TAPENTADOL by is a Prescription medication manufactured, distributed, or labeled by Hikma Pharmaceuticals USA Inc., Collegium Pharmaceutical, Inc.. Drug facts, warnings, and ingredients follow.
Tapentadol tablets are an opioid analgesic indicated for the management of acute pain severe enough to require an opioid analgesic and for which alternative treatments are inadequate in adults and pediatric patients aged 6 years and older with a body weight of at least 40 kg. (1)
Limitations of Use (1)
Because of the risks of addiction, abuse, and misuse with opioids, which can occur at any dosage or duration (5.1), reserve tapentadol tablets for use in patients for whom alternative treatment options (e.g., non-opioid analgesics or opioid combination products):
Tapentadol tablets should not be used for an extended period of time unless the pain remains severe enough to require an opioid analgesic and for which alternative treatment options continue to be inadequate.
Tablets: 50 mg, 75 mg, 100 mg (3)
The most common adverse reactions were
To report SUSPECTED ADVERSE REACTIONS, contact Hikma Pharmaceuticals USA Inc. at 1-800-962-8364 or FDA at 1-800-FDA-1088 or www.fda.gov/medwatch
See 17 for PATIENT COUNSELING INFORMATION and Medication Guide.
Revised: 12/2023
Addiction, Abuse, and Misuse
Because the use of tapentadol tablets exposes patients and other users to the risks of opioid addiction, abuse, and misuse, which can lead to overdose and death, assess each patient's risk prior to prescribing and reassess all patients regularly for the development of these behaviors and conditions [see Warnings and Precautions (5.1)].
Life-Threatening Respiratory Depression
Serious, life-threatening, or fatal respiratory depression may occur with use of tapentadol tablets, especially during initiation or following a dosage increase. To reduce the risk of respiratory depression, proper dosing and titration of tapentadol tablets are essential [see Warnings and Precautions (5.2)].
Accidental Ingestion
Accidental ingestion of even one dose of tapentadol tablets, especially by children, can result in a fatal overdose of tapentadol [see Warnings and Precautions (5.2)].
Risks From Concomitant Use With Benzodiazepines Or Other CNS Depressants
Concomitant use of opioids with benzodiazepines or other central nervous system (CNS) depressants, including alcohol, may result in profound sedation, respiratory depression, coma, and death. Reserve concomitant prescribing of tapentadol tablets and benzodiazepines or other CNS depressants for use in patients for whom alternative treatment options are inadequate [see Warnings and Precautions (5.3), Drug Interactions (7)].
Neonatal Opioid Withdrawal Syndrome (NOWS)
If opioid use is required for an extended period of time in a pregnant woman, advise the patient of the risk of NOWS, which may be life-threatening if not recognized and treated. Ensure that management by neonatology experts will be available at delivery [see Warnings and Precautions (5.4)].
Opioid Analgesic Risk Evaluation and Mitigation Strategy (REMS)
Healthcare providers are strongly encouraged to complete a REMS-compliant education program and to counsel patients and caregivers on serious risks, safe use, and the importance of reading the Medication Guide with each prescription [see Warnings and Precautions (5.5)].
Tapentadol tablets are indicated for the management of acute pain severe enough to require an opioid analgesic and for which alternative treatments are inadequate in adults and pediatric patients aged 6 years and older with a body weight of at least 40kg.
Limitations of Use
Because of the risks of addiction, abuse, and misuse with opioids, which can occur at any dose or duration [see Warnings and Precautions (5.1)], reserve tapentadol tablets for use in patients for whom alternative treatment options [e.g., non-opioid analgesics or opioid combination products]:
Tapentadol tablets should not be used for an extended period of time unless the pain remains severe enough to require an opioid analgesic and for which alternative treatment options continue to be inadequate.
Discuss the availability of naloxone for the emergency treatment of opioid overdose with the patient and caregiver and assess the potential need for access to naloxone, both when initiating and renewing treatment with tapentadol tablets [see Warnings and Precautions (5.3)].
Inform patients and caregivers about the various ways to obtain naloxone as permitted by individual state naloxone dispensing and prescribing requirements or guidelines (e.g., by prescription, directly from a pharmacist, or as part of a community-based program).
Consider prescribing naloxone, based on the patient's risk factors for overdose, such as concomitant use of CNS depressants, a history of opioid use disorder, or prior opioid overdose. The presence of risk factors for overdose should not prevent the proper management of pain in any given patient [see Warnings and Precautions (5.1, 5.2, 5.3)].
Consider prescribing naloxone if the patient has household members (including children) or other close contacts at risk for accidental ingestion or overdose.
Initiating Treatment with tapentadol Tablets
Initiate treatment with tapentadol tablets in a dosing range of 50 mg to 100 mg every 4 to 6 hours as needed for pain, and at the lowest dose necessary to achieve adequate analgesia. Titrate the dose based upon the individual patient's response to their initial dose of tapentadol tablets.
On the first day of dosing, the second dose may be administered as soon as one hour after the first dose, if adequate pain relief is not attained with the first dose. Subsequent dosing is 50 mg, 75 mg, or 100 mg every 4 to 6 hours and should be adjusted to maintain adequate analgesia with acceptable tolerability.
Daily doses greater than 700 mg on the first day of therapy and 600 mg on subsequent days have not been studied and are not recommended.
tapentadol tablets may be given with or without food [see Clinical Pharmacology (12.3)].
Conversion from tapentadol Tablets to tapentadol ER
Patients can be converted from tapentadol tablets to tapentadol ER using the equivalent total daily dose of tapentadol tablets and dividing it into two equal doses of tapentadol ER separated by approximately 12-hour intervals. As an example, a patient receiving 50 mg of tapentadol tablets four times per day (200 mg/day) may be converted to 100 mg tapentadol ER twice a day. Conversion to tapentadol ER may lead to increased risk of excessive sedation and respiratory depression.
Pediatric patients who are at least 6 years old, weigh at least 40 kg, and are able to swallow oral tablets:
For patients weighing 40 to 59 kg, administer 50 mg every 4 hours. Do not exceed a maximum single dose of 50 mg. If adequate analgesia is not achieved with a 50 mg tapentadol tablet every 4 hours, do not increase to a 75 mg tapentadol tablet. Instead consider use of another tapentadol product that allows for more flexible dosing, such as tapentadol oral solution.
For patients weighing 60 to 79 kg, initiate treatment with 50 mg every 4 hours. Increase the dose if needed to 75 mg every 4 hours to maintain adequate analgesia with acceptable tolerability. Do not exceed a maximum single dose of 75 mg. If adequate analgesia is not achieved with a 75 mg tapentadol tablet every 4 hours, do not increase to a 100 mg tapentadol tablet. Instead consider use of another tapentadol product that allows for more flexible dosing, such as tapentadol oral solution.
For patients weighing greater than or equal to 80 kg, initiate treatment with 50 mg every 4 hours. Increase the dose if needed to 75 mg every 4 hours to maintain adequate analgesia with acceptable tolerability. If adequate pain relief is not attained with a 75 mg tapentadol tablet every 4 hours, increase the dose to 100 mg every 4 hours to maintain adequate analgesia with acceptable tolerability. Do not exceed a maximum single dose of 100 mg.
The maximum daily dose is 7.5 mg/kg/day (i.e., six 1.25 mg/kg doses over 24 hours).
Daily doses greater than 600 mg have not been studied in pediatric patients and are not recommended.
In pediatric patients with high body mass index (BMI), the maximum daily dose must not exceed the calculated maximum dose for a body weight at the 97th percentile for a given age.
The efficacy and safety of tapentadol tablets at doses higher than 1.25 mg/kg body weight (maximum single dose of 100 mg) have not been studied; therefore, the use of tapentadol tablets at doses higher than 1.25 mg/kg body weight is not recommended [see Clinical Studies (14.2)].
Dose reductions may be considered over time as acute pain decreases.
Tapentadol tablets are not recommended for use in pediatric patients who weigh less than 40 kg as the recommended dose cannot be achieved with available tablet strengths. Consider use of another tapentadol product, such as tapentadol oral solution, in patients who cannot swallow oral tablets or who weigh less than 40 kg [see Pediatric Use (8.4)].
Duration of Treatment
Tapentadol tablets are intended for the management of acute pain severe enough to require an opioid analgesic and for which alternative treatments are inadequate. As with all symptomatic treatments, the continued use of tapentadol must be evaluated on an ongoing basis. In pediatric patients, the duration of treatment should not exceed 3 days as the safety and effectiveness of longer treatment have not been established.
Hepatic or Renal Impairment
Tapentadol tablets have not been studied in pediatric patients with hepatic or renal impairment; therefore, use in these populations is not recommended [see Pediatric Use (8.4)].
The safety and efficacy of tapentadol tablets have not been studied in patients with severe hepatic impairment (Child-Pugh Score 10-15) and use in this population is not recommended [see Warnings and Precautions (5.17)].
Initiate treatment of patients with moderate hepatic impairment (Child-Pugh Score 7 to 9) with 50 mg no more frequently than once every 8 hours (maximum of three doses in 24 hours). Further treatment should reflect maintenance of analgesia with acceptable tolerability, to be achieved by either shortening or lengthening the dosing interval. Regularly evaluate patients for respiratory and central nervous system depression [see Clinical Pharmacology (12.3)].
No dosage adjustment is recommended in patients with mild hepatic impairment (Child-Pugh Score 5 to 6) [see Clinical Pharmacology (12.3)].
Individually titrate tapentadol tablets to a dose that provides adequate analgesia and minimizes adverse reactions. Continually reevaluate patients receiving tapentadol tablets to assess the maintenance of pain control, signs and symptoms of opioid withdrawal, and other adverse reactions, as well as reassess for the development of addiction, abuse, or misuse [see Warnings and Precautions (5.1, 5.14)]. Frequent communication is important among the prescriber, other members of the healthcare team, the patient, and the caregiver/family during periods of changing analgesic requirements, including initial titration.
If the level of pain increases after dosage stabilization, attempt to identify the source of increased pain before increasing the tapentadol tablets dosage. If after increase the dosage, unacceptable opioid-related adverse reactions are observed (including an increase in pain after a dosage increase), consider reducing the dosage. Adjust the dosage to obtain an appropriate balance between management of pain and opioid-related adverse reactions.
Do not abruptly discontinue tapentadol tablets in patients who may be physically dependent on opioids. Rapid discontinuation of opioid analgesics in patients who are physically dependent on opioids has resulted in serious withdrawal symptoms, uncontrolled pain, and suicide. Rapid discontinuation has also been associated with attempts to find other sources of opioid analgesics, which may be confused with drug-seeking for abuse. Patients may also attempt to treat their pain or withdrawal symptoms with illicit opioids, such as heroin, and other substances.
When a decision has been made to decrease the dose or discontinue therapy in an opioid- dependent patient taking tapentadol tablets, there are a variety of factors that should be considered, including the total daily dose of opioid (including tapentadol tablets) the patient has been taking, the duration of treatment, the type of pain being treated, and the physical and psychological attributes of the patient. It is important to ensure ongoing care of the patient and to agree on an appropriate tapering schedule and follow-up plan so that patient and provider goals and expectations are clear and realistic. When opioid analgesics are being discontinued due to a suspected substance use disorder, evaluate and treat the patient, or refer for evaluation and treatment of the substance use disorder. Treatment should include evidence-based approaches, such as medication assisted treatment of opioid use disorder. Complex patients with co-morbid pain and substance use disorders may benefit from referral to a specialist.
There are no standard opioid tapering schedules that are suitable for all patients. Good clinical practice dictates a patient-specific plan to taper the dose of the opioid gradually. For patients on tapentadol tablets who are physically opioid-dependent, initiate the taper by a small enough increment (e.g., no greater than 10% to 25% of the total daily dose) to avoid withdrawal symptoms, and proceed with dose-lowering at an interval of every 2 to 4 weeks. Patients who have been taking opioids for briefer periods of time may tolerate a more rapid taper.
It may be necessary to provide the patient with lower dosage strengths to accomplish a successful taper. Reassess the patient frequently to manage pain and withdrawal symptoms, should they emerge. Common withdrawal symptoms include restlessness, lacrimation, rhinorrhea, yawning, perspiration, chills, myalgia, and mydriasis. Other signs and symptoms also may develop, including irritability, anxiety, backache, joint pain, weakness, abdominal cramps, insomnia, nausea, anorexia, vomiting, diarrhea, or increased blood pressure, respiratory rate, or heart rate. If withdrawal symptoms arise, it may be necessary to pause the taper for a period of time or raise the dose of the opioid analgesic to the previous dose, and then proceed with a slower taper. In addition, evaluate patients for any changes in mood, emergence of suicidal thoughts, or use of other substances.
When managing patients taking opioid analgesics, particularly those who have been treated for an extended period of time and/or with high doses for chronic pain, ensure that a multimodal approach to pain management, including mental health support (if needed), is in place prior to initiating an opioid analgesic taper. A multimodal approach to pain management may optimize the treatment of chronic pain, as well as assist with the successful tapering of the opioid analgesic [see Warnings and Precautions (5.14), Drug Abuse and Dependence (9.3)].
Tablets: 50 mg, 75 mg, 100 mg.
50 mg: round, biconvex and film-coated yellow tablets with "O-M" on one side and "50" on the other side.
75 mg: round, biconvex and film-coated yellow-orange tablets with "O-M" on one side and "75" on the other side.
100 mg: round, biconvex and film-coated orange tablets with "O-M" on one side and "100" on the other side.
Tapentadol tablets are contraindicated in patients with:
Tapentadol tablets contain tapentadol, a Schedule II controlled substance. As an opioid, tapentadol tablets exposes users to the risks of addiction, abuse, and misuse [see Drug Abuse and Dependence (9)].
Although the risk of addiction in any individual is unknown, it can occur in patients appropriately prescribed tapentadol tablets. Addiction can occur at recommended dosages and if the drug is misused or abused.
Assess each patient's risk for opioid addiction, abuse, or misuse prior to prescribing tapentadol tablets and reassess all patients receiving tapentadol tablets for the development of these behaviors and conditions. Risks are increased in patients with a personal or family history of substance abuse (including drug or alcohol abuse or addiction) or mental illness (e.g., major depression). The potential for these risks should not, however, prevent the proper management of pain in any given patient. Patients at increased risk may be prescribed opioids such as tapentadol tablets but use in such patients necessitates intensive counseling about the risks and proper use of tapentadol tablets along with frequent reevaluation for signs of addiction, abuse, and misuse. Consider prescribing naloxone for the emergency treatment of opioid overdose [see Dosage and Administration (2.2), Warnings and Precautions (5.2)].
Opioids are sought for nonmedical use and are subject to diversion from legitimate prescribed use. Consider these risks when prescribing or dispensing tapentadol tablets. Strategies to reduce these risks include prescribing the drug in the smallest appropriate quantity and advising the patient on careful storage of the drug during the course of treatment and on the proper disposal of unused drug. Contact local state professional licensing board or state-controlled substances authority for information on how to prevent and detect abuse or diversion of this product.
Serious, life-threatening, or fatal respiratory depression has been reported with the use of opioids, even when used as recommended. Respiratory depression, if not immediately recognized and treated, may lead to respiratory arrest and death. Management of respiratory depression may include close observation, supportive measures, and use of opioid antagonists, depending on the patient's clinical status [see Overdosage (10)]. Carbon dioxide (CO2) retention from opioid-induced respiratory depression can exacerbate the sedating effects of opioids.
While serious, life-threatening, or fatal respiratory depression can occur at any time during the use of tapentadol tablets, the risk is greatest during the initiation of therapy or following a dosage increase.
To reduce the risk of respiratory depression, proper dosing and titration of tapentadol tablets are essential [see Dosage and Administration (2.3)]. Overestimating the tapentadol tablets dosage when converting patients from another opioid product can result in a fatal overdose with the first dose.
Accidental ingestion of even one dose of tapentadol tablets, especially by children, can result in respiratory depression and death due to an overdose of tapentadol.
Educate patients and caregivers on how to recognize respiratory depression and emphasize the importance of calling 911 or getting emergency medical help right away in the event of a known or suspected overdose.
Opioids can cause sleep-related breathing disorders including central sleep apnea (CSA) and sleep-related hypoxemia. Opioid use increases the risk of CSA in a dose-dependent fashion. In patients who present with CSA, consider decreasing the opioid dosage using best practices for opioid taper [see Dosage and Administration (2.6)].
Patient Access to Naloxone for the Emergency Treatment of Opioid Overdose
Discuss the availability of naloxone for the emergency treatment of opioid overdose with the patient and caregiver and assess the potential need for access to naloxone, both when initiating and renewing treatment with tapentadol tablets. Inform patients and caregivers about the various ways to obtain naloxone as permitted by individual state naloxone dispensing and prescribing requirements or guidelines (e.g., by prescription, directly from a pharmacist, or as part of a community-based program). Educate patients and caregivers on how to recognize respiratory depression and emphasize the importance of calling 911 or getting emergency medical help, even if naloxone is administered.
Consider prescribing naloxone, based on the patient's risk factors for overdose, such as concomitant use of CNS depressants, a history of opioid use disorder, or prior opioid overdose. The presence of risk factors for overdose should not prevent the proper management of pain in any given patient. Also consider prescribing naloxone if the patient has household members (including children) or other close contacts at risk for accidental ingestion or overdose. If naloxone is prescribed, educate patients and caregivers on how to treat with naloxone. [see Dosage and Administration (2.2), Warnings and Precautions (5.1, 5.3), Overdosage (10)].
Profound sedation, respiratory depression, coma, and death may result from the concomitant use of tapentadol tablets with benzodiazepines and/or other CNS depressants, including alcohol (e.g., non-benzodiazepine sedatives/hypnotics, anxiolytics, tranquilizers, muscle relaxants, general anesthetics, antipsychotics, other opioids). Because of these risks, reserve concomitant prescribing of these drugs for use in patients for whom alternative treatment options are inadequate.
Observational studies have demonstrated that concomitant use of opioid analgesics and benzodiazepines increases the risk of drug-related mortality compared to use of opioid analgesics alone. Because of similar pharmacological properties, it is reasonable to expect similar risk with the concomitant use of other CNS depressant drugs with opioid analgesics [see Drug Interactions (7)].
If the decision is made to prescribe a benzodiazepine or other CNS depressant concomitantly with an opioid analgesic, prescribe the lowest effective dosages and minimum durations of concomitant use. In patients already receiving an opioid analgesic, prescribe a lower initial dose of the benzodiazepine or other CNS depressant than indicated in the absence of an opioid, and titrate based on clinical response. If an opioid analgesic is initiated in a patient already taking a benzodiazepine or other CNS depressant, prescribe a lower initial dose of the opioid analgesic, and titrate based on clinical response. Inform patients and caregivers of this potential interaction and educate them on the signs and symptoms of respiratory depression (including sedation).
If concomitant use is warranted, consider prescribing naloxone for the emergency treatment of opioid overdose [see Dosage and Administration (2.2), Warnings and Precautions (5.2), Overdosage (10)].
Advise both patients and caregivers about the risks of respiratory depression and sedation when tapentadol tablets are used with benzodiazepines or other CNS depressants (including alcohol and illicit drugs). Advise patients not to drive or operate heavy machinery until the effects of concomitant use of the benzodiazepine or other CNS depressant have been determined. Screen patients for risk of substance use disorders, including opioid abuse and misuse, and warn them of the risk for overdose and death associated with the use of additional CNS depressants including alcohol and illicit drugs [see Drug Interactions (7)].
Use of tapentadol tablets for an extended period of time during pregnancy can result in withdrawal in the neonate. Neonatal opioid withdrawal syndrome, unlike opioid withdrawal syndrome in adults, may be life-threatening if not recognized and treated, and requires management according to protocols developed by neonatology experts. Observe newborns for signs of neonatal opioid withdrawal syndrome and manage accordingly. Advise pregnant women using opioids for an extended period of time of the risk of neonatal opioid withdrawal syndrome and ensure that appropriate treatment will be available [see Use in Specific Populations (8.1)].
To ensure that the benefits of opioid analgesics outweigh the risks of addiction, abuse, and misuse, the Food and Drug Administration (FDA) has required a Risk Evaluation and Mitigation Strategy (REMS) for these products. Under the requirements of the REMS, drug companies with approved opioid analgesic products must make REMS-compliant education programs available to healthcare providers. Healthcare providers are strongly encouraged to do all of the following:
To obtain further information on the opioid analgesic REMS and for a list of accredited REMS CME/CE, call 1-800-503-0784, or log on to www.opioidanalgesicrems.com. The FDA Blueprint can be found at www.fda.gov/OpioidAnalgesicREMSBlueprint.
Opioid-Induced Hyperalgesia (OIH) occurs when an opioid analgesic paradoxically causes an increase in pain, or an increase in sensitivity to pain. This condition differs from tolerance, which is the need for increasing doses of opioids to maintain a defined effect [see Dependence (9.3)]. Symptoms of OIH include (but may not be limited to) increased levels of pain upon opioid dosage increase, decreased levels of pain upon opioid dosage decrease, or pain from ordinarily non-painful stimuli (allodynia). These symptoms may suggest OIH only if there is no evidence of underlying disease progression, opioid tolerance, opioid withdrawal, or addictive behavior.
Cases of OIH have been reported, both with short-term and longer-term use of opioid analgesics. Though the mechanism of OIH is not fully understood, multiple biochemical pathways have been implicated. Medical literature suggests a strong biologic plausibility between opioid analgesics and OIH and allodynia. If a patient is suspected to be experiencing OIH, carefully consider appropriately decreasing the dose of the current opioid analgesic or opioid rotation (safely switching the patient to a different opioid moiety) [see Dosage and Administration (2.7); Warnings and Precautions (5.13)].
Cases of serotonin syndrome, a potentially life-threatening condition, have been reported during concomitant use of tapentadol with serotonergic drugs. Serotonergic drugs include selective serotonin reuptake inhibitors (SSRIs), serotonin and norepinephrine reuptake inhibitors (SNRIs), tricyclic antidepressants (TCAs), triptans, 5-HT3 receptor antagonists, drugs that affect the serotonergic neurotransmitter system (e.g., mirtazapine, trazodone, tramadol), certain muscle relaxants (i.e., cyclobenzaprine, metaxalone), and drugs that impair metabolism of serotonin (including monoamine oxidase inhibitors, both those intended to treat psychiatric disorders and also others, such as linezolid and intravenous methylene blue) [see Drug Interactions (7)]. This may occur within the recommended dosage range.
Serotonin syndrome symptoms may include mental-status changes (e.g., agitation, hallucinations, coma), autonomic instability (e.g., tachycardia, labile blood pressure, hyperthermia), neuromuscular aberrations (e.g., hyperreflexia, incoordination) and/or gastrointestinal symptoms (e.g., nausea, vomiting, diarrhea) and can be fatal. The onset of symptoms generally occurs within several hours to a few days of concomitant use but may occur later than that. Discontinue tapentadol tablets if serotonin syndrome is suspected.
The use of tapentadol tablets in patients with acute or severe bronchial asthma in an unmonitored setting or in the absence of resuscitative equipment is contraindicated.
Patients with Chronic Pulmonary Disease: tapentadol tablets-treated patients with significant chronic obstructive pulmonary disease or cor pulmonale, and those with a substantially decreased respiratory reserve, hypoxia, hypercapnia, or pre-existing respiratory depression are at increased risk of decreased respiratory drive including apnea, even at recommended dosages of tapentadol tablets [see Warnings and Precautions (5.2)].
Elderly, Cachectic, or Debilitated Patients: Life-threatening respiratory depression is more likely to occur in elderly, cachectic, or debilitated patients because they may have altered pharmacokinetics or altered clearance compared to younger, healthier patients [see Warnings and Precautions (5.2)].
Regularly evaluate such patients closely, particularly when initiating and titrating tapentadol tablets and when tapentadol tablets are given concomitantly with other drugs that depress respiration [see Warnings and Precautions (5.2, 5.3), Drug Interactions (7)]. Alternatively, consider the use of non-opioid analgesics in these patients.
Cases of adrenal insufficiency have been reported with opioid use, more often following greater than one month of use. Presentation of adrenal insufficiency may include non-specific symptoms and signs including nausea, vomiting, anorexia, fatigue, weakness, dizziness, and low blood pressure. If adrenal insufficiency is suspected, confirm the diagnosis with diagnostic testing as soon as possible. If adrenal insufficiency is diagnosed, treat with physiologic replacement doses of corticosteroids. Wean the patient off of the opioid to allow adrenal function to recover and continue corticosteroid treatment until adrenal function recovers. Other opioids may be tried as some cases reported use of a different opioid without recurrence of adrenal insufficiency. The information available does not identify any particular opioids as being more likely to be associated with adrenal insufficiency.
Tapentadol tablets may cause severe hypotension including orthostatic hypotension and syncope in ambulatory patients. There is increased risk in patients whose ability to maintain blood pressure has already been compromised by a reduced blood volume or concurrent administration of certain CNS depressant drugs (e.g., phenothiazines or general anesthetics) [see Drug Interactions (7)]. Regularly evaluate these patients for signs of hypotension after initiating or titrating the dosage of tapentadol tablets. In patients with circulatory shock, tapentadol tablets may cause vasodilation that can further reduce cardiac output and blood pressure. Avoid the use of tapentadol tablets in patients with circulatory shock.
In patients who may be susceptible to the intracranial effects of CO2 retention (e.g., those with evidence of increased intracranial pressure or brain tumors), tapentadol tablets may reduce respiratory drive, and the resultant CO2 retention can further increase intracranial pressure. Monitor such patients for signs of sedation and respiratory depression, particularly when initiating therapy with tapentadol tablets.
Opioids may also obscure the clinical course in a patient with a head injury. Avoid the use of tapentadol tablets in patients with impaired consciousness or coma.
Tapentadol tablets are contraindicated in patients with known or suspected gastrointestinal obstruction, including paralytic ileus.
The tapentadol in tapentadol tablets may cause spasm of the sphincter of Oddi. Opioids may cause increases in serum amylase. Regularly evaluate patients with biliary tract disease, including acute pancreatitis for worsening symptoms.
The tapentadol in tapentadol tablets may increase the frequency of seizures in patients with seizure disorders, and may increase the risk of seizures occurring in other clinical settings associated with seizures. Regularly evaluate patients with a history of seizure disorders for worsened seizure control during tapentadol tablets therapy.
Do not abruptly discontinue tapentadol tablets in a patient physically dependent on opioids. When discontinuing tapentadol tablets in a physically dependent patient, gradually taper the dosage. Rapid tapering of tapentadol in a patient physically dependent on opioids may lead to a withdrawal syndrome and return of pain [see Dosage and Administration (2.7), Drug Abuse and Dependence (9.3)].
Additionally, avoid the use of mixed agonist/antagonist (e.g., pentazocine, nalbuphine, and butorphanol) or partial agonist (e.g., buprenorphine) analgesics in patients who are receiving a full opioid agonist analgesic, including tapentadol tablets. In these patients, mixed agonist/antagonist and partial agonist analgesics may reduce the analgesic effect and/or precipitate withdrawal symptoms [see Drug Interactions (7)].
Tapentadol tablets may impair the mental or physical abilities needed to perform potentially hazardous activities such as driving a car or operating machinery. Warn patients not to drive or operate dangerous machinery unless they are tolerant to the effects of tapentadol tablets and know how they will react to the medication.
Due to its mu-opioid agonist activity, tapentadol tablets may be expected to have additive effects when used in conjunction with alcohol, other opioids, or illicit drugs that cause central nervous system depression, respiratory depression, hypotension, and profound sedation, coma or death [see Drug Interactions (7)]. Instruct patients not to consume alcoholic beverages or use prescription or non-prescription products containing alcohol, other opioids, or drugs of abuse while on tapentadol tablets therapy [see Drug Interactions (7)].
A study with tapentadol tablets in subjects with hepatic impairment showed higher serum concentrations of tapentadol than in those with normal hepatic function. Avoid use of tapentadol tablets in patients with severe hepatic impairment. Reduce the dose of tapentadol tablets in patients with moderate hepatic impairment [see Dosage and Administration (2.4) and Clinical Pharmacology (12.3)]. Regularly evaluate patients with moderate hepatic impairment for respiratory and central nervous system depression when receiving tapentadol tablets.
Use of tapentadol tablets in patients with severe renal impairment is not recommended due to accumulation of a metabolite formed by glucuronidation of tapentadol. The clinical relevance of the elevated metabolite is not known [see Clinical Pharmacology (12.3)].
The following adverse reactions are discussed, or described in greater detail, in other sections:
Adults
Because clinical trials are conducted under widely varying conditions, adverse reaction rates observed in the clinical trials of a drug cannot be directly compared to rates in the clinical trials of another drug and may not reflect the rates observed in practice.
Based on data from nine Phase 2/3 studies that administered multiple doses (seven placebo- and/or active-controlled, one noncontrolled and one Phase 3 active-controlled safety study) the most common adverse reactions (reported by ≥10% in any tapentadol tablets dose group) were: nausea, dizziness, vomiting and somnolence.
The most common reasons for discontinuation due to adverse reactions in the studies described above (reported by ≥1% in any tapentadol tablets dose group) were dizziness (2.6% vs. 0.5%), nausea (2.3% vs. 0.6%), vomiting (1.4% vs. 0.2%), somnolence (1.3% vs. 0.2%) and headache (0.9% vs. 0.2%) for tapentadol- and placebo-treated patients, respectively.
Seventy-six percent of tapentadol-treated patients from the nine studies experienced adverse events.
tapentadol tablets were studied in multiple-dose, active- or placebo-controlled studies, or noncontrolled studies (n = 2178), in single-dose studies (n = 870), in open-label study extension (n = 483) and in Phase 1 studies (n = 597). Of these, 2034 patients were treated with doses of 50 mg to 100 mg of tapentadol tablets dosed every 4 to 6 hours.
The data described below reflect exposure to tapentadol tablets in 3161 patients, including 449 exposed for 45 days. tapentadol tablets were studied primarily in placebo- and active-controlled studies (n = 2266, and n = 2944, respectively). The population was 18 to 85 years old (mean age 46 years), 68% were female, 75% white and 67% were postoperative. Most patients received tapentadol tablets doses of 50 mg, 75 mg, or 100 mg every 4 to 6 hours.
| System/Organ Class MedDRA Preferred Term | tapentadol 21 mg – 120 mg (n = 2178) % | Placebo (n = 619) % |
|---|---|---|
| Gastrointestinal disorders | ||
| Nausea | 30 | 13 |
| Vomiting | 18 | 4 |
| Constipation | 8 | 3 |
| Dry mouth | 4 | <1 |
| Dyspepsia | 2 | <1 |
| General disorders and administration site conditions | ||
| Fatigue | 3 | <1 |
| Feeling hot | 1 | <1 |
| Infections and infestations | ||
| Nasopharyngitis | 1 | <1 |
| Upper respiratory tract infection | 1 | <1 |
| Urinary tract infection | 1 | <1 |
| Metabolism and nutrition disorders | ||
| Decreased appetite | 2 | 0 |
| Nervous system disorders | ||
| Dizziness | 24 | 8 |
| Somnolence | 15 | 3 |
| Tremor | 1 | <1 |
| Lethargy | 1 | <1 |
| Psychiatric disorders | ||
| Insomnia | 2 | <1 |
| Confusional state | 1 | 0 |
| Abnormal dreams | 1 | <1 |
| Anxiety | 1 | <1 |
| Skin and subcutaneous tissue disorders | ||
| Pruritus | 5 | 1 |
| Hyperhidrosis | 3 | <1 |
| Pruritus generalized | 3 | <1 |
| Rash | 1 | <1 |
| Vascular disorders | ||
| Hot flush | 1 | <1 |
The following adverse drug reactions occurred in less than 1% of tapentadol-treated patients in the pooled safety data from nine Phase 2/3 clinical studies:
Cardiac disorders: heart rate increased, heart rate decreased
Eye disorders: visual disturbance
Gastrointestinal disorders: abdominal discomfort, impaired gastric emptying
General disorders and administration site conditions: irritability, edema, drug withdrawal syndrome, feeling drunk
Immune system disorders: hypersensitivity
Investigations: gamma-glutamyltransferase increased, alanine aminotransferase increased, aspartate aminotransferase increased
Musculoskeletal and connective tissue disorders: involuntary muscle contractions, sensation of heaviness
Nervous system disorders: hypoesthesia, paresthesia, disturbance in attention, sedation, dysarthria, depressed level of consciousness, memory impairment, ataxia, presyncope, syncope, coordination abnormal, seizure
Psychiatric disorders: euphoric mood, disorientation, restlessness, agitation, nervousness, thinking abnormal
Renal and urinary disorders: urinary hesitation, pollakiuria
Respiratory, thoracic and mediastinal disorders: oxygen saturation decreased, cough, dyspnea, respiratory depression
Skin and subcutaneous tissue disorders: urticaria
Vascular disorders: blood pressure decreased
In the pooled safety data, the overall incidence of adverse reactions increased with increased dose of tapentadol tablets, as did the percentage of patients with adverse reactions of nausea, dizziness, vomiting, somnolence, and pruritus.
Clinical Trial Experience in Pediatric Patients from Birth to 17 Years of Age
The safety of tapentadol tablets is based on studies using tapentadol oral solution. The safety of tapentadol oral solution was evaluated in 248 pediatric patients, birth to 17 years of age. One hundred twenty-nine (129) patients with moderate to severe acute pain from a surgical procedure were treated with a single dose of tapentadol oral solution. One hundred nineteen (119) patients who had undergone surgery that, in the investigator's opinion, would reliably produce moderate to severe pain requiring opioid treatment were treated with multiple doses of tapentadol oral solution. The most common reasons for discontinuation from treatment due to adverse reactions in the multiple dose study were nausea (1.9%), somnolence (1.9%) and vomiting (1.3%). The most common adverse reactions in patients 6 years and older in the multiple-dose study were vomiting (24.7%), constipation (16.5%), nausea (10.6%), pruritus (9.4%), and pyrexia (5.9%).
The following additional adverse reactions have been identified during post approval use of tapentadol. Because these reactions are reported voluntarily from a population of uncertain size, it is not always possible to reliably estimate their frequency or establish a causal relationship to drug exposure.
Gastrointestinal disorders: diarrhea
Nervous system disorders: headache
Psychiatric disorders: hallucination, suicidal ideation, panic attack
Cardiac disorders: palpitations
Serotonin syndrome: Cases of serotonin syndrome, a potentially life-threatening condition, have been reported during concomitant use of opioids with serotonergic drugs.
Adrenal insufficiency: Cases of adrenal insufficiency have been reported with opioid use, more often following greater than one month of use.
Anaphylaxis: Anaphylaxis has been reported with ingredients contained in tapentadol tablets.
Androgen deficiency: Cases of androgen deficiency have occurred with chronic use of opioids for an extended period of time [see Clinical Pharmacology (12.2)].
Hyperalgesia and Allodynia: Cases of hyperalgesia and allodynia have been reported with opioid therapy of any duration [see Warnings and Precautions (5.5)]
Hypoglycemia: Cases of hypoglycemia have been reported in patients taking opioids. Most reports were in patients with at least one predisposing risk factor (e.g., diabetes).
Table 2 includes clinically significant drug interactions with tapentadol tablets.
| Benzodiazepines and other Central Nervous System (CNS) Depressants | |
|---|---|
| Clinical Impact: | Due to additive pharmacologic effect, the concomitant use of benzodiazepines or other CNS depressants including alcohol, increases the risk of respiratory depression, profound sedation, coma, and death [Warnings and Precautions (5.3)]. |
| Intervention: | Reserve concomitant prescribing of these drugs for use in patients for whom alternative treatment options are inadequate. Limit dosages and durations to the minimum required. Inform patients and caregivers of this potential interaction and educate them on the signs and symptoms of respiratory depression (including sedation). If concomitant use is warranted, consider prescribing naloxone for the emergency treatment of opioid overdose [see Dosage and Administration (2.2), Warnings and Precautions (5.1, 5.2, 5.3)]. |
| Examples: | Benzodiazepines and other sedatives/hypnotics, anxiolytics, tranquilizers, muscle relaxants, general anesthetics, antipsychotics, other opioids, alcohol. |
| Serotonergic Drugs | |
| Clinical Impact: | The concomitant use of opioids with other drugs that affect the serotonergic neurotransmitter system has resulted in serotonin syndrome [see Warnings and Precautions (5.7)]. |
| Intervention: | If concomitant use is warranted, frequently evaluate the patient, particularly during treatment initiation and dose adjustment. Discontinue tapentadol tablets if serotonin syndrome is suspected. |
| Examples: | Selective serotonin reuptake inhibitors (SSRIs), serotonin and norepinephrine reuptake inhibitors (SNRIs), tricyclic antidepressants (TCAs), triptans, 5-HT3 receptor antagonists, drugs that affect the serotonin neurotransmitter system (e.g., mirtazapine, trazodone, tramadol), certain muscle relaxants (i.e., cyclobenzaprine, metaxalone), monoamine oxidase inhibitors (those intended to treat psychiatric disorders and also others, such as linezolid and intravenous methylene blue). |
| Monoamine Oxidase Inhibitors (MAOIs) | |
| Clinical Impact: | MAOI interactions with opioids may manifest as serotonin syndrome or opioid toxicity (e.g., respiratory depression, coma) [see Warnings and Precautions (5.3)] |
| Intervention: | Do not use tapentadol tablets in patients taking MAOIs or within 14 days of stopping such treatment. If urgent use of an opioid is necessary, use test doses and frequent titration of small doses of other opioids (such as oxycodone, hydrocodone, oxymorphone, hydrocodone, or buprenorphine) to treat pain while closely monitoring blood pressure and signs and symptoms of CNS and respiratory depression. |
| Examples: | phenelzine, tranylcypromine, linezolid |
| Mixed Agonist/Antagonist and Partial Agonist Opioid Analgesics | |
| Clinical Impact: | May reduce the analgesic effect of tapentadol tablets and/or precipitate withdrawal symptoms. |
| Intervention: | Avoid concomitant use. |
| Examples: | butorphanol, nalbuphine, pentazocine, buprenorphine |
| Muscle Relaxants | |
| Clinical Impact: | tapentadol may enhance the neuromuscular blocking action of skeletal muscle relaxants and produce an increased degree of respiratory depression. |
| Intervention: | Because respiratory depression may be greater than otherwise expected, decrease the dosage of tapentadol tablets and/or the muscle relaxant as necessary. Due to the risk of respiratory depression with concomitant use of skeletal muscle relaxants and opioids, consider prescribing naloxone for the emergency treatment of opioid overdose [see Dosage and Administration (2.2), Warnings and Precautions (5.2, 5.3)] |
| Examples: | cyclobenzaprine, metaxalone |
| Diuretics | |
| Clinical Impact: | Opioids can reduce the efficacy of diuretics by inducing the release of antidiuretic hormone. |
| Intervention: | Evaluate patients for signs of diminished diuresis and/or effects on blood pressure and increase the dosage of the diuretic as needed. |
| Anticholinergic Drugs | |
| Clinical Impact: | The concomitant use of anticholinergic drugs may increase risk of urinary retention and/or severe constipation, which may lead to paralytic ileus. |
| Intervention: | Evaluate patients for signs of urinary retention or reduced gastric motility when tapentadol tablets is used concomitantly with anticholinergic drugs. |
| Alcohol, Other Opioids, and Drugs of Abuse | |
| Clinical Impact: | Due to its mu-opioid agonist activity, tapentadol tablets may be expected to have additive effects when used in conjunction with alcohol, other opioids, or illicit drugs that cause central nervous system depression, respiratory depression, hypotension, and profound sedation, coma or death [see Warnings and Precautions (5.16)]. |
| Intervention: | Instruct patients not to consume alcoholic beverages or use prescription or non- prescription products containing alcohol, other opioids, or drugs of abuse while on tapentadol tablets therapy. |
| Examples: | Alcohol, other opioids, illicit drugs |
Risk Summary
Use of opioid analgesics for an extended period of time during pregnancy may cause neonatal opioid withdrawal syndrome [see Warnings and Precautions (5.4)]. Available data with tapentadol tablets are insufficient to inform a drug-associated risk for major birth defects and miscarriage or adverse maternal outcomes. There are risks to the mother and infant associated with use of tapentadol tablets for an extended period of time during pregnancy (see Clinical Considerations).
In animal reproduction studies, embryofetal mortality and structural malformations were observed with subcutaneous administration of tapentadol during organogenesis to rabbits and delays in skeletal maturation were observed in rats at exposures equivalent to and less than the maximum recommended human dose (MRHD), respectively. When administered to pregnant rats during organogenesis and through lactation, increased pup mortality was noted following oral tapentadol exposures to doses equivalent to the MRHD [see Data].
Based on animal data, advise pregnant women of the potential risk to a fetus.
The background risk of major birth defects and miscarriage for the indicated population is unknown. All pregnancies have a background risk of birth defect, loss, or other adverse reaction. In the U.S. general population, the estimated background risk of major birth defects and miscarriage in clinically recognized pregnancies is 2-4% and 15-20%, respectively.
Fetal/Neonatal Adverse Reactions
Use of opioid analgesics for an extended period of time during pregnancy for medical or nonmedical purposes can result in physical dependence in the neonate and neonatal opioid withdrawal syndrome shortly after birth.
Neonatal opioid withdrawal syndrome presents as irritability, hyperactivity and abnormal sleep pattern, high pitched cry, tremor, vomiting, diarrhea and failure to gain weight. The onset, duration, and severity of neonatal opioid withdrawal syndrome vary based on the specific opioid used, duration of use, timing and amount of last maternal use, and rate of elimination of the drug by the newborn. Observe newborns for symptoms of neonatal opioid withdrawal syndrome and manage accordingly [see Warnings and Precautions (5.4)].
Labor or Delivery
Opioids cross the placenta and may produce respiratory depression and psycho-physiologic effects in neonates. An opioid antagonist, such as naloxone, must be available for reversal of opioid-induced respiratory depression in the neonate. tapentadol tablets are not recommended for use in pregnant women during or immediately prior to labor, when other analgesic techniques are more appropriate. Opioid analgesics, including tapentadol tablets, can prolong labor through actions which temporarily reduce the strength, duration, and frequency of uterine contractions. However, this effect is not consistent and may be offset by an increased rate of cervical dilation, which tends to shorten labor. Monitor neonates exposed to opioid analgesics during labor for signs of excess sedation and respiratory depression.
Animal Data
tapentadol HCl was evaluated for teratogenic effects in pregnant rats and rabbits following subcutaneous exposure during organogenesis. When tapentadol was administered twice daily by the subcutaneous route in rats at dose levels of 10, 20, or 40 mg/kg/day [producing up to 1 times the plasma exposure at the maximum recommended human dose (MRHD) of 700 mg/day based on an area under the time-curve (AUC) comparison], no teratogenic effects were observed. Evidence of embryofetal toxicity included transient delays in skeletal maturation (i.e. reduced ossification) at the 40 mg/kg/day dose which was associated with significant maternal toxicity.
Administration of tapentadol HCl in rabbits at doses of 4, 10, or 24 mg/kg/day by subcutaneous injection [producing 0.2, 0.6, and 1.85 times the plasma exposure at the MRHD based on an AUC comparison] revealed embryofetal toxicity at doses ≥10 mg/kg/day. Findings included reduced fetal viability, skeletal delays and other variations. In addition, there were multiple malformations including gastroschisis/thoracogastroschisis, amelia/phocomelia, and cleft palate at doses ≥10 mg/kg/day and above, and ablepharia, encephalopathy, and spina bifida at the high dose of 24 mg/kg/day. Embryofetal toxicity, including malformations, may be secondary to the significant maternal toxicity observed in the study.
In a study of pre- and postnatal development in rats, oral administration of tapentadol at doses of 20, 50, 150, or 300 mg/kg/day to pregnant and lactating rats during the late gestation and early postnatal period [resulting in up to 1.7 times the plasma exposure at the MRHD on an AUC basis] did not influence physical or reflex development, the outcome of neurobehavioral tests or reproductive parameters. Treatment-related developmental delay was observed, including incomplete ossification, and significant reductions in pup body weights and body weight gains at doses associated with maternal toxicity (150 mg/kg/day and above). At maternal tapentadol doses ≥150 mg/kg/day, a dose-related increase in pup mortality was observed through postnatal Day 4.
Risk Summary
There are no data on the presence of tapentadol in human milk, the effects on the breastfed infant, or the effects on milk production. tapentadol is present in animal milk. When a drug is present in animal milk, it is likely that the drug will be present in human milk. Infants exposed to tapentadol tablets through breast milk should be monitored for excess sedation and respiratory depression. Withdrawal symptoms can occur in breastfed infants when maternal administration of an opioid analgesic is stopped, or when breastfeeding is stopped.
The developmental and health benefits of breastfeeding should be considered along with the mother's clinical need for tapentadol tablets and any potential adverse effects on the breastfed infant from tapentadol tablets or from the underlying maternal condition.
Infertility
Use of opioids for an extended period of time may cause reduced fertility in females and males of reproductive potential. It is not known whether these effects on fertility are reversible [see Adverse Reactions (6.2), Clinical Pharmacology (12.2)].
The safety and effectiveness of tapentadol tablets in pediatric patients ages 6 years and older who weigh at least 40 kg have been established. Use of tapentadol tablets in pediatric patients ages 6 years and older who weigh at least 40 kg is based on one randomized, double-blind, placebo-controlled, multiple-dose efficacy and safety study of tapentadol oral solution in 175 pediatric patients from birth to 17 years of age who had undergone surgery that would reliably produce moderate to severe pain and supported by pharmacokinetic and safety data from three open-label, single-dose studies of tapentadol oral solution in 129 patients from birth to 17 years of age with moderate to severe acute pain from a surgical procedure [see Clinical Studies (14.2)].
The safety and effectiveness of tapentadol tablets in pediatric patients less than 6 years of age have not been established. In pediatric patients less than 6 years of age, tapentadol oral solution did not demonstrate efficacy compared to placebo when evaluated in one randomized, double-blind, placebo-controlled, multiple-dose study in 175 pediatric patients from birth to 17 years of age who had undergone surgery that would reliably produce moderate to severe pain [see Clinical Studies (14.2)].
The safety and effectiveness of tapentadol tablets in pediatric patients who weigh less than 40 kg have not been established because the recommended dosage cannot be achieved with available tablet strengths. Consider use of another tapentadol product, such as tapentadol oral solution, in patients who cannot swallow oral tablets or who weigh less than 40 kg [see Dosage and Administration (2.3)].
Tapentadol tablets have not been studied in pediatric patients with hepatic or renal impairment; therefore, use in these populations is not recommended [see Dosage and Administration (2.4)].
Of the total number of patients in Phase 2/3 double-blind, multiple-dose clinical studies of tapentadol tablets, 19% were 65 and over, while 5% were 75 and over. No overall differences in effectiveness were observed between these patients and younger patients. The rate of constipation was higher in subjects greater than or equal to 65 years than those less than 65 years (12% vs. 7%).
Elderly patients (aged 65 years or older) may have increased sensitivity to tapentadol. In general, use caution when selecting a dosage for an elderly patient, usually starting at the low end of the dosing range, reflecting the greater frequency of decreased hepatic, renal, or cardiac function and of concomitant disease or other drug therapy.
Respiratory depression is the chief risk for elderly patients treated with opioids, and has occurred after large initial doses were administered to patients who were not opioid-tolerant or when opioids were co-administered with other agents that depress respiration. Titrate the dosage of tapentadol tablets slowly in geriatric patients and frequently reevaluate the patient for signs of central nervous system and respiratory depression [see Warnings and Precautions (5.2)].
Tapentadol is known to be substantially excreted by the kidney, and the risk of adverse reactions to this drug may be greater in patients with impaired renal function. Because elderly patients are more likely to have decreased renal function, care should be taken in dose selection, and it may be useful to regularly evaluate renal function.
Administration of tapentadol resulted in higher exposures and serum levels of tapentadol in subjects with impaired hepatic function compared to subjects with normal hepatic function [see Clinical Pharmacology (12.3)]. Use of tapentadol tablets are not recommended in patients with severe hepatic impairment (Child-Pugh Score 10 to 15) [see Warnings and Precautions (5.17)]. The dose of tapentadol tablets should be reduced in patients with moderate hepatic impairment (Child-Pugh Score 7 to 9) [see Dosage and Administration (2.5)]. No dosage adjustment is recommended in patients with mild hepatic impairment (Child-Pugh Score 5 to 6) [see Warnings and Precautions (5.17), Clinical Pharmacology (12.3)].
Use of tapentadol tablets in patients with severe renal impairment (creatinine clearance less than 30 mL/minute) is not recommended. No dosage adjustment is recommended in patients with mild or moderate renal impairment (creatinine clearance 30-90 mL/minute) [see Warnings and Precautions (5.18), Clinical Pharmacology (12.1)].
Tapentadol tablets contain tapentadol, a substance with high potential for misuse and abuse, which can lead to the development of substance use disorder, including addiction [see Warnings and Precautions (5.1)].
Misuse is the intentional use, for therapeutic purposes, of a drug by an individual in a way other than prescribed by a healthcare provider or for whom it was not prescribed.
Abuse is the intentional, non-therapeutic use of a drug, even once, for its desirable psychological or physiological effects.
Drug addiction is a cluster of behavioral, cognitive, and physiological phenomena that may include a strong desire to take the drug, difficulties in controlling drug use (e.g., continuing drug use despite harmful consequences, giving a higher priority to drug use than other activities and obligations), and possible tolerance or physical dependence.
Misuse and abuse of tapentadol tablets increase risk of overdose, which may lead to central nervous system and respiratory depression, hypotension, seizures, and death. The risk is increased with concurrent abuse of tapentadol tablets with alcohol and/or other CNS depressants. Abuse of and addiction to opioids in some individuals may not be accompanied by concurrent tolerance and symptoms of physical dependence. In addition, abuse of opioids can occur in the absence of addiction.
All patients treated with opioids require careful and frequent reevaluation for signs of misuse, abuse, and addiction, because use of opioid analgesic products carries the risk of addiction even under appropriate medical use. Patients at high risk of tapentadol tablet abuse include those with a history of prolonged use of any opioid, including products containing tapentadol, those with a history of drug or alcohol abuse, or those who use tapentadol tablets in combination with other abused drugs.
"Drug-seeking" behavior is very common in persons with substance use disorders. Drug-seeking tactics include emergency calls or visits near the end of office hours, refusal to undergo appropriate examination, testing, or referral, repeated "loss" of prescriptions, tampering with prescriptions, and reluctance to provide prior medical records or contact information for other treating healthcare provider(s). "Doctor shopping" (visiting multiple prescribers to obtain additional prescriptions) is common among people who abuse drugs and people with substance use disorder. Preoccupation with achieving adequate pain relief can be appropriate behavior in a patient with inadequate pain control.
Tapentadol tablets, like other opioids, can be diverted for nonmedical use into illicit channels of distribution. Careful record-keeping of prescribing information, including quantity, frequency, and renewal requests, as required by state and federal law, is strongly advised.
Proper assessment of the patient, proper prescribing practices, periodic reevaluation of therapy, and proper dispensing and storage are appropriate measures that help to limit abuse of opioid drugs.
Risks Specific to Abuse of tapentadol Tablets
Abuse of tapentadol tablets pose a risk of overdose and death. The risk is increased with concurrent use of tapentadol tablets with alcohol and/or other central nervous system depressants.
Tapentadol tablets are approved for oral use only.
Parenteral drug abuse is commonly associated with transmission of infectious diseases such as hepatitis and HIV.
Both tolerance and physical dependence can develop during use of opioid therapy.
Tolerance is a physiological state characterized by a reduced response to a drug after repeated administration (i.e., a higher dose of a drug is required to produce the same effect that was once obtained at a lower dose).
Physical dependence is a state that develops as a result of a physiological adaptation in response to repeated drug use, manifested by withdrawal signs and symptoms after abrupt discontinuation or a significant dose reduction of a drug.
Withdrawal may be precipitated through the administration of drugs with opioid antagonist activity (e.g., naloxone), mixed agonist/antagonist analgesics (e.g., pentazocine, butorphanol, nalbuphine), or partial agonists (e.g., buprenorphine). Physical dependence may not occur to a clinically significant degree until after several days to weeks of continued use.
Do not abruptly discontinue tapentadol tablets in a patient physically dependent on opioids. Rapid tapering of tapentadol tablets in a patient physically dependent on opioids may lead to serious withdrawal symptoms, uncontrolled pain, and suicide. Rapid discontinuation has also been associated with attempts to find other sources of opioid analgesics, which may be confused with drug-seeking for abuse.
When discontinuing tapentadol tablets, gradually taper the dosage using a patient-specific plan that considers the following: the dose of tapentadol tablets the patient has been taking, the duration of treatment, and the physical and psychological attributes of the patient. To improve the likelihood of a successful taper and minimize withdrawal symptoms, it is important that the opioid tapering schedule is agreed upon by the patient. In patients taking opioids for an extended period of time at high doses, ensure that a multimodal approach to pain management, including mental health support (if needed), is in place prior to initiating an opioid analgesic taper [see Dosage and Administration (2.7), and Warnings and Precautions (5.13)].
Infants born to mothers physically dependent on opioids will also be physically dependent and may exhibit respiratory difficulties and withdrawal signs [see Use in Specific Populations (8.1)].
Clinical Presentation
Acute overdosage with tapentadol can be manifested by respiratory depression, somnolence progressing to stupor or coma, skeletal muscle flaccidity, cold and clammy skin, constricted pupils, and, in some cases, pulmonary edema, bradycardia, hypotension, hypoglycemia, partial or complete airway obstruction, atypical snoring, and death. Marked mydriasis rather than miosis may be seen due to severe hypoxia in overdose situations [see Clinical Pharmacology (12.2)].
Treatment of Overdose
In case of overdose, priorities are the reestablishment of a patent and protected airway and institution of assisted or controlled ventilation if needed. Employ other supportive measures (including oxygen and vasopressors) in the management of circulatory shock and pulmonary edema as indicated. Cardiac arrest or arrhythmias will require advanced life support measures.
Opioid antagonists, such as naloxone, are specific antidotes to respiratory depression resulting from opioid overdose. For clinically significant respiratory or circulatory depression secondary to opioid overdose, administer an opioid antagonist.
Because the duration of opioid reversal is expected to be less than the duration of action of tapentadol in tapentadol tablets, carefully monitor the patient until spontaneous respiration is reliably reestablished. If the response to an opioid antagonist is suboptimal or only brief in nature, administer additional antagonist as directed in the product's prescribing information.
In an individual physically dependent on opioids, administration of the recommended usual dosage of the antagonist will precipitate an acute withdrawal syndrome. The severity of the withdrawal symptoms experienced will depend on the degree of physical dependence and the dose of the antagonist administered. If a decision is made to treat serious respiratory depression in the physically dependent patient, administration of the antagonist should be begun with care and by titration with smaller than usual doses of the antagonist.
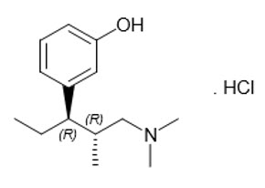
Tapentadol tablets are a mu-opioid receptor agonist, available in immediate-release film-coated tablets for oral administration, containing 58.24, 87.36 and 116.48 mg of tapentadol hydrochloride in each tablet strength, equivalent to 50, 75, and 100 mg of tapentadol free-base, respectively. The chemical name is 3-[(1R,2R)-3-(dimethylamino)-1-ethyl-2-methylpropyl]phenol monohydrochloride, and it has the following chemical structure:

The molecular weight of tapentadol HCl is 257.80, and the molecular formula is C14H23NO∙HCl. The n-octanol:water partition coefficient log P value is 2.87. The pKa values are 9.34 and 10.45.
The inactive ingredients in tapentadol tablets include: croscarmellose sodium, lactose monohydrate, magnesium stearate, microcrystalline cellulose, povidone. The film coatings for all tablet strengths contain polyvinyl alcohol, titanium dioxide, polyethylene glycol, talc, and the colorant FD&C Yellow #6 aluminum lake; the film coatings for the 50 mg and 75 mg tablets also contain the additional colorant D&C Yellow #10 aluminum lake.
Tapentadol is a centrally-acting synthetic analgesic. The exact mechanism of action is unknown. Although the clinical relevance is unclear, preclinical studies have shown that tapentadol is a mu-opioid receptor (MOR) agonist and a norepinephrine reuptake inhibitor (NRI). Analgesia in animal models is derived from both of these properties.
Effects on the Central Nervous System
Tapentadol produces respiratory depression by direct action on the brainstem respiratory centers. The respiratory depression involves a reduction in the responsiveness of the brain stem respiratory centers to both increases in carbon dioxide tension and electrical stimulation.
Tapentadol causes miosis, even in total darkness. Pinpoint pupils are a sign of opioid overdose but are not pathognomonic (e.g., pontine lesions of hemorrhagic or ischemic origin may produce similar findings). Marked mydriasis rather than miosis may be seen with hypoxia in overdose situations.
Effects on the Gastrointestinal Tract and Other Smooth Muscle
Tapentadol causes a reduction in motility associated with an increase in smooth muscle tone in the antrum of the stomach and duodenum. Digestion of food in the small intestine is delayed and propulsive contractions are decreased. Propulsive peristaltic waves in the colon are decreased, while tone may be increased to the point of spasm, resulting in constipation. Other opioid- induced effects may include a reduction in biliary and pancreatic secretions, spasm of sphincter of Oddi, and transient elevations in serum amylase.
Effects on the Cardiovascular System
There was no effect of therapeutic and supratherapeutic doses of tapentadol on the QT interval. In a randomized, double-blind, placebo- and positive-controlled crossover study, healthy subjects were administered five consecutive doses of tapentadol 100 mg every 6 hours, tapentadol 150 mg every 6 hours, placebo and a single oral dose of moxifloxacin. Similarly, tapentadol had no relevant effect on other ECG parameters (heart rate, PR interval, QRS duration, T-wave or U-wave morphology).
Tapentadol produces peripheral vasodilation which may result in orthostatic hypotension or syncope. Manifestations of histamine release and/or peripheral vasodilation may include pruritus, flushing, red eyes, sweating, and/or orthostatic hypotension.
Effects on the Endocrine System
Opioids inhibit the secretion of adrenocorticotropic hormone (ACTH), cortisol, and luteinizing hormone (LH) in humans [see Adverse Reactions (6.2)]. They also stimulate prolactin, growth hormone (GH) secretion, and pancreatic secretion of insulin and glucagon.
Use of opioids for an extended period of time may influence the hypothalamic-pituitary-gonadal axis, leading to androgen deficiency that may manifest as low libido, impotence, erectile dysfunction, amenorrhea, or infertility. The causal role of opioids in the clinical syndrome of hypogonadism is unknown because the various medical, physical, lifestyle, and psychological stressors that may influence gonadal hormone levels have not been adequately controlled for in studies conducted to date [see Adverse Reactions (6.2)].
Effects on the Immune System
Opioids have been shown to have a variety of effects on components of the immune system in in vitro and animal models. The clinical significance of these findings is unknown. Overall, the effects of opioids appear to be modestly immunosuppressive.
Concentration-Efficacy Relationships
The minimum effective analgesic concentration will vary widely among patients, especially among patients who have been previously treated with opioid agonists. The minimum effective analgesic concentration of tapentadol for any individual patient may increase over time due to an increase in pain, the development of a new pain syndrome, and/or the development of analgesic tolerance [see Dosage and Administration (2.1, 2.6)].
Concentration-Adverse Experience Relationships
There is a relationship between increasing tapentadol plasma concentration and increasing frequency of dose-related adverse reactions such as nausea, vomiting, CNS effects, and respiratory depression. In opioid-tolerant patients, the situation may be altered by the development of tolerance to opioid-related adverse reactions [see Dosage and Administration (2.1, 2.6)].
Absorption
The mean absolute bioavailability after single-dose administration (fasting) of tapentadol is approximately 32% due to extensive first-pass metabolism. Maximum serum concentrations of tapentadol are typically observed at around 1.25 hours after dosing.
Dose-proportional increases in the Cmax and AUC values of tapentadol have been observed over the 50 to 150 mg dose range.
A multiple (every 6 hour) dose study with doses ranging from 75 to 175 mg tapentadol showed a mean accumulation factor of 1.6 for the parent drug and 1.8 for the major metabolite tapentadol- O-glucuronide, which are primarily determined by the dosing interval and apparent half-life of tapentadol and its metabolite.
Food Effect
The AUC and Cmax increased by 25% and 16%, respectively, when tapentadol was administered after a high-fat, high-calorie breakfast. tapentadol may be given with or without food.
Distribution
Tapentadol is widely distributed throughout the body. Following intravenous administration, the volume of distribution (Vz) for tapentadol is 540 +/- 98 L. The plasma protein binding is low and amounts to approximately 20%.
Elimination
Metabolism
In humans, about 97% of the parent compound is metabolized. tapentadol is mainly metabolized via Phase 2 pathways, and only a small amount is metabolized by Phase 1 oxidative pathways.
The major pathway of tapentadol metabolism is conjugation with glucuronic acid to produce glucuronides. After oral administration approximately 70% (55% O-glucuronide and 15% sulfate of tapentadol) of the dose is excreted in urine in the conjugated form. A total of 3% of drug was excreted in urine as unchanged drug. tapentadol is additionally metabolized to N-desmethyl tapentadol (13%) by CYP2C9 and CYP2C19 and to hydroxy tapentadol (2%) by CYP2D6, which are further metabolized by conjugation. Therefore, drug metabolism mediated by cytochrome P450 system is of less importance than phase 2 conjugation.
None of the metabolites contribute to the analgesic activity.
Excretion
Tapentadol and its metabolites are excreted almost exclusively (99%) via the kidneys. The terminal half-life is on average 4 hours after oral administration. The total clearance is 1530 +/- 177 mL/min.
Specific Populations
Age: Geriatric Population
The mean exposure (AUC) to tapentadol was similar in elderly subjects compared to young adults, with a 16% lower mean Cmax observed in the elderly subject group compared to young adult subjects.
Hepatic Impairment
Administration of tapentadol resulted in higher exposures and serum levels to tapentadol in subjects with impaired hepatic function compared to subjects with normal hepatic function. The ratio of tapentadol pharmacokinetic parameters for the mild hepatic impairment group (Child-Pugh Score 5 to 6) and moderate hepatic impairment group (Child-Pugh Score 7 to 9) in comparison to the normal hepatic function group were 1.7 and 4.2, respectively, for AUC; 1.4 and 2.5, respectively, for Cmax; and 1.2 and 1.4, respectively, for t1/2. The rate of formation of tapentadol-O-glucuronide was lower in subjects with increased liver impairment.
Renal Impairment
AUC and Cmax of tapentadol were comparable in subjects with varying degrees of renal function (from normal to severely impaired). In contrast, increasing exposure (AUC) to tapentadol-O-glucuronide was observed with increasing degree of renal impairment. In subjects with mild (CLCR = 50 to <80 mL/min), moderate (CLCR = 30 to <50 mL/min), and severe (CLCR = <30 mL/min) renal impairment, the AUC of tapentadol-O-glucuronide was 1.5-, 2.5-, and 5.5- fold higher compared with normal renal function, respectively.
Drug Interaction Studies
Pharmacokinetic Drug Interactions
Tapentadol is mainly metabolized by Phase 2 glucuronidation, a high capacity/low affinity system; therefore, clinically relevant interactions caused by Phase 2 metabolism are unlikely to occur. Naproxen and probenecid increased the AUC of tapentadol by 17% and 57%, respectively. These changes are not considered clinically relevant and no change in dose is required.
No changes in the pharmacokinetic parameters of tapentadol were observed when acetaminophen and acetylsalicylic acid were given concomitantly.
In vitro studies did not reveal any potential of tapentadol to either inhibit or induce cytochrome P450 enzymes. Furthermore, a minor amount of tapentadol is metabolized via the oxidative pathway. Thus, clinically relevant interactions mediated by the cytochrome P450 system are unlikely to occur.
The pharmacokinetics of tapentadol were not affected when gastric pH or gastrointestinal motility were increased by omeprazole and metoclopramide, respectively.
Plasma protein binding of tapentadol is low (approximately 20%). Therefore, the likelihood of pharmacokinetic drug-drug interactions by displacement from the protein binding site is low.
Age: Pediatric Population
In the pediatric population the maximum serum concentrations were observed at a similar time to adults, with no age-related changes.
A summary of the simulated steady-state exposure levels across dosing interval tau (AUCtau,ss) among the two pediatric age groups receiving 1.25 mg/kg oral solution q4h compared with adult doses is in Table 3.
| Simulated AUCtau,ss | Pediatric Dose (1.25 mg/kg) | Adult Doses | |||
|---|---|---|---|---|---|
| Group | 6 to <12y | 12 to <18y | 50 mg | 75 mg | 100 mg |
| AUC (ngˑh/mL) | |||||
| Median | 309 | 369 | 217 | 325 | 434 |
| 2.5th – 97.5th PCT | (197 – 487) | (233 – 563) | (131 – 353) | (196 – 529) | (262 – 706)] |
Carcinogenesis
Tapentadol was administered to rats (diet) and mice (oral gavage) for two years.
In mice, tapentadol HCl was administered by oral gavage at dosages of 50, 100 and 200 mg/kg/day for 2 years (up to 0.2 times the plasma exposure at the maximum recommended human dose [MRHD] on an area under the time-curve [AUC] basis). No increase in tumor incidence was observed at any dose level.
In rats, tapentadol HCl was administered in diet at dosages of 10, 50, 125 and 250 mg/kg/day for two years (up to 0.2 times in the male rats and 0.6 times in the female rats the MRHD on an AUC basis). No increase in tumor incidence was observed at any dose level.
Mutagenesis
Tapentadol did not induce gene mutations in bacteria, but was clastogenic with metabolic activation in a chromosomal aberration test in V79 cells. The test was repeated and was negative in the presence and absence of metabolic activation. The one positive result for tapentadol was not confirmed in vivo in rats, using the two endpoints of chromosomal aberration and unscheduled DNA synthesis, when tested up to the maximum tolerated dose.
Impairment of Fertility
Tapentadol HCl was administered intravenously to male or female rats at dosages of 3, 6, or 12 mg/kg/day (representing exposures of up to approximately 0.4 times the exposure at the MRHD on an AUC basis, based on extrapolation from toxicokinetic analyses in a separate 4-week intravenous study in rats). tapentadol did not alter fertility at any dose level. Maternal toxicity and adverse effects on embryonic development, including decreased number of implantations, decreased numbers of live conceptuses, and increased pre- and post-implantation losses occurred at dosages ≥6 mg/kg/day.
In toxicological studies with tapentadol, the most common systemic effects of tapentadol were related to the mu-opioid receptor agonist and norepinephrine reuptake inhibition pharmacodynamic properties of the compound. Transient, dose-dependent and predominantly CNS-related findings were observed, including impaired respiratory function and convulsions, the latter occurring in the dog at plasma levels (Cmax) which are in the range associated with the maximum recommended human dose (MRHD).
The efficacy and safety of tapentadol tablets in the treatment of acute pain has been established in two randomized, double-blind, placebo- and active-controlled studies of moderate to severe pain from first metatarsal bunionectomy and end-stage degenerative joint disease.
Orthopedic Surgery – Bunionectomy
A randomized, double-blind, parallel-group, active- and placebo-controlled, multiple-dose study demonstrated the efficacy of 50 mg, 75 mg, and 100 mg tapentadol tablets given every 4 to 6 hours for 72 hours in patients aged 18 to 80 years experiencing moderate to severe pain following unilateral, first metatarsal bunionectomy surgery. Patients who qualified for the study with a baseline pain score of ≥4 on an 11-point rating scale ranging from 0 to 10 were randomized to 1 of 5 treatments. Patients were allowed to take a second dose of study medication as soon as 1 hour after the first dose on study Day 1, with subsequent dosing every 4 to 6 hours. If rescue analgesics were required, the patients were discontinued for lack of efficacy. Efficacy was evaluated by comparing the sum of pain intensity difference over the first 48 hours (SPID48) versus placebo. tapentadol tablets at each dose provided a greater reduction in pain compared to placebo based on SPID48 values.
For various degrees of improvement from baseline to the 48-hour endpoint, Figure 1 shows the fraction of patients achieving that level of improvement. The figures are cumulative, such that every patient that achieves a 50% reduction in pain from baseline is included in every level of improvement below 50%. Patients who did not complete the 48-hour observation period in the study were assigned 0% improvement.
Figure 1. Percentage of Patients Achieving Various Levels of Pain Relief as Measured by Pain Severity at 48 Hours Compared to Baseline- Post Operative Bunionectomy

The proportions of patients who showed reduction in pain intensity at 48 hours of 30% or greater, or 50% or greater were significantly higher in patients treated with tapentadol tablets at each dose versus placebo.
End-Stage Degenerative Joint Disease
A randomized, double-blind, parallel-group, active- and placebo-controlled, multiple-dose study evaluated the efficacy and safety of 50 mg and 75 mg tapentadol tablets given every 4 to 6 hours during waking hours for 10 days in patients aged 18 to 80 years, experiencing moderate to severe pain from end stage degenerative joint disease of the hip or knee, defined as a 3-day mean pain score of ≥5 on an 11-point pain intensity scale, ranging from 0 to 10. Pain scores were assessed twice daily and assessed the pain the patient had experienced over the previous 12 hours. Patients were allowed to continue non-opioid analgesic therapy for which they had been on a stable regimen before screening throughout the study. Eighty-three percent (83%) of patients in the tapentadol treatment groups and the placebo group took such analgesia during the study. The 75 mg treatment group was dosed at 50 mg for the first day of the study, followed by 75 mg for the remaining nine days. Patients requiring rescue analgesics other than study medication were discontinued for lack of efficacy. Efficacy was evaluated by comparing the sum of pain intensity difference (SPID) versus placebo over the first five days of treatment. tapentadol tablets 50 mg and 75 mg provided improvement in pain compared with placebo based on the 5-Day SPID.
For various degrees of improvement from baseline to the Day 5 endpoint, Figure 2 shows the fraction of patients achieving that level of improvement. The figures are cumulative, such that every patient that achieves a 50% reduction in pain from baseline is included in every level of improvement below 50%. Patients who did not complete the 5-day observation period in the study were assigned 0% improvement.
Figure 2. Percentage of Patients Achieving Various Levels of Pain Relief as Measured by Average Pain Severity for the Previous 12 hours, Measured on Study Day 5 Compared to Baseline -- End Stage Degenerative Joint Disease

The proportions of patients who showed reduction in pain intensity at 5 days of 30% or greater, or 50% or greater were significantly higher in patients treated with tapentadol tablets at each dose versus placebo.
The efficacy and safety of tapentadol tablets for the management of acute pain severe enough to require an opioid analgesic and for which alternative treatments are inadequate in pediatric patients who are 6 years and older and weigh at least 40 kg have been established based on one randomized, double-blind, placebo-controlled, multiple-dose study of tapentadol oral solution in pediatric patients ages birth to 17 years who had undergone surgery that would reliably produce moderate to severe acute post-operative pain.
Patients who had undergone surgery that would reliably produce moderate to severe acute pain requiring opioid treatment via nurse-controlled analgesia (NCA) or patient-controlled analgesia (PCA), had received postoperative morphine or hydromorphone by NCA or PCA, and were able to tolerate liquids were randomized to either tapentadol oral solution or placebo (2:1 allocation). Patients from 6 months to 17 years of age were administered tapentadol oral solution 1.25 mg/kg body weight (maximum single dose 100 mg) or the same volume of placebo every four hours for the first 24 hours with dose reduction to 1.0 mg/kg body weight after 24 hours if there was a reduced need for analgesia at the investigator's discretion.
The study was statistically powered to evaluate the efficacy of tapentadol oral solution across the pediatric age range from 2 to 17 years of age. Efficacy was evaluated by comparing the total amount of supplemental opioid analgesic medication (morphine equivalents in mg/kg body weight) used within 12 hours and 24 hours following initiation of study drug between the tapentadol oral solution and placebo groups. Overall, statistically significantly more supplemental opioid analgesic medication was used in the placebo group than in the tapentadol oral solution group during the first 12 and 24 hours after first dose of study drug. However, a descriptive analysis of supplemental opioid analgesic medication used by age subgroup demonstrated lack of efficacy of tapentadol oral solution in pediatric patients 2 to less than 6 years of age [see Pediatric Use (8.4)].
The descriptive analysis of supplemental opioid analgesic medication use showed the following results (see Table 4):
Numerically more supplemental opioid analgesic medication used in the placebo group than in the tapentadol oral solution group at 12 hours and 24 hours for both the 6 to less than 12 years age group and the 12 to less than 18 years age group indicating that tapentadol oral solution is effective in pediatric patients 6 years of age and older.
No numerical difference in supplemental opioid analgesic medication used between the tapentadol oral solution and placebo groups at 12 hours and numerically more supplemental opioid analgesic medication used in the tapentadol oral solution group than in the placebo group at 24 hours for the 2 to less than 6 years age group indicating that tapentadol oral solution is not effective in pediatric patients less than 6 years of age.
tapentadol tablets are not approved for use in pediatric patients less than 6 years of age or who weigh less than 40 kg [see Pediatric Use (8.4)].
The efficacy and safety of tapentadol tablets at doses higher than 1.25 mg/kg body weight (maximum single dose of 100 mg) have not been studied; therefore, the use of tapentadol tablets at doses higher than 1.25 mg/kg body weight is not recommended [see Dosage and Administration (2.4)].
| Placebo | tapentadol oral solution | Difference (95% CI) | |||
|---|---|---|---|---|---|
| n | LS Mean | n | LS Mean | ||
|
|
|||||
| 12 hours | |||||
| Overall (2 to <18 years) | 52 | 0.129 | 108 | 0.082 | -0.047 (-0.091, -0.002)* |
| 12 to <18 years | 25 | 0.212 | 53 | 0.142 | -0.070 (-0.155, 0.014) |
| 6 to < 12 years | 15 | 0.111 | 32 | 0.064 | -0.047 (-0.105, 0.012) |
| 2 to < 6 years | 12 | 0.044 | 23 | 0.046 | 0.002 (-0.038, 0.042) |
| 24 hours | |||||
| Overall (2 to <18 years) | 52 | 0.237 | 108 | 0.139 | -0.097 (-0.176, -0.019)† |
| 12 to <18 years | 25 | 0.406 | 53 | 0.239 | -0.167 (-0.311, -0.022) |
| 6 to < 12 years | 15 | 0.196 | 32 | 0.122 | -0.074 (-0.185, 0.037) |
| 2 to < 6 years | 12 | 0.066 | 23 | 0.082 | 0.016 (-0.049, 0.080) |
Tapentadol Tablets are available in the following strengths and packages. All tablets are round and biconvex-shaped.
50 mg tablets are yellow and debossed with "O-M" on one side and "50" on the other side and are available in bottles of 100 (NDC: 0054-0942-25).
75 mg tablets are yellow-orange and debossed with "O-M" on one side and "75" on the other side and are available in bottles of 100 (NDC: 0054-0943-25).
100 mg tablets are orange and debossed with "O-M" on one side and "100" on the other side and are available in bottles of 100 (NDC: 0054-0945-25).
Storage and Handling
Store at 20°C-25°C (68°F-77°F); excursions permitted to 15° - 30°C (59° - 86°F) [see USP Controlled Room Temperature]. Protect from moisture.
Keep tapentadol tablets in a secure place out of reach of children.
tapentadol tablets that are no longer needed should be destroyed by flushing down the toilet.
Store tapentadol tablets securely and dispose of properly [see Patient Counseling Information (17)].
Advise the patient to read the FDA-approved patient labeling (Medication Guide).
Storage and Disposal
Because of the risks associated with accidental ingestion, misuse, and abuse, advise patients to store tapentadol tablets securely, out of sight and reach of children, and in a location not accessible by others, including visitors to the home. Inform patients that leaving tapentadol Tablets unsecured can pose a deadly risk to others in the home [see Warnings and Precautions (5.1, 5.2), Drug Abuse and Dependence (9.2)].
Advise patients and caregivers that when medicines are no longer needed, they should be disposed of promptly. Expired, unwanted, or unused tapentadol Tablets should be disposed of by flushing the unused medication down the toilet if a drug take-back option is not readily available. Inform patients that they can visit www.fda.gov/drugdisposal for a complete list of medicines recommended for disposal by flushing, as well as additional information on disposal of unused medicines.
Addiction, Abuse, and Misuse
Inform patients that the use of tapentadol tablets, even when taken as recommended, can result in addiction, abuse, and misuse, which can lead to overdose and death [see Warnings and Precautions (5.1)]. Instruct patients not to share tapentadol tablets with others and to take steps to protect tapentadol tablets from theft or misuse.
Life-Threatening Respiratory Depression
Inform patients of the risk of life-threatening respiratory depression, including information that the risk is greatest when starting tapentadol tablets or when the dosage is increased, and that it can occur even at recommended dosages.
Educate patients and caregivers on how to recognize respiratory depression and emphasize the importance of calling 911 or getting emergency medical help right away in the event of a known or suspected overdose [see Warnings and Precautions (5.2)].
Accidental Ingestion
Inform patients that accidental ingestion, especially by children, may result in respiratory depression or death [see Warnings and Precautions (5.2)].
Interactions with Benzodiazepines and other CNS Depressants
Inform patients and caregivers that potentially fatal additive effects may occur if tapentadol tablets are used with benzodiazepines or other CNS depressants, and not to use these concomitantly unless supervised by a health care provider [see Warnings and Precautions (5.3), Drug Interactions (7)].
Patient Access to Naloxone for the Emergency Treatment of Opioid Overdose
Discuss with the patient and caregiver the availability of naloxone for the emergency treatment of opioid overdose, both when initiating and renewing treatment with tapentadol tablets. Inform patients and caregivers about the various ways to obtain naloxone as permitted by individual state naloxone dispensing and prescribing requirements or guidelines (e.g., by prescription, directly from a pharmacist, or as part of a community-based program) [see Dosage and Administration (2.2), Warnings and Precautions (5.2)].
Educate patients and caregivers on how to recognize the signs and symptoms of an overdose.
Explain to patients and caregivers that naloxone's effects are temporary, and that they must call 911 or get emergency medical help right away in all cases of known or suspected opioid overdose, even if naloxone is administered [see Overdosage (10)].
If naloxone is prescribed, also advise patients and caregivers:
Hyperalgesia and Allodynia
Inform patients and caregivers not to increase opioid dosage without first consulting a clinician. Advise patients to seek medical attention if they experience symptoms of hyperalgesia, including worsening pain, increased sensitivity to pain, or new pain [see Warnings and Precautions (5.5), Adverse Reactions (6.2)].
Serotonin Syndrome
Inform patients that opioids could cause a rare but potentially life-threatening condition called serotonin syndrome resulting from concomitant administration of serotonergic drugs. Warn patients of the symptoms of serotonin syndrome and to seek medical attention right away if symptoms develop. Instruct patients to inform their healthcare providers if they are taking, or plan to take serotonergic medications [see Warnings and Precautions (5.7), Drug Interactions (7)].
MAOI Interaction
Inform patients not to take tapentadol tablets while using any drugs that inhibit monoamine oxidase. Patients should not start MAOIs while taking tapentadol tablets [see Warnings and Precautions (5.7), Drug Interactions (7)].
Important Administration Instructions
Instruct patients how to properly take tapentadol tablets, including the following:
Important Discontinuation Instructions
Driving or Operating Heavy Machinery
Inform patients that tapentadol tablets may impair the ability to perform potentially hazardous activities such as driving a car or operating heavy machinery. Advise patients not to perform such tasks until they know how they will react to the medication [see Warnings and Precautions (5.15)].
Constipation
Advise patients of the potential for severe constipation, including management instructions and when to seek medical attention [see Adverse Reactions (6.1)].
Adrenal Insufficiency
Inform patients that opioids could cause adrenal insufficiency, a potentially life-threatening condition. Adrenal insufficiency may present with non-specific symptoms and signs such as nausea, vomiting, anorexia, fatigue, weakness, dizziness, and low blood pressure. Advise patients to seek medical attention if they experience a constellation of these symptoms [see Warnings and Precautions (5.9)].
Hypotension
Inform patients that tapentadol tablets may cause orthostatic hypotension and syncope. Instruct patients how to recognize symptoms of low blood pressure and how to reduce the risk of serious consequences should hypotension occur (e.g., sit or lie down, carefully rise from a sitting or lying position) [see Warnings and Precautions (5.10)].
Anaphylaxis
Inform patients that anaphylaxis has been reported with ingredients contained in tapentadol tablets. Advise patients how to recognize such a reaction and when to seek medical attention [see Contraindications (4), Adverse Reactions (6.2)].
Pregnancy
Neonatal Opioid Withdrawal Syndrome
Inform female patients of reproductive potential that use of tapentadol tablets for an extended period of time during pregnancy can result in neonatal opioid withdrawal syndrome, which may be life-threatening if not recognized and treated [see Warnings and Precautions (5.4), Use in Specific Populations (8.1)].
Embryo-Fetal Toxicity
Inform female patients of reproductive potential that tapentadol tablets can cause fetal harm and to inform the healthcare provider of a known or suspected pregnancy [see Use in Specific Populations (8.1)].
Lactation
Advise nursing mothers to carefully observe infants for increased sleepiness (more than usual), breathing difficulties, or limpness. Instruct nursing mothers to seek immediate medical care if they notice these signs [see Use in Specific Populations (8.2)].
Infertility
Inform patients that use of opioids for an extended period of time may cause reduced fertility. It is not known whether these effects on fertility are reversible [see Use in Specific Populations (8.3)]
| This Medication Guide has been approved by the U.S. Food and Drug Administration | Issued: 12/2023 | |
| Medication Guide tapentadol Tapentadol tablets , CII |
||
Tapentadol tablets are:
|
||
Important information about tapentadol tablets:
|
||
Do not take tapentadol tablets if you have:
|
||
| Before taking tapentadol tablets, tell your healthcare provider if you have a history of: | ||
|
|
|
Tell your healthcare provider if you are:
|
||
When taking tapentadol tablets:
|
||
While taking tapentadol tablets DO NOT:
|
||
The possible side effects of tapentadol tablets:
Manufactured by: Collegium Pharmaceutical, Inc., 100 Technology Center Drive Suite 300, Stoughton, MA, 02072 Distributed by: Hikma Pharmaceuticals USA Inc. Berkeley Heights, NJ 07922 www.hikma.com or call 1-800-962-8364. |
||
NDC: 0054-0942-25
100 Tablets
Tapentadol
Tablets CII
50 mg
Rx only
Each tablet contains: tapentadol 50 mg
Caution: Federal law prohibits the transfer of this
drug to any person other than the patient for whom
it was prescribed.
Dispense the accompanying Medication Guide
to each patient.

NDC: 0054-0943-25
100 Tablets
Tapentadol
Tablets CII
75 mg
Rx only
Each tablet contains: tapentadol 75 mg
Caution: Federal law prohibits the transfer of this
drug to any person other than the patient for whom
it was prescribed.
Dispense the accompanying Medication Guide
to each patient.

NDC: 0054-0945-25
100 Tablets
Tapentadol
Tablets CII
100 mg
Rx only
Each tablet contains: tapentadol 100 mg
Caution: Federal law prohibits the transfer of this
drug to any person other than the patient for whom
it was prescribed.
Dispense the accompanying Medication Guide
to each patient.

| TAPENTADOL
tapentadol hydrochloride tablet, film coated |
||||||||||||||||||||||||
|
||||||||||||||||||||||||
|
||||||||||||||||||||||||
|
||||||||||||||||||||||||
|
||||||||||||||||||||||||
|
||||||||||||||||||||||||
|
||||||||||||||||||||||||
| TAPENTADOL
tapentadol hydrochloride tablet, film coated |
||||||||||||||||||||||||
|
||||||||||||||||||||||||
|
||||||||||||||||||||||||
|
||||||||||||||||||||||||
|
||||||||||||||||||||||||
|
||||||||||||||||||||||||
|
||||||||||||||||||||||||
| TAPENTADOL
tapentadol hydrochloride tablet, film coated |
||||||||||||||||||||||||
|
||||||||||||||||||||||||
|
||||||||||||||||||||||||
|
||||||||||||||||||||||||
|
||||||||||||||||||||||||
|
||||||||||||||||||||||||
|
||||||||||||||||||||||||
| Labeler - Hikma Pharmaceuticals USA Inc. (080189610) |
| Registrant - Collegium Pharmaceutical, Inc. (032531241) |