Glipizide by is a Prescription medication manufactured, distributed, or labeled by Northstar Rx LLC., Zydus Pharmaceuticals USA Inc., Zydus Lifesciences Limited. Drug facts, warnings, and ingredients follow.
Glipizide extended-release tablets is a sulfonylurea indicated as an adjunct to diet and exercise to improve glycemic control in adults with type 2 diabetes mellitus Limitations of Use: Not for treatment of type 1 diabetes or diabetic ketoacidosis. (1)
Tablets: 2.5 mg, 5 mg, 10 mg (3).
Most common adverse reactions (incidence > 3%) are dizziness, diarrhea, nervousness, tremor, hypoglycemia and flatulence (6.1).
To report SUSPECTED ADVERSE REACTIONS, contact Northstar Rx LLC at 1-800-206-7821 or FDA at 1-800-FDA-1088 or www.fda.gov/medwatch.
See 17 for PATIENT COUNSELING INFORMATION, FDA-approved patient labeling and FDA-approved patient labeling.
Revised: 11/2018
Glipizide extended-release tablets should be administered orally with breakfast or the first main meal of the day.
The recommended starting dose of glipizide extended-release tablets is 5 mg once daily. Start patients at increased risk for hypoglycemia (e.g. the elderly or patients with hepatic insufficiency) at 2.5 mg [see Use in Specific Population (8.5, 8.6)].
Dosage adjustment can be made based on the patient's glycemic control. The maximum recommended dose is 20 mg once daily.
Patients receiving immediate-release glipizide may be switched to glipizide extended-release tablets once daily at the nearest equivalent total daily dose.
When adding glipizide extended-release tablets to other anti-diabetic drugs, initiate glipizide extended-release tablets at 5 mg once daily. Start patients at increased risk for hypoglycemia at a lower dose.
When colesevelam is coadministered with glipizide extended-release tablets, maximum plasma concentration and total exposure to glipizide is reduced. Therefore, glipizide extended-release tablets should be administered at least 4 hours prior to colesevelam.
Glipizide extended-release tablets, 2.5 mg are yellow colored, round, biconvex film-coated tablets imprinted with "2" on one side with black ink and plain on the other side.
Glipizide extended-release tablets, 5 mg are orange colored, round, biconvex film-coated tablets imprinted with "3" on one side with black ink and plain on the other side.
Glipizide extended-release tablets, 10 mg are white colored, round, biconvex film-coated tablets imprinted with "4" on one side and plain on the other side.
All sulfonylurea drugs, including glipizide extended-release tablets, are capable of producing severe hypoglycemia [see Adverse Reactions (6)]. Concomitant use of glipizide extended-release tablets with other anti-diabetic medication can increase the risk of hypoglycemia. A lower dose of glipizide extended-release tablets may be required to minimize the risk of hypoglycemia when combining it with other anti-diabetic medications.
Educate patients to recognize and manage hypoglycemia. When initiating and increasing glipizide extended-release tablets in patients who may be predisposed to hypoglycemia (e.g., the elderly, patients with renal impairment, patients on other anti-diabetic medications) start at 2.5 mg. Debilitated or malnourished patients, and those with adrenal, pituitary, or hepatic impairment are particularly susceptible to the hypoglycemic action of anti-diabetic medications. Hypoglycemia is also more likely to occur when caloric intake is deficient, after severe or prolonged exercise, or when alcohol is ingested.
The patient's ability to concentrate and react may be impaired as a result of hypoglycemia. Early warning symptoms of hypoglycemia may be different or less pronounced in patients with autonomic neuropathy, the elderly, and in patients who are taking beta-adrenergic blocking medications or other sympatholytic agents. These situations may result in severe hypoglycemia before the patient is aware of the hypoglycemia.
These impairments may present a risk in situations where these abilities are especially important, such as driving or operating other machinery. Severe hypoglycemia can lead to unconsciousness or convulsions and may result in temporary or permanent impairment of brain function or death.
Treatment of patients with glucose 6-phosphate dehydrogenase (G6PD) deficiency with sulfonylurea agents, including glipizide extended-release tablets, can lead to hemolytic anemia. Avoid use of glipizide extended-release tablets in patients with G6PD deficiency. In post marketing reports, hemolytic anemia has also been reported in patients who did not have known G6PD deficiency.
The administration of oral hypoglycemic drugs has been reported to be associated with increased cardiovascular mortality as compared to treatment with diet alone or diet plus insulin. This warning is based on the study conducted by the University Group Diabetes Program (UGDP), a long-term prospective clinical trial designed to evaluate the effectiveness of glucose-lowering drugs in preventing or delaying vascular complications in patients with type 2 diabetes mellitus. The study involved 823 patients who were randomly assigned to one of four treatment groups.
UGDP reported that patients treated for 5 to 8 years with diet plus a fixed dose of tolbutamide (1.5 grams per day) had a rate of cardiovascular mortality approximately 2½ times that of patients treated with diet alone. A significant increase in total mortality was not observed, but the use of tolbutamide was discontinued based on the increase in cardiovascular mortality, thus limiting the opportunity for the study to show an increase in overall mortality. Despite controversy regarding the interpretation of these results, the findings of the UGDP study provide an adequate basis for this warning. The patient should be informed of the potential risks and advantages of glipizide and of alternative modes of therapy.
Although only one drug in the sulfonylurea class (tolbutamide) was included in this study, it is prudent from a safety standpoint to consider that this warning may also apply to other oral hypoglycemic drugs in this class, in view of their close similarities in mode of action and chemical structure.
There have been no clinical studies establishing conclusive evidence of macrovascular risk reduction with glipizide extended-release tablets or any other anti-diabetic drug.
There have been reports of obstructive symptoms in patients with known strictures in association with the ingestion of another drug with this non-dissolvable extended release formulation. Avoid use of glipizide extended-release tablets in patients with preexisting severe gastrointestinal narrowing (pathologic or iatrogenic).
The 2.5 mg tablets contain FD&C Yellow No.5 (tartrazine) which may cause allergic-type reactions (including bronchial asthma) in certain susceptible persons. Although the overall incidence of FD&C Yellow No.5 (tartrazine) sensitivity in the general population is low, it is frequently seen in patients who also have aspirin hypersensitivity.
The following serious adverse reactions are discussed in more detail below and elsewhere in the labeling:
Because clinical trials are conducted under widely varying conditions, adverse reaction rates observed in the clinical trials of a drug cannot be directly compared to rates in the clinical trials of another drug and may not reflect the rates observed in practice.
In clinical trials, 580 patients from 31 to 87 years of age received glipizide extended-release tablets in doses from 5 mg to 60 mg in both controlled and open trials. The dosages above 20 mg are not recommended dosages. In these trials, approximately 180 patients were treated with glipizide extended-release tablets for at least 6 months.
Table 1 summarizes the incidence of adverse reactions, other than hypoglycemia, that were reported in pooled double-blind, placebo-controlled trials in ≥3% of glipizide extended-release tablets-treated patients and more commonly than in patients who received placebo.
| Glipizide extended-release tablets (%)
| Placebo (%)
|
|
| ( N=278)
| (N=69)
|
|
| Adverse Effect
| ||
| Dizziness | 6.8 | 5.8 |
| Diarrhea | 5.4 | 0.0 |
| Nervousness | 3.6 | 2.9 |
| Tremor | 3.6 | 0.0 |
| Flatulence | 3.2 | 1.4 |
Hypoglycemia: Of the 580 patients that received glipizide extended-release tablets in clinical trials, 3.4% had hypoglycemia documented by a blood-glucose measurement <60 mg/dL and/or symptoms believed to be associated with hypoglycemia and 2.6% of patients discontinued for this reason. Hypoglycemia was not reported for any placebo patients.
Gastrointestinal Reactions: In clinical trials, the incidence of gastrointestinal (GI) side effects (nausea, vomiting, constipation, dyspepsia), occurred in less than 3% of glipizide extended-release tablets-treated patients and were more common in glipizide extended-release tablets-treated patients than those receiving placebo.
Dermatologic Reactions
In clinical trials, allergic skin reactions, i.e., urticaria occurred in less than 1.5% of treated patients and were more common in glipizide extended-release tablets treated patients than those receiving placebo. These may be transient and may disappear despite continued use of glipizide extended-release tablets; if skin reactions persist, the drug should be discontinued.
Laboratory Tests
Mild to moderate elevations of ALT, LDH, alkaline phosphatase, BUN and creatinine have been noted. The relationship of these abnormalities to glipizide is uncertain.
The following adverse reactions have been identified during post approval use of glipizide extended-release tablets. Because these reactions are reported voluntarily from a population of uncertain size, it is not always possible to reliably estimate their frequency or establish a causal relationship to drug exposure.
A number of medications affect glucose metabolism and may require glipizide extended-release tablets dose adjustment and close monitoring for hypoglycemia or worsening glycemic control.
The following are examples of medication that may increase the glucose lowering effect of glipizide extended-release tablets, increase the susceptibility to and/or intensity of hypoglycemia: antidiabetic agents, ACE inhibitors, angiotensin II receptor blocking agents, disopyramide, fibrates, fluoxetine, monoamine oxidase inhibitors, pentoxifylline, pramlintide, propoxyphene, salicylates, somatostatin analogs (e.g., octreotide), sulfonamide antibiotics, nonsteroidal anti-inflammatory agents, chloramphenicol, probenecid, coumarins, voriconazole, H2 receptor antagonists, and quinolones. When these medications are administered to a patient receiving glipizide extended-release tablets, monitor the patient closely for hypoglycemia. When these medications are discontinued from a patient receiving glipizide extended-release tablets, monitor the patient closely for worsening glycemic control.
The following are examples of medication that may reduce the glucose-lowering effect of glipizide extended-release tablets, leading to worsening glycemic control: atypical antipsychotics (e.g., olanzapine and clozapine), corticosteroids, danazol, diuretics, estrogens, glucagon, isoniazid, niacin, oral contraceptives, phenothiazines, progestogens (e.g., in oral contraceptives), protease inhibitors, somatropin, sympathomimetic agents (e.g., albuterol, epinephrine, terbutaline), thyroid hormones, phenytoin, nicotinic acid, and calcium channel blocking drugs. When such drugs are administered to patients receiving glipizide extended-release tablets, monitor the patients closely for worsening glycemic control. When these medications are discontinued from patients receiving glipizide extended-release tablets, monitor the patient closely for hypoglycemia.
Alcohol, beta-blockers, clonidine, and reserpine may lead to either potentiation or weakening of the glucose-lowering effect. Increased frequency of monitoring may be required when glipizide extended-release tablets is co-administered with these drugs.
The signs of hypoglycemia may be reduced or absent in patients taking sympatholytic drugs such as beta-blockers, clonidine, guanethidine, and reserpine. Increased frequency of monitoring may be required when glipizide extended-release tablets is co-administered with these drugs.
Monitor patients closely for hypoglycemia when glipizide extended-release tablets are co-administered with miconazole. A potential interaction between oral miconazole and oral hypoglycemic agents leading to severe hypoglycemia has been reported [see Clinical Phamacology (12.3)].
Monitor patients closely for hypoglycemia when glipizide extended-release tablets are co-administered with fluconazole. Concomitant treatment with fluconazole increases plasma concentrations of glipizide, which may lead to hypoglycemia [see Clinical Pharmacology (12.3)].
Glipizide extended-release tablets should be administered at least 4 hours prior to the administration of colesevelam. Colesevelam can reduce the maximum plasma concentration and total exposure of glipizide when the two are coadministered [see Clinical Pharmacology (12.3)].
Available data from a small number of published studies and postmarketing experience with glipizide extended-release tablets use in pregnancy over decades have not identified any drug associated risks for major birth defects, miscarriage, or adverse maternal outcomes. However, sulfonylureas (including glipizide) cross the placenta and have been associated with neonatal adverse reactions such as hypoglycemia. Therefore, glipizide extended-release tablets should be discontinued at least two weeks before expected delivery (see Clinical Considerations). Poorly controlled diabetes in pregnancy is also associated with risks to the mother and fetus (see Clinical Considerations). In animal studies, there were no effects on embryofetal development following administration of glipizide to pregnant rats and rabbits during organogenesis at doses 833 times and 8 times the human dose based on body surface area, respectively. However, increased pup mortality was observed in rats administered glipizide from gestation day 15 throughout lactation at doses 2 times the maximum human dose based on body surface area (see Data).
The estimated background risk of major birth defects is 6-10% in women with pre-gestational diabetes with a HbA1c >7 and has been reported to be as high as 20 to 25% in women with HbA1c >10. The estimated background risk of miscarriage for the indicated population is unknown. In the U.S. general population, the estimated background risk of major birth defects and miscarriage in clinically recognized pregnancies is 2 to 4% and 15 to 20%, respectively.
Clinical Considerations
Disease-Associated Maternal and/or Embryo/Fetal Risk
Poorly-controlled diabetes in pregnancy increases the maternal risk for diabetic ketoacidosis, pre-eclampsia, miscarriage, preterm delivery, stillbirth, and delivery complications. Poorly controlled diabetes increases the fetal risk for major birth defects, stillbirth, and macrosomia related morbidity.
Fetal/Neonatal Adverse Reactions
Neonates of women with gestational diabetes who are treated with sulfonylureas during pregnancy may be at increased risk for neonatal intensive care admission and may develop respiratory distress, hypoglycemia, birth injury, and be large for gestational age. Prolonged severe hypoglycemia, lasting 4 to 10 days, has been reported in neonates born to mothers receiving a sulfonylurea at the time of delivery and has been reported with the use of agents with a prolonged half-life. Observe newborns for symptoms of hypoglycemia and respiratory distress and manage accordingly.
Dose adjustments during pregnancy and the postpartum period
Due to reports of prolonged severe hypoglycemia in neonates born to mothers receiving a sulfonylurea at the time of delivery, glipizide extended-release tablets should be discontinued at least two weeks before expected delivery (see Fetal/Neonatal Adverse Reactions).
Data
Animal Data
In teratology studies in rats and rabbits, pregnant animals received daily oral doses of glipizide during the period of organogenesis at doses up to 2000 mg/kg/day and 10 mg/kg/day (approximately 833 and 8 times the human dose based on body surface area), respectively. There were no adverse effects on embryo-fetal development at any of the doses tested. In a peri-and postnatal study in pregnant rats, there was a reduced number of pups born alive following administration of glipizide from gestation day 15 throughout lactation through weaning at doses ≥5 mg/kg/day (about 2 times the recommended maximum human dose based on body surface area).
Breastfed infants of lactating women using glipizide extended-release tablets should be monitored for symptoms of hypoglycemia (see Clinical Considerations). Although glipizide was undetectable in human milk in one small clinical lactation study; this result is not conclusive because of the limitations of the assay used in the study. There are no data on the effects of glipizide on milk production. The developmental and health benefits of breastfeeding should be considered along with the mother's clinical need for glipizide extended-release tablets and any potential adverse effects on the breastfed child from glipizide extended-release tablets or from the underlying maternal condition.
Clinical Considerations
Monitoring for adverse reactions
Monitor breastfed infants for signs of hypoglycemia (e.g., jitters, cyanosis, apnea, hypothermia, excessive sleepiness, poor feeding, seizures).
There were no overall differences in effectiveness or safety between younger and older patients, but greater sensitivity of some individuals cannot be ruled out. Elderly patients are particularly susceptible to the hypoglycemic action of anti-diabetic agents. Hypoglycemia may be difficult to recognize in these patients. Therefore, dosing should be conservative to avoid hypoglycemia. [see Dosage and Administration (2.1), Warnings and Precautions (5.1) and Clinical Pharmacology (12.3)]
There is no information regarding the effects of hepatic impairment on the disposition of glipizide. However, since glipizide is highly protein bound and hepatic biotransformation is the predominant route of elimination, the pharmacokinetics and/or pharmacodynamics of glipizide may be altered in patients with hepatic impairment. If hypoglycemia occurs in such patients, it may be prolonged and appropriate management should be instituted. [see Dosage and Administration (2.1), Warnings and Precautions (5.1) and Clinical Pharmacology (12.3)]
Overdosage of sulfonylureas including glipizide extended-release tablets can produce severe hypoglycemia. Mild hypoglycemic symptoms without loss of consciousness or neurologic findings should be treated with oral glucose. Severe hypoglycemic reactions with coma, seizure, or other neurological impairment are medical emergencies requiring immediate treatment. The patient should be treated with glucagon or intravenous glucose. Patients should be closely monitored for a minimum of 24 to 48 hours since hypoglycemia may recur after apparent clinical recovery. Clearance of glipizide from plasma may be prolonged in persons with liver disease. Because of the extensive protein binding of glipizide, dialysis is unlikely to be of benefit.
Glipizide extended-release tablets are an oral sulfonylurea.
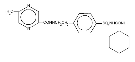
The Chemical Abstracts name of glipizide is 1-cyclohexyl-3-[[p-[2-(5-methylpyrazinecarboxamido) ethyl] phenyl]sulfonyl]urea. The molecular formula is C21H27N5O4S; the molecular weight is 445.55; the structural formula is shown below:

Glipizide, USP is a white to off-white powder, with a pKa of 5.9. It is freely soluble in dimethylformamide, soluble in 0.1N sodium hydroxide and slightly soluble in methylene chloride. Glipizide extended-release tablets are formulated as a once-a-day extended-release tablet for oral use and are designed to deliver 2.5 mg, 5 mg, or 10 mg of glipizide.
Each glipizide extended-release tablet contains the following inactive ingredients: acetyltributyl citrate, colloidal silicon dioxide, hydroxyethyl cellulose, hydroxypropyl cellulose, hypromellose, lactose monohydrate, magnesium stearate, methacrylic acid copolymer and polyethylene glycol. Additionally each 2.5 mg tablet contains: FD&C yellow #5 aluminum lake and titanium dioxide. Each 5 mg tablet contains: FD&C yellow #6 aluminum lake and titanium dioxide. The tablet is imprinted with opacode black S-1-17823 which contains following ingredients: ammonium hydroxide, iron oxide black, isopropyl alcohol, n-butyl alcohol, propylene glycol and shellac.
System Components and Performance
Glipizide extended-release tablets are formulated as once-a-day extended-release tablets and are designed to deliver glipizide at a controlled rate over approximately 20 hours. The dosage form is comprised of a hydrophilic cellulose polymer matrix tablet containing the drug which is surrounded by a seal coat followed by an enteric coating system. The enteric coat is insoluble in the low pH environment of the stomach. As the tablet passes through the stomach and enters in the higher pH environment of the small intestine, the enteric coating dissolves and/or erodes to expose the polymer matrix tablet which swells and releases the drug at a controlled rate via diffusion and/or erosion.
Glipizide primarily lowers blood glucose by stimulating the release of insulin from the pancreas, an effect dependent upon functioning beta cells in the pancreatic islets. Sulfonylureas bind to the sulfonylurea receptor in the pancreatic beta-cell plasma membrane, leading to closure of the ATP-sensitive potassium channel, thereby stimulating the release of insulin.
The insulinotropic response to a meal is enhanced with glipizide extended-release tablets administration in diabetic patients. The postprandial insulin and C-peptide responses continue to be enhanced after at least 6 months of treatment. In two randomized, double-blind, dose-response studies comprising a total of 347 patients, there was no significant increase in fasting insulin in all glipizide extended-release tablets-treated patients combined compared to placebo, although minor elevations were observed at some doses.
In studies of glipizide extended-release tablets in subjects with type 2 diabete mellitus, once daily administration produced reductions in hemoglobin A1c, fasting plasma glucose and postprandial glucose. The relationship between dose and reduction in hemoglobin A1c was not established, however subjects treated with 20 mg had a greater reduction in fasting plasma glucose compared to subjects treated with 5 mg.
The absolute bioavailability of glipizide was 100% after single oral doses in patients with type 2 diabetes mellitus. Beginning 2 to 3 hours after administration of glipizide extended-release tablets, plasma drug concentrations gradually rise reaching maximum concentrations within 6 to 12 hours after dosing. With subsequent once daily dosing of glipizide concentrations are maintained throughout the 24 hour dosing interval with less peak to trough fluctuation than that observed with twice daily dosing of immediate release glipizide.
The mean relative bioavailability of glipizide in 21 males with type 2 diabetes mellitus after administration of 20 mg glipizide extended-release tablets, compared to immediate release Glipizide (10 mg given twice daily), was 90% at steady-state. Steady-state plasma concentrations were achieved by at least the fifth day of dosing with glipizide extended-release tablets in 21 males with type 2 diabetes mellitus and patients younger than 65 years. No accumulation of drug was observed in patients with type 2 diabetes mellitus during chronic dosing with glipizide extended-release tablets.
Administration of glipizide extended-release tablets with food has no effect on the 2 to 3 hour lag time in drug absorption. In a single dose, food effect study in 21 healthy male subjects, the administration of glipizide extended-release tablets immediately before a high fat breakfast resulted in a 40% increase in the glipizide mean Cmax value, which was significant, but the effect on the AUC was not significant. There was no change in glucose response between the fed and fasting state. Markedly reduced GI retention times of the glipizide extended-release tablets over prolonged periods (e.g., short bowel syndrome) may influence the pharmacokinetic profile of the drug and potentially result in lower plasma concentrations.
In a multiple dose study in 26 males with type 2 diabetes mellitus, the pharmacokinetics of glipizide were linear with glipizide extended-release tablets in that the plasma drug concentrations increased proportionately with dose. In a single dose study in 24 healthy subjects, four 5-mg, two 10-mg, and one 20-mg glipizide extended-release tablets were bioequivalent. In a separate single dose study in 36 healthy subjects, four 2.5-mg glipizide extended-release tablets were bioequivalent to one 10-mg glipizide extended-release tablets.
Distribution
The mean volume of distribution was approximately 10 liters after single intravenous doses in patients with type 2 diabetes mellitus. Glipizide is 98–99% bound to serum proteins, primarily to albumin.
Metabolism
The major metabolites of glipizide are products of aromatic hydroxylation and have no hypoglycemic activity. A minor metabolite, an acetylamino-ethyl benzene derivative, which accounts for less than 2% of a dose, is reported to have 1/10 to 1/3 as much hypoglycemic activity as the parent compound.
Elimination
Glipizide is eliminated primarily by hepatic biotransformation: less than 10% of a dose is excreted as unchanged drug in urine and feces; approximately 90% of a dose is excreted as biotransformation products in urine (80%) and feces (10%). The mean total body clearance of glipizide was approximately 3 liters per hour after single intravenous doses in patients with type 2 diabetes mellitus. The mean terminal elimination half-life of glipizide ranged from 2 to 5 hours after single or multiple doses in patients with type 2 diabetes mellitus.
Specific Populations
Pediatric
Studies characterizing the pharmacokinetics of glipizide in pediatric patients have not been performed.
Geriatric
There were no differences in the pharmacokinetics of glipizide after single dose administration to older diabetic subjects compared to younger healthy subjects. [see Use in Specific Populations (8.5)]
Renal Impairment
The pharmacokinetics of glipizide has not been evaluated in patients with varying degree of renal impairment. Limited data indicates that glipizide biotransformation products may remain in circulation for a longer time in subjects with renal impairment than that seen in subjects with normal renal function.
Hepatic Impairment
The pharmacokinetics of glipizide has not been evaluated in patients with hepatic impairment.
Drug-drug Interactions
Miconazole
A potential interaction between oral miconazole and oral glipizide leading to severe hypoglycemia has been reported. Whether this interaction also occurs with the intravenous, topical, or vaginal preparations of miconazole is not known. [see Drug Interactions (7.2)]
Fluconazole
Concomitant treatment with fluconazole increases plasma concentrations of glipizide. The effect of concomitant administration of Diflucan®(fluconazole) and Glipizide has been demonstrated in a placebo controlled crossover study in healthy volunteers. All subjects received Glipizide alone and following treatment with 100 mg of Diflucan®as a single daily oral dose for 7 days. The mean percentage increase in the glipizide AUC after fluconazole administration was 56.9% (range: 35 to 81%). [see Drug Interactions (7.3)]
Colesevelam
Colesevelam can reduce the maximum plasma concentration and total exposure of glipizide when the two are coadministered. In studies assessing the effect of colesevelam on the pharmacokinetics of glipizide ER in healthy volunteers, reductions in glipizide AUC0-∞ and Cmax of 12% and 13%, respectively were observed when colesevelam was coadministered with glipizide ER. When glipizide ER was administered 4 hours prior to colesevelam, there was no significant change in glipizide AUC0-∞ or Cmax, -4% and 0%, respectively. [see Drug Interactions (7.4)]
A twenty month study in rats and an eighteen month study in mice at doses up to 75 times the maximum human dose revealed no evidence of drug-related carcinogenicity. Bacterial and in vivo mutagenicity tests were uniformly negative. Studies in rats of both sexes at doses up to 20 times the human dose based on body surface area showed no effects on fertility.
Glipizide Extended-release Tablets, 2.5 mg are yellow colored, round, biconvex film-coated tablets imprinted with "2" on one side with black ink and plain on the other side and are supplied as follows:
NDC: 16714-894-01 in bottle of 30 tablets
Glipizide Extended-release Tablets, 5 mg are orange colored, round, biconvex film-coated tablets imprinted with "3" on one side with black ink and plain on the other side and are supplied as follows:
NDC: 16714-895-01 in bottle of 100 tablets
NDC: 16714-895-02 in bottle of 500 tablets
Glipizide Extended-release Tablets, 10 mg are white colored, round, biconvex film-coated tablets imprinted with "4" on one side and plain on the other side and are supplied as follows:
NDC: 16714-896-01 in bottle of 100 tablets
NDC: 16714-896-02 in bottle of 500 tablets
Storage:
The tablets should be protected from moisture and humidity.
Store at 20° to 25°C (68° to 77°F) [See USP Controlled Room Temperature].
Advise the patient to read the FDA-approved patient labeling (Patient Information).
Inform patients of the potential adverse reactions of glipizide extended-release tablets including hypoglycemia. Explain the risks of hypoglycemia, its symptoms and treatment, and conditions that predispose to its development to patients and responsible family members. Also inform patients about the importance of adhering to dietary instructions, of a regular exercise program, and of regular testing of glycemic control.
Inform patients that glipizide extended-release tablets should be swallowed whole. Inform patients that they should not chew, divide or crush tablets.
Pregnancy
Advise females of reproductive potential to inform their prescriber of a known or suspected pregnancy [see Use in Specific Populations (8.1)].
Lactation
Advise breastfeeding women taking glipizide extended-release tablets to monitor breastfed infants for signs of hypoglycemia (e.g., jitters,cyanosis, hypothermia, excessive sleepiness, poor feeding, seizures) [see Use in Specific Populations (8.2)].
The 2.5 mg tablets contain FD&C Yellow No.5 (tartrazine) which may cause allergic-type reactions (including bronchial asthma) in certain susceptible persons. Although the overall incidence of FD&C Yellow No.5 (tartrazine) sensitivity in the general population is low, it is frequently seen in patients who also have aspirin hypersensitivity.
Trademarks are the property of their respective owners.
Glipizide (GLIP-i-zide) Extended-release Tablets
The 2.5 mg tablets contain FD&C Yellow No. 5 (tartrazine) which may cause allergic-type reactions (including bronchial asthma) in certain susceptible persons. Although the overall incidence of FD&C Yellow No. 5 (tartrazine) sensitivity in the general population is low, it is frequently seen in patients who also have aspirin hypersensitivity.
What are glipizide extended-release tablets?
It is not known if glipizide extended-release tablets are safe and effective in children under 18 years of age.
Who should not take glipizide extended-release tablets?
Do not use glipizide extended-release tablets if you:
What should I tell my doctor before taking glipizide extended-release tablets?
Before you take glipizide extended-release tablets, tell your healthcare provider if you:
Tell your doctor about all the medicines you take, including prescription and over-the-counter medicines, vitamins, and herbal supplements.
Glipizide extended-release tablets may affect the way other medicines work, and other medicines may affect how glipizide extended-release tablets works.
Some medicines can affect how well glipizide extended-release tablets works or may affect you blood sugar level. Know the medicines you take. Keep a list of them and show it to your healthcare provider and pharmacist when you get a new medicine.
How should I take glipizide extended-release tablets?
What should I avoid while taking glipizide extended-release tablets?
What are the possible side effects of glipizide extended-release tablets?
Glipizide extended-release tablets can cause serious side effects, including:
If you have signs or symptoms of low blood sugar, eat or drink something with sugar in it right away. If you do not feel better or your blood sugar level does not go up, call your healthcare provider or go to the nearest emergency room.
The most common side effects of glipizide extended-release tablets include: dizziness, diarrhea, nervousness, tremor, and gas.
These are not all the possible side effects of glipizide extended-release tablets. For more information, ask your healthcare provider or pharmacist.
Call your doctor for medical advice about side effects. You may report side effects to FDA at 1-800-FDA-1088.
How to store glipizide extended-release tablets?
General information about the safe and effective use of glipizide extended-release tablets Medicines are sometimes prescribed for purposes other than those listed in a patient information leaflet. Do not use glipizide extended-release tablets for a condition for which it was not prescribed. Do not give glipizide extended-release tablets to other people, even if they have the same symptoms you have. It may harm them.
This Patient Information summarizes the most important information about glipizide extended-release tablets. If you would like more information, talk with your healthcare provider. You can ask your pharmacist or healthcare provider for information about glipizide extended-release tablets that is written for healthcare professionals.
Please address all medical inquiries to, Northstar Rx LLC at Tel.: 1-800-206-7821.
What are the ingredients in glipizide extended-release tablets?
Active ingredient: Glipizide
Inactive ingredients: acetyltributyl citrate, colloidal silicon dioxide, hydroxyethyl cellulose, hydroxypropyl cellulose, hypromellose, lactose monohydrate, magnesium stearate, methacrylic acid copolymer and polyethylene glycol. Additionally each 2.5 mg tablet contains: FD&C yellow #5 aluminum lake and titanium dioxide. Each 5 mg tablet contains: FD&C yellow #6 aluminum lake and titanium dioxide. The tablet is imprinted with opacode black S-1-17823 which contains following ingredients: ammonium hydroxide, iron oxide black, isopropyl alcohol, n-butyl alcohol, propylene glycol and shellac.
This Patient Information has been approved by the U.S. Food and Drug Administration
NDC: 16714-894-01 in bottle of 30 tablets
Glipizide Extended-release Tablets, 2.5 mg
Rx only
30 tablets

NDC: 16714-895-01 in bottle of 100 tablets
Glipizide Extended-release Tablets, 5 mg
Rx only
100 tablets

NDC: 16714-896-01 in bottle of 100 tablets
Glipizide Extended-release Tablets, 10 mg
Rx only
100 tablets

| GLIPIZIDE
glipizide tablet, extended release |
||||||||||||||||||||||||||||||||||||||||
|
||||||||||||||||||||||||||||||||||||||||
|
||||||||||||||||||||||||||||||||||||||||
|
||||||||||||||||||||||||||||||||||||||||
|
||||||||||||||||||||||||||||||||||||||||
|
||||||||||||||||||||||||||||||||||||||||
|
||||||||||||||||||||||||||||||||||||||||
| GLIPIZIDE
glipizide tablet, extended release |
||||||||||||||||||||||||||||||||||||||
|
||||||||||||||||||||||||||||||||||||||
|
||||||||||||||||||||||||||||||||||||||
|
||||||||||||||||||||||||||||||||||||||
|
||||||||||||||||||||||||||||||||||||||
|
||||||||||||||||||||||||||||||||||||||
|
||||||||||||||||||||||||||||||||||||||
| GLIPIZIDE
glipizide tablet, extended release |
||||||||||||||||||||||||||||||||||
|
||||||||||||||||||||||||||||||||||
|
||||||||||||||||||||||||||||||||||
|
||||||||||||||||||||||||||||||||||
|
||||||||||||||||||||||||||||||||||
|
||||||||||||||||||||||||||||||||||
|
||||||||||||||||||||||||||||||||||
| Labeler - Northstar Rx LLC. (830546433) |
| Registrant - Zydus Pharmaceuticals (USA) Inc. (156861945) |
| Establishment | |||
| Name | Address | ID/FEI | Business Operations |
|---|---|---|---|
| Cadila Healthcare Limited | 918596198 | ANALYSIS(16714-894, 16714-895, 16714-896) , MANUFACTURE(16714-894, 16714-895, 16714-896) | |