ATROPINE SULFATE injection

Atropine Sulfate by

Drug Labeling and Warnings

Atropine Sulfate by is a Prescription medication manufactured, distributed, or labeled by A-S Medication Solutions. Drug facts, warnings, and ingredients follow.

Drug Details [pdf]

  • 1 INDICATIONS AND USAGE

    Atropine Sulfate Injection is indicated for temporary blockade of severe or life-threatening muscarinic effects, e.g., as an antisialagogue, an antivagal agent, an antidote for organophosphorus or muscarinic mushroom poisoning, and to treat bradyasystolic cardiac arrest.

  • 2 DOSAGE AND ADMINISTRATION

    2.1 General Administration

    Parenteral drug products should be inspected visually for particulate matter and discoloration prior to administration, whenever solution and container permit. Do not administer unless solution is clear and seal is intact. Each syringe is intended for single dose only. Discard unused portion.

    For intravenous administration.

    Titrate based on heart rate, PR interval, blood pressure and symptoms.

    2.2 Adult Dosage

    Table 1: Recommended Dosage
    UseDose (adults)Repeat
    Antisialagogue or other antivagal0.5 to 1 mg1–2 hours
    Organophosphorus or muscarinic mushroom poisoning2 to 3 mg20–30 minutes
    Bradyasystolic cardiac arrest1 mg3–5 minutes; 3 mg maximum total dose

    2.3 Pediatric Dosage

    Dosing in pediatric populations has not been well studied. Usual initial dose is 0.01 to 0.03 mg/kg.

    2.4 Dosing in Patients with Coronary Artery Disease

    Limit the total dose of atropine sulfate to 0.03 mg/kg to 0.04 mg/kg [see Warnings and Precautions (5.1)].

  • 3 DOSAGE FORMS AND STRENGTHS

    Injection: 0.1 mg/mL in Glass Syringe.

  • 4 CONTRAINDICATIONS

    None.

  • 5 WARNINGS AND PRECAUTIONS

    5.1 Tachycardia

    When the recurrent use of atropine is essential in patients with coronary artery disease, the total dose should be restricted to 2 to 3 mg (maximum 0.03 to 0.04 mg/kg) to avoid the detrimental effects of atropine-induced tachycardia on myocardial oxygen demand.

    5.2 Acute Glaucoma

    Atropine may precipitate acute glaucoma.

    5.3 Pyloric Obstruction

    Atropine may convert partial organic pyloric stenosis into complete obstruction.

    5.4 Complete Urinary Retention

    Atropine may lead to complete urinary retention in patients with prostatic hypertrophy.

    5.5 Viscid Plugs

    Atropine may cause inspissation of bronchial secretions and formation of viscid plugs in patients with chronic lung disease.

  • 6 ADVERSE REACTIONS

    The following adverse reactions have been identified during post-approval use of atropine sulfate. Because these reactions are reported voluntarily from a population of uncertain size, it is not always possible to reliably estimate their frequency or establish a causal relationship to drug exposure.

    Most of the side effects of atropine are directly related to its antimuscarinic action. Dryness of the mouth, blurred vision, photophobia and tachycardia commonly occur. Anhidrosis can produce heat intolerance. Constipation and difficulty in micturition may occur in elderly patients. Occasional hypersensitivity reactions have been observed, especially skin rashes which in some instances progressed to exfoliation.

  • 7 DRUG INTERACTIONS

    7.1 Mexiletine

    Atropine Sulfate Injection decreased the rate of mexiletine absorption without altering the relative oral bioavailability; this delay in mexiletine absorption was reversed by the combination of atropine and intravenous metoclopramide during pretreatment for anesthesia.

  • 8 USE IN SPECIFIC POPULATIONS

    8.1 Pregnancy

    Animal reproduction studies have not been conducted with atropine. It also is not known whether atropine can cause fetal harm when given to a pregnant woman or can affect reproduction capacity.

    8.3 Nursing Mothers

    Trace amounts of atropine was found in breast milk. The clinical impact of this is not known.

    8.4 Pediatric Use

    Recommendations for use in pediatric patients are not based on clinical trials.

    8.5 Geriatric Use

    An evaluation of current literature revealed no clinical experience identifying differences in response between elderly and younger patients. In general, dose selection for an elderly patient should be cautious, usually starting at the low end of the dosing range, reflecting the greater frequency of decreased hepatic, renal, or cardiac function, and of concomitant disease or other drug therapy.

  • 10 OVERDOSAGE

    Excessive dosing may cause palpitation, dilated pupils, difficulty in swallowing, hot dry skin, thirst, dizziness, restlessness, tremor, fatigue and ataxia. Toxic doses lead to restlessness and excitement, hallucinations, delirium and coma. Depression and circulatory collapse occur only with severe intoxication. In such cases, blood pressure declines and death due to respiratory failure may ensue following paralysis and coma.

    The fatal adult dose of atropine is not known. In pediatric populations, 10 mg or less may be fatal.

    In the event of toxic overdosage, a short acting barbiturate or diazepam may be given as needed to control marked excitement and convulsions. Large doses for sedation should be avoided because central depressant action may coincide with the depression occurring late in atropine poisoning. Central stimulants are not recommended.

    Physostigmine, given as an atropine antidote by slow intravenous injection of 1 to 4 mg (0.5 to 1 mg in pediatric populations), rapidly abolishes delirium and coma caused by large doses of atropine. Since physostigmine is rapidly destroyed, the patient may again lapse into coma after one to two hours, and repeated doses may be required.

    Artificial respiration with oxygen may be necessary. Ice bags and alcohol sponges help to reduce fever, especially in pediatric populations.

    Atropine is not removed by dialysis.

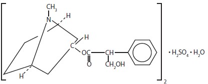
  • 11 DESCRIPTION

    Atropine Sulfate Injection, USP is a sterile, nonpyrogenic isotonic solution of atropine sulfate monohydrate in water for injection with sodium chloride sufficient to render the solution isotonic. It is administered parenterally by intravenous injection.

    Each milliliter (mL) contains 0.1 mg (adult strength) of atropine sulfate monohydrate equivalent to 0.083 mg (adult strength) of atropine, and sodium chloride, 9 mg. May contain sodium hydroxide and/or sulfuric acid for pH adjustment 0.308 mOsmol/mL (calc.). pH 3.0 to 6.5.

    Sodium chloride added to render the solution isotonic for injection of the active ingredient is present in amounts insufficient to affect serum electrolyte balance of sodium (Na+) and chloride (Cl-) ions.

    The solution contains no bacteriostat, antimicrobial agent or added buffer (except for pH adjustment) and is intended for use only as a single-dose injection. When smaller doses are required the unused portion should be discarded.

    Atropine Sulfate, USP is chemically designated 1α H, 5α H-Tropan-3-α-ol (±)-tropate (ester), sulfate (2:1) (salt) monohydrate, (C17H23NO3)2 ∙ H2SO4 ∙ H2O, colorless crystals or white crystalline powder very soluble in water. It has the following structural formula:

    structure1

    Atropine, a naturally occurring belladonna alkaloid, is a racemic mixture of equal parts of d- and 1-hyocyamine, whose activity is due almost entirely to the levo isomer of the drug.

    Sodium Chloride, USP is chemically designated NaCl, a white crystalline powder freely soluble in water.

  • 12 CLINICAL PHARMACOLOGY

    12.1 Mechanism of Action

    Atropine is an antimuscarinic agent since it antagonizes the muscarine-like actions of acetylcholine and other choline esters.

    Atropine inhibits the muscarinic actions of acetylcholine on structures innervated by postganglionic cholinergic nerves, and on smooth muscles which respond to endogenous acetylcholine but are not so innervated. As with other antimuscarinic agents, the major action of atropine is a competitive or surmountable antagonism which can be overcome by increasing the concentration of acetylcholine at receptor sites of the effector organ (e.g., by using anticholinesterase agents which inhibit the enzymatic destruction of acetylcholine). The receptors antagonized by atropine are the peripheral structures that are stimulated or inhibited by muscarine (i.e., exocrine glands and smooth and cardiac muscle). Responses to postganglionic cholinergic nerve stimulation also may be inhibited by atropine but this occurs less readily than with responses to injected (exogenous) choline esters.

    12.2 Pharmacodynamics

    Atropine-induced parasympathetic inhibition may be preceded by a transient phase of stimulation, especially on the heart where small doses first slow the rate before characteristic tachycardia develops due to paralysis of vagal control. Atropine exerts a more potent and prolonged effect on heart, intestine and bronchial muscle than scopolamine, but its action on the iris, ciliary body and certain secretory glands is weaker than that of scopolamine. Unlike the latter, atropine in clinical doses does not depress the central nervous system but may stimulate the medulla and higher cerebral centers. Although mild vagal excitation occurs, the increased respiratory rate and (sometimes) increased depth of respiration produced by atropine are more probably the result of bronchiolar dilatation. Accordingly, atropine is an unreliable respiratory stimulant and large or repeated doses may depress respiration.

    Adequate doses of atropine abolish various types of reflex vagal cardiac slowing or asystole. The drug also prevents or abolishes bradycardia or asystole produced by injection of choline esters, anticholinesterase agents or other parasympathomimetic drugs, and cardiac arrest produced by stimulation of the vagus. Atropine also may lessen the degree of partial heart block when vagal activity is an etiologic factor. In some patients with complete heart block, the idioventricular rate may be accelerated by atropine; in others, the rate is stabilized. Occasionally a large dose may cause atrioventricular (A-V) block and nodal rhythm.

    Atropine Sulfate Injection in clinical doses counteracts the peripheral dilatation and abrupt decrease in blood pressure produced by choline esters. However, when given by itself, atropine does not exert a striking or uniform effect on blood vessels or blood pressure. Systemic doses slightly raise systolic and lower diastolic pressures and can produce significant postural hypotension. Such doses also slightly increase cardiac output and decrease central venous pressure. Occasionally, therapeutic doses dilate cutaneous blood vessels, particularly in the “blush” area (atropine flush), and may cause atropine “fever” due to suppression of sweat gland activity in infants and small children.
    The effects of intravenous atropine on heart rate (maximum heart rate) and saliva flow (minimum flow) after intravenous administration (rapid, constant infusion over 3 min.) are delayed by 7 to 8 minutes after drug administration and both effects are non-linearly related to the amount of drug in the peripheral compartment. Changes in plasma atropine levels following intramuscular administration (0.5 to 4 mg doses) and heart rate are closely overlapped but the time course of the changes in atropine levels and behavioral impairment indicates that pharmacokinetics is not the primary rate-limiting mechanism for the central nervous system effect of atropine.

    12.3 Pharmacokinetics

    Atropine disappears rapidly from the blood following injection and is distributed throughout the body. Exercise, both prior to and immediately following intramuscular administration of atropine, significantly increases the absorption of atropine due to increased perfusion in the muscle and significantly decreases the clearance of atropine. The pharmacokinetics of atropine is nonlinear after intravenous administration of 0.5 to 4 mg. Atropine’s plasma protein binding is about 44% and saturable in the 2–20 μg/mL concentration range. Atropine readily crosses the placental barrier and enters the fetal circulation, but is not found in amniotic fluid. Much of the drug is destroyed by enzymatic hydrolysis, particularly in the liver; from 13 to 50% is excreted unchanged in the urine. Traces are found in various secretions, including milk. The major metabolites of atropine are noratropine, atropin-n-oxide, tropine, and tropic acid. The metabolism of atropine is inhibited by organophosphate pesticides.

    Specific Populations
    The elimination half-life of atropine is more than doubled in children under two years and the elderly (>65 years old) compared to other age groups. There is no gender effect on the pharmacokinetics and pharmacodynamics (heart rate changes) of atropine.

  • 13 NONCLINICAL TOXICOLOGY

    13.1 Carcinogenesis, Mutagenesis, Impairment of Fertility

    Studies have not been performed to evaluate the carcinogenic or mutagenic potential of atropine or its potential to affect fertility adversely.

  • 16 HOW SUPPLIED/STORAGE AND HANDLING

    Product: 50090-5924

    NDC: 50090-5924-0 1 mL in a CARTON / 10 in a PACKAGE

  • ATROPINE SULFATE

    Label Image
  • INGREDIENTS AND APPEARANCE
    ATROPINE SULFATE 
    atropine sulfate injection
    Product Information
    Product TypeHUMAN PRESCRIPTION DRUGItem Code (Source)NDC: 50090-5924(NDC:76329-3340)
    Route of AdministrationINTRAVENOUS
    Active Ingredient/Active Moiety
    Ingredient NameBasis of StrengthStrength
    ATROPINE SULFATE (UNII: 03J5ZE7KA5) (ATROPINE - UNII:7C0697DR9I) ATROPINE SULFATE0.1 mg  in 1 mL
    Inactive Ingredients
    Ingredient NameStrength
    SODIUM CHLORIDE (UNII: 451W47IQ8X)  
    SODIUM HYDROXIDE (UNII: 55X04QC32I)  
    SULFURIC ACID (UNII: O40UQP6WCF)  
    Packaging
    #Item CodePackage DescriptionMarketing Start DateMarketing End Date
    1NDC: 50090-5924-010 in 1 PACKAGE02/23/2022
    11 mL in 1 CARTON; Type 2: Prefilled Drug Delivery Device/System (syringe, patch, etc.)
    Marketing Information
    Marketing CategoryApplication Number or Monograph CitationMarketing Start DateMarketing End Date
    ANDAANDA21246102/17/2021
    Labeler - A-S Medication Solutions (830016429)
    Establishment
    NameAddressID/FEIBusiness Operations
    A-S Medication Solutions830016429RELABEL(50090-5924)

  • © 2026 FDA.report
    This site is not affiliated with or endorsed by the FDA.