients who received 12.5 mg zolpidem tartrate extended-release tablets versus 2% of the placebo group; next-day somnolence was reported by 6% of the elderly patients who received 6.25 mg zolpidem tartrate extended-release tablets versus 5% of the placebo group [see ADVERSE REACTIONS (6)]. In a 6-month study, the overall incidence of next-day somnolence was 5.7% in the zolpidem tartrate extended-release tablets group as compared to 2% in the placebo group.

    Rebound Effects

    Rebound insomnia, defined as a dose-dependent worsening in sleep parameters (latency, sleep efficiency, and number of awakenings) compared with baseline following discontinuation of treatment, is observed with short- and intermediate-acting hypnotics. In the two 3-week placebo-controlled studies in patients with primary insomnia, a rebound effect was only observed on the first night after abrupt discontinuation of zolpidem tartrate extended-release tablets. On the second night, there was no worsening compared to baseline in the zolpidem tartrate extended-release tablets group.

    In a 6-month placebo-controlled study in which zolpidem tartrate extended-release tablets were taken as needed (3 to 7 nights per week), within the first month a rebound effect was observed for Total Sleep Time (not for WASO) during the first night off medication. After this first month period, no further rebound insomnia was observed. After final treatment discontinuation no rebound was observed.

  • 16 HOW SUPPLIED/STORAGE AND HANDLING

    Zolpidem tartrate extended-release tablets USP, 12.5 mg are composed of two layers* and are blue colored, round, biconvex, film-coated tablets debossed with "E62" on one side and "LU" on the other side and supplied as:

    NDC Number              Package Configuration

    68788-7422-02                        Bottle of 28

    68788-7422-03                        Bottle of 30

    68788-7422-06                        Bottle of 60

    68788-7422-09                        Bottle of 90

    *Layers are covered by the coating and are indistinguishable.

    Store at 25°C (77°F); excursions permitted to 15° to 30°C (59° to 86°F) [See USP Controlled Room Temperature].

  • 17 PATIENT COUNSELING INFORMATION

    Advise the patient to read the FDA-approved patient labeling (Medication Guide). Inform patients and their families about the benefits and risks of treatment with zolpidem tartrate extended-release tablets. Inform patients of the availability of a Medication Guide and instruct them to read the Medication Guide prior to initiating treatment with zolpidem tartrate extended-release tablets and with each prescription refill. Review the zolpidem tartrate extended-release tablets Medication Guide with every patient prior to initiation of treatment. Instruct patients or caregivers that zolpidem tartrate extended-release tablets should be taken only as prescribed.

    CNS-Depressant Effects and Next-Day Impairment

    Tell patients that zolpidem tartrate extended-release tablets can cause next-day impairment even when used as prescribed, and that this risk is increased if dosing instructions are not carefully followed. Caution patients against driving and other activities requiring complete mental alertness the day after use. Inform patients that impairment can be present despite feeling fully awake. Advise patients that increased drowsiness and decreased consciousness may increase the risk of falls in some patients.

    Severe Anaphylactic and Anaphylactoid Reactions

    Inform patients that severe anaphylactic and anaphylactoid reactions have occurred with zolpidem. Describe the signs/symptoms of these reactions and advise patients to seek medical attention immediately if any of them occur.

    Sleep-Driving and other Complex Behaviors

    Instruct patients and their families that sedative hypnotics can cause abnormal thinking and behavior change, including "sleep driving" and other complex behaviors while not being fully awake (preparing and eating food, making phone calls, or having sex). Tell patients to call you immediately if they develop any of these symptoms.

    Suicide

    Tell patients to immediately report any suicidal thoughts.

    Alcohol and other Drugs

    Ask patients about alcohol consumption, medicines they are taking, and drugs they may be taking without a prescription. Advise patients not to use zolpidem tartrate extended-release tablets if they drank alcohol that evening or before bed.

    Tolerance, Abuse, and Dependence

    Tell patients not to increase the dose of zolpidem tartrate extended-release tablets on their own, and to inform you if they believe the drug "does not work."

    Administration Instructions

    Patients should be counseled to take zolpidem tartrate extended-release tablets right before they get into bed and only when they are able to stay in bed a full night (7 to 8 hours) before being active again. Zolpidem tartrate extended-release tablets should not be taken with or immediately after a meal. Advise patients NOT to take zolpidem tartrate extended-release tablets if they drank alcohol that evening.

    Pregnancy

    Advise patients to notify their healthcare provider if they become pregnant or intend to become pregnant during treatment with zolpidem tartrate extended-release tablets. Advise patients that use of zolpidem tartrate extended-release tablets late in the third trimester may cause respiratory depression and sedation in neonates. Advise mothers who used zolpidem tartrate extended-release tablets during the late third trimester of pregnancy to monitor neonates for signs of sleepiness (more than usual), breathing difficulties, or limpness [see USE IN SPECIFIC POPULATIONS (8.1)].

    Lactation

    Advise breastfeeding mothers using zolpidem tartrate extended-release tablets to monitor infants for increased sleepiness (more than usual), breathing difficulties, or limpness. Instruct breastfeeding mothers to seek immediate medical care if they notice these signs. A lactating woman may consider pumping and discarding breastmilk during treatment and for 23 hours after zolpidem tartrate extended-release tablets administration to minimize drug exposure to a breastfed infant [see USE IN SPECIFIC POPULATIONS (8.2)].

    The brands listed are trademarks of their respective owners and are not trademarks of Lupin Pharmaceuticals, Inc. The makers of these brands are not affiliated with and do not endorse Lupin Pharmaceuticals, Inc. or its products.

    Manufactured for:

    Lupin Pharmaceuticals, Inc.

    Baltimore, Maryland 21202

    United States

    Manufactured by:

    Lupin Limited

    Goa 403 722

    INDIA

    Revised: March 6, 2019                                                                                      ID#: 259651

    Repackaged by Preferred Pharmaceuticals, Inc.

  • MEDICATION GUIDE

    MEDICATION GUIDE

    Zolpidem Tartrate (zole-PI-dem TAR-trate)

    Extended-Release Tablets USP, 6.25 mg and 12.5 mg CIV

    Rx only

    Read the Medication Guide that comes with zolpidem tartrate extended-release tablets before you start taking it and each time you get a refill. There may be new information. This Medication Guide does not take the place of talking to your healthcare provider about your medical condition or treatment.

    What is the most important information I should know about zolpidem tartrate extended-release tablets?

    •   Do not take more zolpidem tartrate extended-release tablets than prescribed.
    •   Do not take zolpidem tartrate extended-release tablets unless you are able to stay in bed a full night (7 to 8 hours) before you must be active again.
    •   Take zolpidem tartrate extended-release tablets right before you get in bed, not sooner.

    Zolpidem tartrate extended-release tablets may cause serious side effects that you may not know are happening to you. These side effects include:

    • sleepiness during the day
    • not thinking clearly
    • act strangely, confused, or upset
    • "sleep-walking" or doing other activities when you are asleep like:

              ο eating

              ο talking

              ο having sex

              ο driving a car

    Call your healthcare provider right away if you find out that you have done any of the above activities after taking zolpidem tartrate extended-release tablets.

    You should not drive a car or do things that require clear thinking the day after you take zolpidem tartrate extended-release tablets.

    Do not take zolpidem tartrate extended-release tablets if you:

    •   drank alcohol that evening or before bed.
    •   take other medicines that can make you sleepy. Taking zolpidem tartrate extended-release tablets with other drugs can cause side effects. Talk to your healthcare provider about all of your medicines. Your healthcare provider will tell you if you can take zolpidem tartrate extended-release tablets with your other medicines.
    •   cannot get a full night's sleep.

    What is zolpidem tartrate extended-release tablet?

    Zolpidem tartrate extended-release tablet is a sedative-hypnotic (sleep) medicine. Zolpidem tartrate extended-release tablet is used in adults for the treatment of a sleep problem called insomnia. Symptoms of insomnia include:

    •   trouble falling asleep
    •   waking up often during the night

    Zolpidem tartrate extended-release tablets are not recommended for use in children under the age of 18 years.

    Zolpidem tartrate extended-release tablets are federally controlled substance (CIV) because it can be abused or lead to dependence. Keep zolpidem tartrate extended-release tablets in a safe place to prevent misuse and abuse. Selling or giving away zolpidem tartrate extended-release tablets may harm others, and is against the law. Tell your healthcare provider if you have ever abused or have been dependent on alcohol, prescription medicines or street drugs.

    Who should not take zolpidem tartrate extended-release tablets?

    •   Do not take zolpidem tartrate extended-release tablets if you are allergic to zolpidem or any other ingredients in zolpidem tartrate extended-release tablets. See the end of this Medication Guide for a complete list of ingredients in zolpidem tartrate extended-release tablets.
    •   Do not take zolpidem tartrate extended-release tablets if you have had an allergic reaction to drugs containing zolpidem, such as Ambien, Edluar, Zolpimist, or Intermezzo.

    Symptoms of a serious allergic reaction to zolpidem can include:

    •   swelling of your face, lips, and throat that may cause difficulty breathing or swallowing

    What should I tell my healthcare provider before taking zolpidem tartrate extended-release tablets?

    Zolpidem tartrate extended-release tablets may not be right for you. Before starting zolpidem tartrate extended-release tablets, tell your healthcare provider about all of your health conditions, including if you:

    •   have a history of depression, mental illness, or suicidal thoughts
    •   have a history of drug or alcohol abuse or addiction
    •   have kidney or liver disease
    •   have a lung disease or breathing problems
    •   are pregnant, planning to become pregnant. Talk to your healthcare provider about the risk to your unborn baby if you take zolpidem tartrate extended-release tablets.
    •   Using zolpidem tartrate extended-release tablets in the last trimester of pregnancy may cause breathing difficulties or excess sleepiness in your newborn. Monitor for signs of sleepiness (more than usual), trouble breathing, or limpness in the newborn if zolpidem tartrate extended-release tablets are taken late in pregnancy.
    •   are breastfeeding or plan to breastfeed. Zolpidem tartrate passes into your breast milk. Talk to your healthcare provider about the best way to feed your baby while you take zolpidem tartrate extended-release tablets.

    Tell your healthcare provider about all of the medicines you take, including prescription and nonprescription medicines, vitamins and herbal supplements.

    Medicines can interact with each other, sometimes causing serious side effects. Do not take zolpidem tartrate extended-release tablets with other medicines that can make you sleepy unless your healthcare provider tells you to.

    Know the medicines you take. Keep a list of your medicines with you to show your healthcare provider and pharmacist each time you get a new medicine.

    How should I take zolpidem tartrate extended-release tablets?

    • See"What is the most important information I should know about zolpidem tartrate extended-release tablets?"
    • Take zolpidem tartrate extended-release tablets exactly as prescribed. Only take 1 zolpidem tartrate extended-release tablet a night if needed.
    • Do not take zolpidem tartrate extended-release tablets if you drank alcohol that evening or before bed.
    • You should not take zolpidem tartrate extended-release tablets with or right after a meal. Zolpidem tartrate extended-release tablets may help you fall asleep faster if you take it on an empty stomach.
    • Take zolpidem tartrate extended-release tablets whole. Do not break, crush, dissolve or chew zolpidem tartrate extended-release tablets before swallowing. If you cannot swallow zolpidem tartrate extended-release tablets whole, tell your healthcare provider. You may need a different medicine.
    • Call your healthcare provider if your insomnia worsens or is not better within 7 to 10 days. This may mean that there is another condition causing your sleep problems.
    • If you take too much zolpidem tartrate extended-release tablets or overdose, get emergency treatment.

    What are the possible side effects of zolpidem tartrate extended-release tablets?

    Zolpidem tartrate extended-release tablets may cause serious side effects including:

    •   getting out of bed while not being fully awake and doing an activity that you do not know you are doing. (See "What is the most important information I should know about zolpidem tartrate extended-release tablets? ")
    •   abnormal thoughts and behavior. Symptoms include more outgoing or aggressive behavior than normal, confusion, agitation, hallucinations, worsening of depression, and suicidal thoughts or actions.
    •   memory loss
    •   anxiety
    •   severe allergic reactions. Symptoms include swelling of the tongue or throat, trouble breathing, and nausea and vomiting. Get emergency medical help if you get these symptoms after taking zolpidem tartrate extended-release tablets.

    Call your healthcare provider right away if you have any of the above side effects or any other side effects that worry you while using zolpidem tartrate extended-release tablets.

    The most common side effects of zolpidem tartrate extended-release tablets are:

    •   headache
    •   sleepiness
    •   dizziness
    •   drowsiness the next day after you take zolpidem tartrate extended-release tablets

    After you stop taking a sleep medicine, you may have symptoms for 1 to 2 days such as:

    •   trouble sleeping
    •   nausea
    •   flushing
    •   lightheadedness
    •   uncontrolled crying
    •   vomiting
    •   stomach cramps
    •   panic attack
    •   nervousness
    •   stomach area pain

    These are not all the side effects of zolpidem tartrate extended-release tablets. Ask your healthcare provider or pharmacist for more information.

    Call your doctor for medical advice about side effects. You may report side effects to FDA at 1-800-FDA-1088.

    How should I store zolpidem tartrate extended-release tablets?

    Store zolpidem tartrate extended-release tablets at room temperature, 59°F to 77°F (15°C to 25°C).

    Keep zolpidem tartrate extended-release tablets and all medicines out of reach of children.

    General Information about the safe and effective use of zolpidem tartrate extended-release tablets

    Medicines are sometimes prescribed for purposes other than those listed in a Medication Guide. Do not use zolpidem tartrate extended-release tablets for a condition for which it was not prescribed. Do not share zolpidem tartrate extended-release tablets with other people, even if they have the same symptoms that you have. It may harm them and it is against the law.

    This Medication Guide summarizes the most important information about zolpidem tartrate extended-release tablets. If you would like more information, talk with your healthcare provider. You can ask your healthcare provider or pharmacist for information about zolpidem tartrate extended-release tablets that is written for healthcare professionals.

    For more information, go to www.lupinpharmaceuticals.com or call 1-800-399-2561.

    What are the ingredients in zolpidem tartrate extended-release tablets?

    Active Ingredient: Zolpidem tartrate

    Inactive Ingredients: The 6.25 mg zolpidem tartrate extended-release tablets contain the following inactive ingredients: colloidal silicon dioxide, FD&C Blue # 2 aluminium lake, hypromellose, iron oxide red, lactose monohydrate, magnesium stearate, microcrystalline cellulose, polyethylene glycol, potassium bitartrate, sodium starch glycolate and titanium dioxide. The 12.5 mg zolpidem tartrate extended-release tablets contain the following inactive ingredients: colloidal silicon dioxide, FD&C Blue # 2 aluminium lake, hypromellose, lactose monohydrate, magnesium stearate, microcrystalline cellulose, polyethylene glycol, potassium bitartrate, sodium starch glycolate and titanium dioxide.

    The brands listed are trademarks of their respective owners and are not trademarks of Lupin Pharmaceuticals, Inc. The makers of these brands are not affiliated with and do not endorse Lupin Pharmaceuticals, Inc. or its products.

    This Medication Guide has been approved by the U.S. Food and Drug Administration.

    Manufactured for:

    Lupin Pharmaceuticals, Inc.

    Baltimore, Maryland 21202

    United States

    Manufactured by:

    Lupin Limited

    Goa 403 722

    INDIA

    Revised: March 6, 2019                                                                                           ID #: 259652

    Repackaged by Preferred Pharmaceuticals, Inc.

  • PRINCIPAL DISPLAY PANEL

    Zolpidem Tartrate Extended-Release Tablets USP, 12.5 mg

    Rx only

    NDC: 68788-7422

    Zolpidem Tartrate ER Tab 12.5mg

  • INGREDIENTS AND APPEARANCE
    ZOLPIDEM TARTRATE 
    zolpidem tartrate tablet, extended release
    Product Information
    Product TypeHUMAN PRESCRIPTION DRUGItem Code (Source)NDC: 68788-7422(NDC:68180-780)
    Route of AdministrationORALDEA ScheduleCIV    
    Active Ingredient/Active Moiety
    Ingredient NameBasis of StrengthStrength
    ZOLPIDEM TARTRATE (UNII: WY6W63843K) (ZOLPIDEM - UNII:7K383OQI23) ZOLPIDEM TARTRATE12.5 mg
    Product Characteristics
    ColorBLUEScoreno score
    ShapeROUNDSize8mm
    FlavorImprint Code LU;E62
    Contains    
    Packaging
    #Item CodePackage DescriptionMarketing Start DateMarketing End Date
    1NDC: 68788-7422-228 in 1 BOTTLE; Type 0: Not a Combination Product10/01/2019
    2NDC: 68788-7422-330 in 1 BOTTLE; Type 0: Not a Combination Product10/01/2019
    3NDC: 68788-7422-660 in 1 BOTTLE; Type 0: Not a Combination Product10/01/2019
    4NDC: 68788-7422-990 in 1 BOTTLE; Type 0: Not a Combination Product10/01/2019
    Marketing Information
    Marketing CategoryApplication Number or Monograph CitationMarketing Start DateMarketing End Date
    ANDAANDA07897004/11/2014
    Labeler - Preferred Pharmaceuticals, Inc.. (791119022)
    Registrant - Preferred Pharmaceuticals, Inc. (791119022)
    Establishment
    NameAddressID/FEIBusiness Operations
    Preferred Pharmaceuticals, Inc.791119022REPACK(68788-7422)

  • © 2026 FDA.report
    This site is not affiliated with or endorsed by the FDA.