DOXIL- doxorubicin hydrochloride injection, suspension, liposomal

DOXIL by

Drug Labeling and Warnings

DOXIL by is a Prescription medication manufactured, distributed, or labeled by Baxter Healthcare Corporation. Drug facts, warnings, and ingredients follow.

Drug Details [pdf]

  • BOXED WARNING (What is this?)

    WARNING: CARDIOMYOPATHY and INFUSION-RELATED REACTIONS

    • DOXIL liposomal infusion can cause myocardial damage, including acute left ventricular failure. The risk of cardiomyopathy was 11% when the cumulative anthracycline dose was between 450 mg/m2 to 550 mg/m2. Assess left ventricular cardiac function prior to initiation of DOXIL liposomal infusion and during and after treatment [see Warnings and Precautions (5.1)].
    • Serious, life-threatening, and fatal infusion-related reactions can occur with DOXIL liposomal infusion Acute infusion-related reactions occurred in 11% of patients with solid tumors. Withhold DOXIL liposomal infusion for infusion-related reactions and resume at a reduced rate. Discontinue DOXIL liposomal infusion for serious or life-threatening infusion-related reactions [see Warnings and Precautions (5.2)].
  • 1 INDICATIONS AND USAGE

    1.1 Ovarian Cancer

    DOXIL liposomal infusion is indicated for the treatment of patients with ovarian cancer whose disease has progressed or recurred after platinum-based chemotherapy.

    1.2 AIDS-Related Kaposi’s Sarcoma

    DOXIL liposomal infusion is indicated for the treatment of AIDS-related Kaposi's sarcoma in patients after failure of prior systemic chemotherapy or intolerance to such therapy.

    1.3 Multiple Myeloma

    DOXIL liposomal infusion, in combination with bortezomib, is indicated for the treatment of patients with multiple myeloma who have not previously received bortezomib and have received at least one prior therapy.

  • 2 DOSAGE AND ADMINISTRATION

    2.1 Important Use Information

    Do not substitute DOXIL liposomal infusion for other doxorubicin hydrochloride products.

    Do not administer as an undiluted suspension or as an intravenous bolus [see Warnings and Precautions (5.2)].

    2.2 Ovarian Cancer

    The recommended dose of DOXIL liposomal infusion is 50 mg/m2 intravenously over 60 minutes every 28 days until disease progression or unacceptable toxicity.

    2.3 AIDS-Related Kaposi’s Sarcoma

    The recommended dose of DOXIL liposomal infusion is 20 mg/m2 intravenously over 60 minutes every 21 days until disease progression or unacceptable toxicity.

    2.4 Multiple Myeloma

    The recommended dose of DOXIL liposomal infusion is 30 mg/m2 intravenously over 60 minutes on day 4 of each 21-day cycle for eight cycles or until disease progression or unacceptable toxicity. Administer DOXIL liposomal infusion after bortezomib on day 4 of each cycle [see Clinical Studies (14.3)].

    2.5 Dose Modifications for Adverse Reactions

    Do not increase DOXIL liposomal infusion after a dose reduction for toxicity.

    Table 1: Recommended Dose Modifications for Hand-Foot Syndrome, Stomatitis, or Hematologic Adverse Reactions
    ToxicityDose Adjustment
    Hand-Foot Syndrome (HFS)

    Grade 1: Mild erythema, swelling, or desquamation not interfering with daily activities

    • If no previous Grade 3 or 4 HFS: no dose adjustment.
    • If previous Grade 3 or 4 HFS: delay dose up to 2 weeks, then decrease dose by 25%.

    Grade 2: Erythema, desquamation, or swelling interfering with, but not precluding normal physical activities; small blisters or ulcerations less than 2 cm in diameter

    • Delay dosing up to 2 weeks or until resolved to Grade 0–1.
    • Discontinue DOXIL liposomal infusion if no resolution after 2 weeks.
    • If resolved to Grade 0–1 within 2 weeks:
      • o And no previous Grade 3 or 4 HFS: continue treatment at previous dose.
      • o And previous Grade 3 or 4 toxicity: decrease dose by 25%.

    Grade 3: Blistering, ulceration, or swelling interfering with walking or normal daily activities; cannot wear regular clothing

    • Delay dosing up to 2 weeks or until resolved to Grade 0–1, then decrease dose by 25%.
    • Discontinue DOXIL liposomal infusion if no resolution after 2 weeks.

    Grade 4: Diffuse or local process causing infectious complications, or a bed ridden state or hospitalization

    • Delay dosing up to 2 weeks or until resolved to Grade 0–1, then decrease dose by 25%.
    • Discontinue DOXIL liposomal infusion if no resolution after 2 weeks.

    Stomatitis

    Grade 1: Painless ulcers, erythema, or mild soreness

    • If no previous Grade 3 or 4 toxicity: no dose adjustment.
    • If previous Grade 3 or 4 toxicity: delay up to 2 weeks then decrease dose by 25%.

    Grade 2: Painful erythema, edema, or ulcers, but can eat

    • Delay dosing up to 2 weeks or until resolved to Grade 0–1.
    • Discontinue DOXIL liposomal infusion if there is no resolution after 2 weeks.
    • If resolved to Grade 0–1 within 2 weeks:
      • o And no previous Grade 3 or 4 stomatitis: resume treatment at previous dose.
      • o And previous Grade 3 or 4 toxicity: decrease dose by 25%.

    Grade 3: Painful erythema, edema, or ulcers, and cannot eat

    • Delay dosing up to 2 weeks or until resolved to Grade 0–1. Decrease dose by 25% and return to original dose interval.
    • If after 2 weeks there is no resolution, discontinue DOXIL liposomal infusion.

    Grade 4: Requires parenteral or enteral support

    • Delay dosing up to 2 weeks or until resolved to Grade 0–1. Decrease dose by 25% and return to original dose interval.
    • If after 2 weeks there is no resolution, discontinue DOXIL liposomal infusion.

    Neutropenia or Thrombocytopenia

    Grade 1

    No dose reduction

    Grade 2

    Delay until ANC ≥ 1,500 and platelets ≥ 75,000; resume treatment at previous dose

    Grade 3

    Delay until ANC ≥ 1,500 and platelets ≥ 75,000; resume treatment at previous dose

    Grade 4

    Delay until ANC ≥ 1,500 and platelets ≥ 75,000; resume at 25% dose reduction or continue previous dose with prophylactic granulocyte growth factor

    Table 2: Recommended Dose Modifications of DOXIL Liposomal Infusion for Toxicity When Administered in Combination With Bortezomib
    ToxicityDOXIL Liposomal Infusion

    Fever ≥38°C and ANC <1,000/mm3

    • Withhold dose for this cycle if before Day 4;
    • Decrease dose by 25%, if after Day 4 of previous cycle.

    On any day of drug administration after Day 1 of each cycle:

    • Platelet count <25,000/mm3
    • Hemoglobin <8 g/dL
    • ANC <500/mm3
    • Withhold dose for this cycle if before Day 4;
    • Decrease dose by 25%, if after Day 4 of previous cycle AND if bortezomib is reduced for hematologic toxicity.

    Grade 3 or 4 non-hematologic drug related toxicity

    Do not dose until recovered to Grade <2, then reduce dose by 25%.

    For neuropathic pain or peripheral neuropathy, no dosage adjustments are required for DOXIL liposomal infusion. Refer to bortezomib manufacturer’s prescribing information.

    2.6 Preparation and Administration

    Preparation

    Dilute DOXIL liposomal infusion doses up to 90 mg in 250 mL of 5% Dextrose Injection, USP prior to administration. Dilute doses exceeding 90 mg in 500 mL of 5% Dextrose Injection, USP prior to administration. Refrigerate diluted DOXIL liposomal infusion at 2°C to 8°C (36°F to 46°F) and administer within 24 hours.

    Administration

    Inspect parenteral drug products visually for particulate matter and discoloration prior to administration, whenever solution and container permit. Do not use if a precipitate or foreign matter is present.

    Do not use with in-line filters.

    Administer the first dose of DOXIL liposomal infusion at an initial rate of 1 mg/min. If no infusion-related adverse reactions are observed, increase the infusion rate to complete the administration of the drug over one hour [see Warnings and Precautions (5.2)]. Do not rapidly flush the infusion line.

    Do not mix DOXIL liposomal infusion with other drugs.

    Management of Suspected Extravasation

    Discontinue DOXIL liposomal infusion for burning or stinging sensation or other evidence indicating perivenous infiltration or extravasation. Manage confirmed or suspected extravasation as follows:

    • Do not remove the needle until attempts are made to aspirate extravasated fluid
    • Do not flush the line
    • Avoid applying pressure to the site
    • Apply ice to the site intermittently for 15 minute 4 times a day for 3 days
    • If the extravasation is in an extremity, elevate the extremity

    2.7 Procedure for Proper Handling and Disposal

    DOXIL liposomal infusion is a hazardous drug. Follow applicable special handling and disposal procedures.1 If DOXIL liposomal infusion comes into contact with skin or mucosa, immediately wash thoroughly with soap and water.

  • 3 DOSAGE FORMS AND STRENGTHS

    DOXIL (doxorubicin hydrochloride liposome injection): 20 mg/10 mL (2 mg/mL) and 50 mg/25 mL (2 mg/mL) translucent, red liposomal dispersion in single dose vials.

  • 4 CONTRAINDICATIONS

    DOXIL liposomal infusion is contraindicated in patients who have a history of severe hypersensitivity reactions, including anaphylaxis, to doxorubicin hydrochloride [see Warnings and Precautions (5.2)].

  • 5 WARNINGS AND PRECAUTIONS

    5.1 Cardiomyopathy

    Doxorubicin hydrochloride can cause myocardial damage, including acute left ventricular failure. The risk of cardiomyopathy with doxorubicin hydrochloride is generally proportional to the cumulative exposure. Include prior use of other anthracyclines or anthracenediones in calculations of cumulative dose. The risk of cardiomyopathy may be increased at lower cumulative doses in patients with prior mediastinal irradiation.

    In a clinical study in 250 patients with advanced cancer who were treated with DOXIL liposomal infusion, the risk of cardiomyopathy was 11% when the cumulative anthracycline dose was between 450 mg/m2 to 550 mg/m2. Cardiomyopathy was defined as >20% decrease in resting left ventricular ejection fraction (LVEF) from baseline where LVEF remained in the normal range or a >10% decrease in LVEF from baseline where LVEF was less than the institutional lower limit of normal. Two percent of patients developed signs and symptoms of congestive heart failure without documented evidence of cardiomyopathy.

    Assess left ventricular cardiac function (e.g. MUGA or echocardiogram) prior to initiation of DOXIL liposomal infusion, during treatment to detect acute changes, and after treatment to detect delayed cardiomyopathy. Administer DOXIL liposomal infusion to patients with a history of cardiovascular disease only when the potential benefit of treatment outweighs the risk.

    5.2 Infusion-Related Reactions

    Serious, life-threatening, and fatal infusion-related reactions characterized by one or more of the following symptoms can occur with DOXIL liposomal infusion: flushing, shortness of breath, facial swelling, headache, chills, chest pain, back pain, tightness in the chest and throat, fever, tachycardia, pruritus, rash, cyanosis, syncope, bronchospasm, asthma, apnea, and hypotension. Of 239 patients with ovarian cancer treated with DOXIL liposomal infusion in Trial 4, 7% of patients experienced acute infusion-related reactions resulting in dose interruption. All occurred during cycle 1 and none during subsequent cycles. Across multiple studies of DOXIL liposomal infusion monotherapy including this and other studies enrolling 760 patients with various solid tumors, 11% of patients had infusion-related reactions. The majority of infusion-related events occurred during the first infusion.

    Ensure that medications to treat infusion-related reactions and cardiopulmonary resuscitative equipment are available for immediate use prior to initiation of DOXIL liposomal infusion. Initiate DOXIL liposomal infusions at a rate of 1 mg/min and increase rate as tolerated [see Dosage and Administration (2.6)]. Withhold DOXIL liposomal infusion for Grade 1, 2, or 3 infusion-related reactions and resume at a reduced infusion rate. Discontinue DOXIL liposomal infusion for serious or life-threatening infusion-related reactions.

    5.3 Hand-Foot Syndrome (HFS)

    In Trial 4, the incidence of HFS was 51% of patients in the DOXIL liposomal infusion arm and 0.9% of patients in the topotecan arm, including 24% Grade 3 or 4 cases of HFS in DOXIL liposomal infusion-treated patients and no Grade 3 or 4 cases in topotecan-treated patients. HFS or other skin toxicity required discontinuation of DOXIL liposomal infusion in 4.2% of patients.

    HFS was generally observed after 2 or 3 cycles of treatment but may occur earlier. Delay DOXIL liposomal infusion for the first episode of Grade 2 or greater HFS [see Dosage and Administration (2.5)]. Discontinue DOXIL liposomal infusion if HFS is severe and debilitating.

    5.4 Secondary Oral Neoplasms

    Secondary oral cancers, primarily squamous cell carcinoma, have been reported from post-marketing experience in patients with long-term (more than one year) exposure to DOXIL liposomal infusion. These malignancies were diagnosed both during treatment with DOXIL liposomal infusion and up to 6 years after the last dose. Examine patients at regular intervals for the presence of oral ulceration or with any oral discomfort that may be indicative of secondary oral cancer.

    The altered pharmacokinetics and preferential tissue distribution of liposomal doxorubicin that contributes to enhanced skin toxicity and mucositis compared to free doxorubicin may play a role in the development of oral secondary malignancies with long-term use.

    5.5 Embryo-Fetal Toxicity

    Based on findings in animals and its mechanism of action, DOXIL liposomal infusion can cause fetal harm when administered to a pregnant woman; avoid the use of DOXIL liposomal infusion during the 1st trimester. Available human data do not establish the presence or absence of major birth defects and miscarriage related to the use of doxorubicin hydrochloride during the 2nd and 3rd trimesters. At doses approximately 0.12 times the recommended clinical dose, DOXIL liposomal infusion was embryotoxic and abortifacient in rabbits. Advise pregnant women of the potential risk to a fetus. Advise females and males of reproductive potential to use effective contraception during and for 6 months after treatment with DOXIL liposomal infusion. [see Use in Specific Populations (8.1, 8.3)].

  • 6 ADVERSE REACTIONS

    The following adverse reactions are discussed in more detail in other sections of the labeling.

    6.1 Clinical Trials Experience

    Because clinical trials are conducted under widely varying conditions, the adverse reaction rates observed cannot be directly compared to rates on other clinical trials and may not reflect the rates observed in clinical practice.

    The safety data reflect exposure to DOXIL liposomal infusion in 1310 patients including: 239 patients with ovarian cancer, 753 patients with AIDS-related Kaposi’s sarcoma, and 318 patients with multiple myeloma.

    The most common adverse reactions (>20%) observed with DOXIL liposomal infusion are asthenia, fatigue, fever, nausea, stomatitis, vomiting, diarrhea, constipation, anorexia, hand-foot syndrome, rash and neutropenia, thrombocytopenia and anemia.

    The following tables present adverse reactions from clinical trials of single-agent DOXIL liposomal infusion in ovarian cancer and AIDS-Related Kaposi’s sarcoma.

    Patients With Ovarian Cancer

    The safety data described below are from Trial 4, which included 239 patients with ovarian cancer treated with DOXIL liposomal infusion 50 mg/m2 once every 4 weeks for a minimum of four courses in a randomized, multicenter, open-label study. In this trial, patients received DOXIL liposomal infusion for a median number of 3.2 months (range 1 day to 25.8 months). The median age of the patients is 60 years (range 27 to 87), with 91% Caucasian, 6% Black, and 3% Hispanic or Other.

    Table 3 presents the hematologic adverse reactions from Trial 4.

    Table 3: Hematologic Adverse Reactions in Trial 4
    DOXIL Liposomal Infusion
    Patients
    (n=239)
    Topotecan
    Patients
    (n=235)

    Neutropenia

      500 – <1000/mm3

    8%

    14%

      <500/mm3

    4.2%

    62%

    Anemia

      6.5 – <8 g/dL

    5%

    25%

      < 6.5 g/dL

    0.4%

    4.3%

    Thrombocytopenia

      10,000 – <50,000/mm3

    1.3%

    17%

      <10,000/mm3

    0.0%

    17%

    Table 4 presents the non-hematologic adverse reactions from Trial 4.

    Table 4: Non-Hematologic Adverse Reactions in Trial 4
    Non-Hematologic
    Adverse Reaction
    10% or Greater
    DOXIL Liposomal Infusion (%) treated
    (n=239)
    Topotecan (%)
    treated
    (n=235)
    All gradesGrades 3–4All gradesGrades 3–4

      Body as a Whole

        Asthenia

    40

    7

    52

    8

        Fever

    21

    0.8

    31

    6

        Mucous Membrane Disorder

    14

    3.8

    3.4

    0

        Back Pain

    12

    1.7

    10

    0.9

        Infection

    12

    2.1

    6

    0.9

        Headache

    11

    0.8

    15

    0

      Digestive

        Nausea

    46

    5

    63

    8

        Stomatitis

    41

    8

    15

    0.4

        Vomiting

    33

    8

    44

    10

        Diarrhea

    21

    2.5

    35

    4.2

        Anorexia

    20

    2.5

    22

    1.3

        Dyspepsia

    12

    0.8

    14

    0

      Nervous

        Dizziness

    4.2

    0

    10

    0

      Respiratory

        Pharyngitis

    16

    0

    18

    0.4

        Dyspnea

    15

    4.1

    23

    4.3

        Cough increased

    10

    0

    12

    0

      Skin and Appendages

        Hand-foot syndrome

    51

    24

    0.9

    0

        Rash

    29

    4.2

    12

    0.4

        Alopecia

    19

    N/A

    52

    N/A

    The following additional adverse reactions were observed in patients with ovarian cancer with doses administered every four weeks (Trial 4).

    Incidence 1% to 10%

    Cardiovascular: vasodilation, tachycardia, deep vein thrombosis, hypotension, cardiac arrest.

    Digestive: oral moniliasis, mouth ulceration, esophagitis, dysphagia, rectal bleeding, ileus.

    Hematologic and Lymphatic: ecchymosis.

    Metabolic and Nutritional: dehydration, weight loss, hyperbilirubinemia, hypokalemia, hypercalcemia, hyponatremia.

    Nervous: somnolence, dizziness, depression.

    Respiratory: rhinitis, pneumonia, sinusitis, epistaxis.

    Skin and Appendages: pruritus, skin discoloration, vesiculobullous rash, maculopapular rash, exfoliative dermatitis, herpes zoster, dry skin, herpes simplex, fungal dermatitis, furunculosis, acne.

    Special Senses: conjunctivitis, taste perversion, dry eyes.

    Urinary: urinary tract infection, hematuria, vaginal moniliasis.

    Patients With AIDS-Related Kaposi’s Sarcoma

    The safety data described is based on the experience reported in 753 patients with AIDS-related Kaposi’s sarcoma (KS) enrolled in four open-label, uncontrolled trials of DOXIL liposomal infusion administered at doses ranging from 10 to 40 mg/m2 every 2 to 3 weeks. Demographics of the population were: median age 38.7 years (range 24–70); 99% male; 88% Caucasian, 6% Hispanic, 4% Black, and 2% Asian/other/unknown. The majority of patients were treated with 20 mg/m2 of DOXIL liposomal infusion every 2 to 3 weeks with a median exposure of 4.2 months (range 1 day to 26.6 months). The median cumulative dose was 120 mg/m2 (range 3.3 to 798.6 mg/m2); 3% received cumulative doses of greater than 450 mg/m2.

    Disease characteristics were: 61% poor risk for KS tumor burden, 91% poor risk for immune system, and 47% poor risk for systemic illness; 36% were poor risk for all three categories; median CD4 count 21 cells/mm3 (51% less than 50 cells/mm3); mean absolute neutrophil count at study entry approximately 3,000 cells/mm3.

    Of the 693 patients with concomitant medication information, 59% were on one or more antiretroviral medications [35% zidovudine (AZT), 21% didanosine (ddI), 16% zalcitabine (ddC), and 10% stavudine (D4T)]; 85% received PCP prophylaxis (54% sulfamethoxazole/trimethoprim); 85% received antifungal medications (76% fluconazole); 72% received antivirals (56% acyclovir, 29% ganciclovir, and 16% foscarnet) and 48% patients received colony-stimulating factors (sargramostim/filgrastim) during their course of treatment.

    Adverse reactions led to discontinuation of treatment in 5% of patients with AIDS-related Kaposi’s sarcoma and included myelosuppression, cardiac adverse reactions, infusion-related reactions, toxoplasmosis, HFS, pneumonia, cough/dyspnea, fatigue, optic neuritis, progression of a non-KS tumor, allergy to penicillin, and unspecified reasons. Table 5 and Table 6 summarize adverse reactions reported in patients treated with DOXIL liposomal infusion for AIDS-related Kaposi’s sarcoma in a pooled analysis of the four trials.

    Table 5: Hematologic Adverse Reactions Reported in Patients With AIDS-Related Kaposi’s Sarcoma
    Patients With Refractory or
    Intolerant AIDS-Related Kaposi’s
    Sarcoma
    (n=74
    *)
    Total Patients With AIDS-Related
    Kaposi’s Sarcoma
    (n=720
    )
  • * This includes a subset of subjects who were retrospectively identified as having disease progression on prior systemic combination chemotherapy (at least 2 cycles of a regimen containing at least 2 of 3 treatments: bleomycin, vincristine or vinblastine, or doxorubicin) or as being intolerant to such therapy.
  • This includes only subjects with AIDS-KS who had available data from the 4 pooled trials.
  • Neutropenia

      < 1000/mm3

    46%

    49%

      < 500/mm3

    11%

    13%

    Anemia

      < 10 g/dL

    58%

    55%

      < 8 g/dL

    16%

    18%

    Thrombocytopenia

      < 150,000/mm3

    61%

    61%

      < 25,000/mm3

    1.4%

    4.2%

    Table 6: Non-Hematologic Adverse Reactions Reported in ≥ 5% of Patients With AIDS-Related Kaposi’s Sarcoma
    Adverse ReactionsPatients With Refractory or
    Intolerant AIDS-Related Kaposi’s
    Sarcoma
    (n=77
    *)
    Total Patients With AIDS-Related
    Kaposi’s Sarcoma
    (n=705
    )
  • * This includes a subset of subjects who were retrospectively identified as having disease progression on prior systemic combination chemotherapy (at least 2 cycles of a regimen containing at least 2 of 3 treatments: bleomycin, vincristine or vinblastine, or doxorubicin) or as being intolerant to such therapy.
  • This includes only subjects with AIDS-KS who had available adverse event data from the 4 pooled trials.
  • Nausea

    18%

    17%

    Asthenia

    7%

    10%

    Fever

    8%

    9%

    Alopecia

    9%

    9%

    Alkaline Phosphatase Increase

    1.3%

    8%

    Vomiting

    8%

    8%

    Diarrhea

    5%

    8%

    Stomatitis

    5%

    7%

    Oral Moniliasis

    1.3%

    6%

    The following additional adverse reactions were observed in 705 patients with AIDS-related Kaposi’s sarcoma.

    Incidence 1% to 5%

    Body as a Whole: headache, back pain, infection, allergic reaction, chills.

    Cardiovascular: chest pain, hypotension, tachycardia.

    Cutaneous: herpes simplex, rash, itching.

    Digestive: mouth ulceration, anorexia, dysphagia.

    Metabolic and Nutritional: SGPT increase, weight loss, hyperbilirubinemia.

    Other: dyspnea, pneumonia, dizziness, somnolence.

    Incidence Less Than 1%

    Body As A Whole: sepsis, moniliasis, cryptococcosis.

    Cardiovascular: thrombophlebitis, cardiomyopathy, palpitation, bundle branch block, congestive heart failure, heart arrest, thrombosis, ventricular arrhythmia.

    Digestive: hepatitis.

    Metabolic and Nutritional Disorders: dehydration.

    Respiratory: cough increase, pharyngitis.

    Skin and Appendages: maculopapular rash, herpes zoster.

    Special Senses: taste perversion, conjunctivitis.

    Patients With Multiple Myeloma

    The safety data described are from 318 patients treated with DOXIL liposomal infusion (30 mg/m2) administered on day 4 following bortezomib (1.3 mg/m2 i.v. bolus on days 1, 4, 8 and 11) every 3 weeks, in a randomized, open-label, multicenter study (Trial 6). In this trial, patients in the DOXIL liposomal infusion + bortezomib combination group were treated for a median number of 4.5 months (range 21 days to 13.5 months). The population was 28 to 85 years of age (median age 61), 58% male, 90% Caucasian, 6% Black, and 4% Asian and Other. Table 7 lists adverse reactions reported in 10% or more of patients treated with DOXIL liposomal infusion in combination with bortezomib for multiple myeloma.

    Table 7: Frequency of Treatment-Emergent Adverse Reactions Reported in ≥10% Patients Treated for Multiple Myeloma With DOXIL Liposomal Infusion in Combination With Bortezomib
    Adverse ReactionDOXIL Liposomal Infusion +
    bortezomib
    (n=318)
    Bortezomib
    (n=318)
    Any (%)Grade 3–4Any (%)Grade 3–4
  • * Peripheral neuropathy includes the following adverse reactions: peripheral sensory neuropathy, neuropathy peripheral, polyneuropathy, peripheral motor neuropathy, and neuropathy NOS.
  • Rash includes the following adverse reactions: rash, rash erythematous, rash macular, rash maculo-papular, rash pruritic, exfoliative rash, and rash generalized.
  • Blood and lymphatic system disorders

    Neutropenia

    36

    32

    22

    16

    Thrombocytopenia

    33

    24

    28

    17

    Anemia

    25

    9

    21

    9

    General disorders and administration site conditions

    Fatigue

    36

    7

    28

    3

    Pyrexia

    31

    1

    22

    1

    Asthenia

    22

    6

    18

    4

    Gastrointestinal disorders

    Nausea

    48

    3

    40

    1

    Diarrhea

    46

    7

    39

    5

    Vomiting

    32

    4

    22

    1

    Constipation

    31

    1

    31

    1

    Mucositis/Stomatitis

    20

    2

    5

    <1

    Abdominal pain

    11

    1

    8

    1

    Infections and infestations

    Herpes zoster

    11

    2

    9

    2

    Herpes simplex

    10

    0

    6

    1

    Investigations

    Weight decreased

    12

    0

    4

    0

    Metabolism and Nutritional disorders

    Anorexia

    19

    2

    14

    <1

    Nervous system disorders

    Peripheral Neuropathy*

    42

    7

    45

    11

    Neuralgia

    17

    3

    20

    4

    Paresthesia/dysesthesia

    13

    <1

    10

    0

    Respiratory, thoracic and mediastinal disorders

    Cough

    18

    0

    12

    0

    Skin and subcutaneous tissue disorders

    Rash

    22

    1

    18

    1

    Hand-foot syndrome

    19

    6

    <1

    0

    6.2 Postmarketing Experience

    The following additional adverse reactions have been identified during postapproval use of DOXIL liposomal infusion. Because these reactions are reported voluntarily from a population of uncertain size, it is not always possible to reliably estimate their frequency or establish a causal relationship to drug exposure.

    Musculoskeletal and Connective Tissue Disorders: muscle spasms

    Respiratory, Thoracic and Mediastinal Disorders: pulmonary embolism (in some cases fatal), interstitial lung disease

    Hematologic Disorders: Secondary acute myelogenous leukemia

    Skin and Subcutaneous Tissue Disorders: erythema multiforme, Stevens‑Johnson syndrome, toxic epidermal necrolysis, lichenoid keratosis

    Secondary Oral Neoplasms: [see Warnings and Precautions (5.4)].

  • 7 DRUG INTERACTIONS

    No formal drug interaction studies have been conducted with DOXIL liposomal infusion.

  • 8 USE IN SPECIFIC POPULATIONS

    8.1 Pregnancy

    Risk Summary

    Based on findings in animals and its mechanism of action, DOXIL liposomal infusion can cause fetal harm when administered to a pregnant woman; avoid the use of DOXIL liposomal infusion during the 1st trimester. In animal reproduction studies, DOXIL liposomal infusion was embryotoxic in rats and abortifacient in rabbits following intravenous administration during organogenesis at doses approximately 0.12 times the recommended clinical dose (see Data). Available human data do not establish the presence or absence of major birth defects and miscarriage related to the use of doxorubicin hydrochloride during the 2nd and 3rd trimesters. Advise pregnant women of the potential risk to a fetus.

    The background risk of major birth defects and miscarriage for the indicated populations are unknown. However, the background risk in the U.S. general population of major birth defects is 2–4% and of miscarriage is 15–20% of clinically recognized pregnancies.

    Data

    Animal Data

    DOXIL liposomal infusion was embryotoxic at doses of 1 mg/kg/day in rats and was embryotoxic and abortifacient at 0.5 mg/kg/day in rabbits (both doses are about 0.12 times the recommended dose of 50 mg/m2 human dose on a mg/m2 basis). Embryotoxicity was characterized by increased embryo-fetal deaths and reduced live litter sizes.

    8.2 Lactation

    Risk Summary

    It is not known whether DOXIL liposomal infusion is present in human milk. Because many drugs, including anthracyclines, are excreted in human milk and because of the potential for serious adverse reactions in breastfed infants from DOXIL liposomal infusion, discontinue breastfeeding during treatment with DOXIL liposomal infusion.

    8.3 Females and Males of Reproductive Potential

    Pregnancy Testing

    Verify the pregnancy status of females of reproductive potential prior to initiating DOXIL liposomal infusion.

    Contraception

    Females

    DOXIL liposomal infusion can cause fetal harm when administered to a pregnant woman [see Use in Specific Populations (8.1)]. Advise females of reproductive potential to use effective contraception during and for 6 months after treatment with DOXIL liposomal infusion.

    Males

    DOXIL liposomal infusion may damage spermatozoa and testicular tissue, resulting in possible genetic fetal abnormalities. Males with female sexual partners of reproductive potential should use effective contraception during and for 6 months after treatment with DOXIL liposomal infusion [see Non-clinical Toxicology (13.1)].

    Infertility

    Females

    In females of reproductive potential, DOXIL liposomal infusion may cause infertility and result in amenorrhea. Premature menopause can occur with doxorubicin hydrochloride. Recovery of menses and ovulation is related to age at treatment.

    Males

    DOXIL liposomal infusion may result in oligospermia, azoospermia, and permanent loss of fertility. Sperm counts have been reported to return to normal levels in some men. This may occur several years after the end of therapy [see Non-clinical Toxicology (13.1)].

    8.4 Pediatric Use

    The safety and effectiveness of DOXIL liposomal infusion in pediatric patients have not been established.

    8.5 Geriatric Use

    Clinical studies of DOXIL liposomal infusion conducted in patients with either epithelial ovarian cancer (Trial 4) or with AIDS-related Kaposi’s sarcoma (Trial 5) did not contain sufficient numbers of patients aged 65 and over to determine whether they respond differently from younger subjects.

    In Trial 6, of 318 patients treated with DOXIL liposomal infusion in combination with bortezomib for multiple myeloma, 37% were 65 years of age or older and 8% were 75 years of age or older. No overall differences in safety or efficacy were observed between these patients and younger patients.

    8.6 Hepatic Impairment

    The pharmacokinetics of DOXIL liposomal infusion has not been adequately evaluated in patients with hepatic impairment. Doxorubicin is eliminated in large part by the liver. Reduce DOXIL liposomal infusion for serum bilirubin of 1.2 mg/dL or higher.

  • 10 OVERDOSAGE

    Acute overdosage with doxorubicin hydrochloride causes increased risk of severe mucositis, leukopenia, and thrombocytopenia.

  • 11 DESCRIPTION

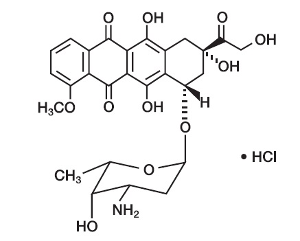
    The active ingredient in DOXIL liposomal infusion is doxorubicin hydrochloride, an anthracycline topoisomerase inhibitor, that is encapsulated in STEALTH liposomes for intravenous use.

    The chemical name of doxorubicin hydrochloride is (8S,10S)-10-[(3-amino-2,3,6‑trideoxy-α-L-lyxo-hexopyranosyl)oxy]-8-glycolyl-7,8,9,10-tetrahydro-6,8,11‑trihydroxy-1-methoxy-5,12-naphthacenedione hydrochloride. The molecular formula is C27-H29 -NO11HCl and the molecular weight is 579.99.

    The structural formula is:

    image-01-doxil-structural-formula

    DOXIL liposomal infusion is a sterile, translucent, red liposomal dispersion. Each single-dose vial contains 20 mg or 50 mg doxorubicin hydrochloride at a concentration of 2 mg/mL (equivalent to 1.87 mg/mL of doxorubicin). The STEALTH liposome carriers are composed of cholesterol, 3.19 mg/mL; fully hydrogenated soy phosphatidylcholine (HSPC), 9.58 mg/mL; and N-(carbonyl-methoxypolyethylene glycol 2000)-1,2-distearoyl-sn-glycero-3-phosphoethanolamine sodium salt (MPEG-DSPE), 3.19 mg/mL. Each mL also contains ammonium sulfate, approximately 0.6 mg; histidine, 1.55 mg as a buffer; hydrochloric acid and/or sodium hydroxide may have been added for pH adjustment (6.0 to 7.0); and sucrose, 94 mg to maintain isotonicity. Greater than 90% of the drug is encapsulated in the STEALTH liposomes.

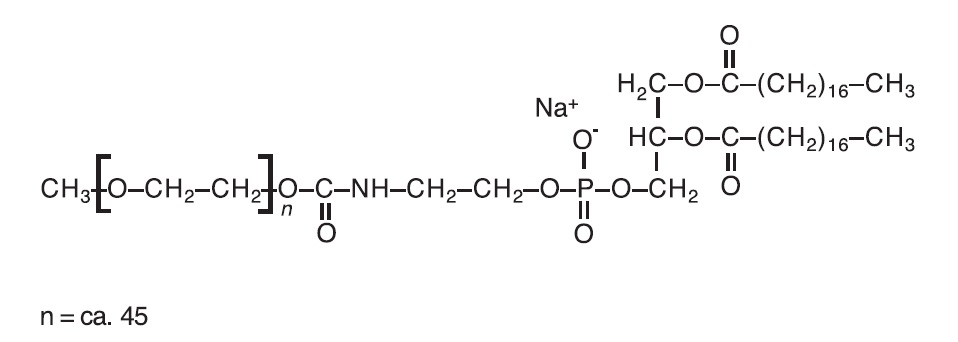
    MPEG-DSPE has the following structural formula:

    image-02-mpge-dspe-structural-formula

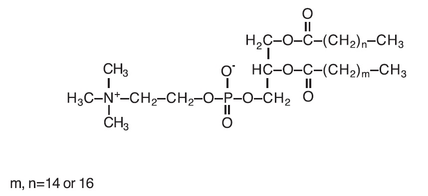
    HSPC has the following structural formula:

    image-03-hspc-structural-formula

    Representation of a STEALTH liposome:

    image-04-stealth-liposome
  • 12 CLINICAL PHARMACOLOGY

    12.1 Mechanism of Action

    The active ingredient of DOXIL liposomal infusion is doxorubicin hydrochloride. The mechanism of action of doxorubicin hydrochloride is thought to be related to its ability to bind DNA and inhibit nucleic acid synthesis. Cell structure studies have demonstrated rapid cell penetration and perinuclear chromatin binding, rapid inhibition of mitotic activity and nucleic acid synthesis, and induction of mutagenesis and chromosomal aberrations.

    12.3 Pharmacokinetics

    The pharmacokinetic parameters for total doxorubicin following a single dose of DOXIL infused over 30 minutes are presented in Table 8.

    Table 8: Pharmacokinetic Parameters of Total Doxorubicin from DOXIL Liposomal Infusion in Patients With AIDS-Related Kaposi’s Sarcoma
    Dose
    Parameter (units)10 mg/m220 mg/m2
    N=23
    Mean ± Standard Error

    Peak Plasma Concentration (µg/mL)

    4.12 ± 0.215

    8.34 ± 0.49

    Plasma Clearance (L/h/m2)

    0.056 ± 0.01

    0.041 ± 0.004

    Steady State Volume of Distribution (L/m2)

    2.83 ± 0.145

    2.72 ± 0.120

    AUC (µg/mL∙h)

    277 ± 32.9

    590 ± 58.7

    First Phase (λ1) Half-Life (h)

    4.7 ± 1.1

    5.2 ± 1.4

    Second Phase (λ1) Half-Life (h)

    52.3 ± 5.6

    55.0 ± 4.8

    DOXIL liposomal infusion displayed linear pharmacokinetics over the range of 10 to 20 mg/m2. Relative to DOXIL liposomal infusion doses at or below 20 mg/m2, the pharmacokinetics of total doxorubicin following a 50 mg/m2 DOXIL liposomal infusion dose are nonlinear. At this dose, the elimination half-life of DOXIL liposomal infusion is longer and the clearance lower compared to a 20 mg/m2 dose.

    Distribution

    Direct measurement of liposomal doxorubicin shows that at least 90% of the drug (the assay used cannot quantify less than 5–10% free doxorubicin) remains liposome-encapsulated during circulation.

    In contrast to doxorubicin, which displays a large volume of distribution (range 700 to 1100 L/m2), the small steady state volume of distribution of liposomal doxorubicin suggests that DOXIL liposomal infusion is largely confined to vascular fluid. Doxorubicin becomes available after the liposomes are extravasated. Plasma protein binding of DOXIL liposomal infusion has not been determined; the plasma protein binding of doxorubicin is approximately 70%.

    Metabolism

    Doxorubicinol, the major metabolite of doxorubicin, was detected at concentrations of 0.8 to 26.2 ng/mL in the plasma of patients who received 10 or 20 mg/m2 DOXIL liposomal infusion.

    Elimination

    The plasma clearance of total doxorubicin from DOXIL liposomal infusion was 0.041 L/h/m2 at a dose of 20 mg/m2. Following administration of doxorubicin hydrochloride, the plasma clearance of doxorubicin is 24 to 35 L/h/m2.

  • 13 NON-CLINICAL TOXICOLOGY

    13.1 Carcinogenesis, Mutagenesis, and Impairment of Fertility

    Mutagenicity or carcinogenicity studies have not been conducted with DOXIL liposomal infusion, however doxorubicin was shown to be mutagenic in the in vitro Ames assay, and clastogenic in multiple in vitro assays (CHO cell, V79 hamster cell, human lymphoblast, and SCE assays) and the in vivo mouse micronucleus assay. The possible adverse effects on fertility in animals have not been adequately evaluated. DOXIL liposomal infusion resulted in mild to moderate ovarian and testicular atrophy in mice after administration of a single dose of 36 mg/kg (about 2 times the 50 mg/m2 human dose on a mg/m2 basis). Decreased testicular weights and hypospermia were observed in rats after repeat doses ≥ 0.25 mg/kg/day (about 0.03 times the 50 mg/m2 human dose on a mg/m2 basis), and diffuse degeneration of the seminiferous tubules and a marked decrease in spermatogenesis were observed in dogs after repeat doses of 1 mg/kg/day (about 0.4 times the 50 mg/m2 human dose on a mg/m2 basis).

  • 14 CLINICAL STUDIES

    14.1 Ovarian Cancer

    DOXIL liposomal infusion was studied in three open-label, single-arm, clinical studies of 176 patients with metastatic ovarian cancer (Trials 1, 2, and 3). One hundred forty-five of these patients were refractory to both paclitaxel- and platinum-based chemotherapy regimens, defined as disease progression while on treatment or relapse within 6 months of completing treatment. Patients received DOXIL liposomal infusion at 50 mg/m2 every 3 or 4 weeks for 3–6+ cycles in the absence of dose-limiting toxicity or disease progression.

    The median age at diagnosis ranged from 52 to 64 years in the 3 studies, and the range was 22 to 85. Most patients had International Federation of Obstetricians and Gynecologists (FIGO) stage III or IV disease (ranging from 83% to 93%). Approximately one third of the patients had three or more prior lines of therapy (ranging from 22% to 33%).

    The primary outcome measure was confirmed response rate based on Southwestern Oncology Group (SWOG) criteria for patients refractory to both paclitaxel- and a platinum-containing regimen. Secondary efficacy parameters were time to response, duration of response, and time to progression.

    The response rates for the individual single arm trials are given in Table 9 below.

    Table 9: Response Rates in Patients With Refractory Ovarian Cancer From Single Arm Ovarian Cancer Trials
    Trial 1 (U.S.)
    N=27
    Trial 2 (U.S.)
    N=82
    Trial 3 (non-U.S.)
    N=36

    Response Rate

    22.2%

    17.1%

    0%

    95% Confidence Interval

    8.6% – 42.3%

    9.7% – 27.0%

    0.0% – 9.7%

    In a pooled analysis of Trials 1–3, the response rate for all patients refractory to paclitaxel and platinum agents was 13.8% (95% CI 8.1% to 19.3%). The median time to progression was 15.9 weeks, the median time to response was 17.6 weeks, and the duration of response was 39.4 weeks.

    In Trial 4, a randomized, multicenter, open-label, trial in 474 patients with epithelial ovarian cancer after platinum-based chemotherapy, patients were randomized to receive either DOXIL liposomal infusion 50 mg/m2 every 4 weeks (n=239) or topotecan 1.5 mg/m2 daily for 5 consecutive days every 3 weeks (n=235). Patients were stratified according to platinum sensitivity (response to initial platinum-based therapy and a progression-free interval of greater than 6 months off treatment) and the presence of bulky disease (tumor mass greater than 5 cm in size). The primary outcome measure was time to progression (TTP). Other endpoints included overall survival and objective response rate.

    Of the 474 patients, the median age at diagnosis was 60 years (range 25 to 87), 90% were FIGO stage III and IV; 46% were platinum sensitive; and 45% had bulky disease.

    There was no statistically significant difference in TTP between the two arms. Results are provided in Table 10.

    Table 10: Results of Efficacy Analyses*
    Protocol Defined ITT Population
    DOXIL Liposomal
    Infusion
    (n=239)
    Topotecan
    (n=235)
  • * Analysis based on investigators' strata for protocol defined ITT population.
  • Kaplan-Meier estimates.
  • p-value is based on the stratified log-rank test.
  • § Hazard ratio is based on Cox proportional-hazard model with the treatment as single independent variable. A hazard ratio less than 1 indicates an advantage for DOXIL liposomal infusion.
  • p-value not adjusted for multiple comparisons.
  • TTP (Protocol Specified Primary Endpoint)

      Median (Months)

    4.1

    4.2

      p-value

    0.62

      Hazard Ratio§

    0.96

      95% CI for Hazard Ratio

    (0.76, 1.20)

    Overall Survival

      Median (Months)

    14.4

    13.7

      p-value

    0.05

      Hazard Ratio§

    0.82

      95% CI for Hazard Ratio

    (0.68, 1.00)

    Response Rate

      Overall Response n (%)

    47 (19.7)

    40 (17.0)

      Complete Response n (%)

    9 (3.8)

    11 (4.7)

      Partial Response n (%)

    38 (15.9)

    29 (12.3)

      Median Duration of Response (Months)

    6.9

    5.9

    14.2 AIDS-Related Kaposi’s Sarcoma

    DOXIL liposomal infusion was studied in an open-label, single-arm, multicenter study at a dose of 20 mg/m2 every 3 weeks, until disease progression or unacceptable toxicity (Trial 5).

    Data is described for a cohort of 77 patients retrospectively identified as having disease progression on prior systemic combination chemotherapy (at least two cycles of a regimen containing at least two of three treatments: bleomycin, vincristine or vinblastine, or doxorubicin) or as being intolerant to such therapy. Forty-nine of the 77 (64%) patients had received prior doxorubicin hydrochloride.

    The median time on study was 5.1 months (range 1 day to 15 months). The median cumulative dose of DOXIL liposomal infusion was 154 mg/m2 (range 20 to 620 mg/m2). Among the 77 patients, mean age was 38 years (range 24 to 54); 87% were Caucasian, 5% Hispanic, 4% Black, and 4% Asian/Other/Unknown; median CD4 count was 10 cells/mm3; ACTG staging criteria were 78% poor risk for tumor burden, 96% poor risk for immune system, and 58% poor risk for systemic illness at baseline; and mean Karnofsky status score was 74%. All patients had cutaneous or subcutaneous lesions, 40% also had oral lesions, 26% pulmonary lesions, and 14% had lesions of the stomach/intestine.

    Two analyses of tumor response were used: one based on investigator assessment of changes in lesions based on modified ACTG criteria (partial response defined as no new lesions, sites of disease, or worsening edema; flattening of ≥50% of previously raised lesions or area of indicator lesions decreasing by ≥50%; and response lasting at least 21 days with no prior progression), and one based on changes in up to five prospectively indentified representative indicator lesions (partial response defined as flattening of ≥50% of previously raised indicator lesions, or >50% decrease in the area of indicator lesions and lasting at least 21 days with no prior progression).

    Of the 77 patients, 34 were evaluable for investigator assessment and 42 were evaluable for indicator lesion assessment; analyses of tumor responses are shown in Table 11.

    Table 11: Response in Patients with Refractory* AIDS-Related Kaposi’s Sarcoma
  • * Patients with disease that progressed on prior combination chemotherapy or who were intolerant to such therapy.
  • There were no complete responses in this population.
  • Investigator Assessment

    All Evaluable
    Patients
    (n=34)

    Evaluable Patients
    Who Received Prior
    Doxorubicin
    (n=20)

    Response

      Partial (PR)

    27%

    30%

      Stable

    29%

    40%

      Progression

    44%

    30%

    Duration of PR (Days)

      Median

    73

    89

      Range

    42+ – 210+

    42+ – 210+

    Time to PR (Days)

      Median

    43

    53

      Range

    15 – 133

    15 – 109

    Indicator Lesion Assessment

    All Evaluable
    Patients
    (n=42)

    Evaluable Patients
    Who Received Prior
    Doxorubicin
    (n=23)

    Response

      Partial (PR)

    48%

    52%

      Stable

    26%

    30%

      Progression

    26%

    17%

    Duration of PR (Days)

      Median

    71

    79

      Range

    22+ – 210+

    35 – 210+

    Time to PR (Days)

      Median

    22

    48

      Range

    15 – 109

    15 – 109

    Retrospective efficacy analyses were performed in two trials that had subsets of patients who received single-agent DOXIL liposomal infusion and who were on stable antiretroviral therapy for at least 60 days prior to enrollment and until a response was demonstrated. In one trial, 7 of 17 (40%) patients had a durable response (median duration not reached but was longer than 11.6 months). In the second trial, 4 of 11 patients (40%) on a stable antiretroviral therapy demonstrated durable responses.

    14.3 Multiple Myeloma

    The efficacy of DOXIL liposomal infusion in combination with bortezomib was evaluated in Trial 6, a randomized, open-label, international, multicenter study in 646 patients who had not previously received bortezomib and whose disease progressed during or after at least one prior therapy. Patients were randomized (1:1) to receive either DOXIL liposomal infusion (30 mg/m2) administered IV on day 4 following bortezomib (1.3 mg/m2 IV on days 1, 4, 8 and 11) or bortezomib alone every 3 weeks for up to 8 cycles or until disease progression or unacceptable toxicity. Patients who maintained a response were allowed to receive further treatment. The median number of cycles in each treatment arm was 5 (range 1–18).

    The baseline demographics and clinical characteristics of the patients with multiple myeloma were similar between treatment arms (Table 12).

    Table 12: Summary of Baseline Patient and Disease Characteristics
    Patient CharacteristicsDOXIL Liposomal
    Infusion + bortezomib

    n=324
    bortezomib
    n=322

      Median age in years (range)

    61 (28, 85)

    62 (34, 88)

      % Male/female

    58 / 42

    54 / 46

      % Caucasian/Black/other

    90 / 6 / 4

    94 / 4 / 2

    Disease Characteristics

      % with IgG/IgA/Light chain

    57 / 27 / 12

    62 / 24 / 11

      % β2-microglobulin group

        ≤2.5 mg/L

    14

    14

        >2.5 mg/L and ≤5.5 mg/L

    56

    55

        >5.5 mg/L

    30

    31

    Serum M-protein (g/dL): Median (Range)

    2.5 (0–10.0)

    2.7 (0–10.0)

    Urine M-protein (mg/24 hours): Median (Range)

    107 (0–24883)

    66 (0–39657)

    Median Months Since Diagnosis

    35.2

    37.5

    % Prior Therapy

      One

    34

    34

      More than one

    66

    66

    Prior Systemic Therapies for Multiple Myeloma

      Corticosteroid (%)

    99

    >99

      Anthracyclines

    68

    67

      Alkylating agent (%)

    92

    90

      Thalidomide/lenalidomide (%)

    40

    43

      Stem cell transplantation (%)

    57

    54

    The primary outcome measure was time to progression (TTP). TTP was defined as the time from randomization to the first occurrence of progressive disease or death due to progressive disease. The combination arm demonstrated significant improvement in TTP. As the prespecified primary objective was achieved at the interim analysis, patients in the bortezomib monotherapy group were then allowed to receive the DOXIL liposomal infusion + bortezomib combination. Efficacy results are as shown in Table 13 and Figure 1.

    Table 13: Efficacy of DOXIL Liposomal Infusion in Combination With Bortezomib in the Treatment of Patients With Multiple Myeloma
    EndpointDOXIL Liposomal Infusion
    + bortezomib

    n=324
    Bortezomib

    n=322
  • * Kaplan Meier estimate.
  • Hazard ratio based on stratified Cox proportional hazards regression. A hazard ratio < 1 indicates an advantage for DOXIL liposomal infusion +bortezomib.
  • Stratified log-rank test.
  • § RR as per EBMT criteria.
  • Cochran-Mantel-Haenszel test adjusted for the stratification factors.
  • Time to Progression*

    Progression or death due to progression (n)

    99

    150

      Censored (n)

    225

    172

      Median in days (months)

    282 (9.3)

    197 (6.5)

      95% CI

    250; 338

    170; 217

      Hazard ratio

    0.55

      (95% CI)

    (0.43, 0.71)

      p-value

    <0.001

    Response (n)§

    303

    310

      % Complete Response (CR)

    5

    3

      % Partial Response (PR)

    43

    40

      % CR + PR

    48

    43

      p-value

    0.25

    Median Duration of Response (months)

    10.2

    7.0

    (95% CI)

    (10.2; 12.9)

    (5.9; 8.3)

    image-05-figure-01

    Figure 1 - Time to Progression Kaplan-Meier Curve

    At the final analysis of survival, 78% of subjects in the DOXIL liposomal infusion and bortezomib combination therapy group and 80% of subjects in the bortezomib monotherapy group had died after a median follow up of 8.6 years. The median survival was 33 months in the DOXIL liposomal infusion and bortezomib combination therapy group and 31 months in the bortezomib monotherapy group. There was no difference observed in overall survival at the final analysis [HR for DOXIL liposomal infusion + bortezomib vs. bortezomib = 0.96 (95% CI 0.80, 1.14)].

    Seventy-eight percent of subjects in the DOXIL liposomal infusion and bortezomib combination therapy group and 80% of subjects in the bortezomib monotherapy group had received subsequent therapy.

  • 15 REFERENCES

    • 1. “Hazardous Drugs”, OSHA, http://www.osha.gov/SLTC/hazardousdrugs/index.html
  • 16 HOW SUPPLIED/STORAGE AND HANDLING

    DOXIL (doxorubicin hydrochloride liposome injection) is a sterile, translucent, red liposomal dispersion in 10-mL or 30-mL glass, single-dose vials.

    The following individually cartoned vials are available:

    Table 14

    vial concentration

    vial size

    NDC #s

    20 mg/10 mL

    (2 mg/ mL)

    10-mL

    0338-9667-01

    50 mg/25 mL

    (2 mg/mL)

    30-mL

    0338-9665-01

    Refrigerate unopened vials of DOXIL (doxorubicin hydrochloride liposome injection) at 2°C- 8°C (36°F- 46°F). Do not freeze. Discard unused portion.

    DOXIL liposomal infusion is a cytotoxic drug. Follow applicable special handling and disposal procedures.1

  • 17 PATIENT COUNSELING INFORMATION

    Cardiomyopathy

    Advise patients to contact their healthcare provider if they develop symptoms of heart failure [see Warnings and Precautions (5.1)].

    Infusion-Related Reactions

    Advise patients about the symptoms of infusion related reactions and to seek immediate medical attention if they develop any of these symptoms [see Warnings and Precautions (5.2)].

    Myelosuppression

    Advise patients to contact their healthcare provider for a new onset fever or symptoms of infection.

    Hand-Foot Syndrome

    Advise patients to notify their healthcare provider if they experience tingling or burning, redness, flaking, bothersome swelling, small blisters, or small sores on the palms of their hands or soles of their feet (symptoms of Hand-Foot Syndrome) [see Warnings and Precautions (5.3)].

    Stomatitis

    Advise patients to notify their healthcare provider if they develop painful redness, swelling, or sores in the mouth (symptoms of stomatitis).

    Embryo-Fetal Toxicity

    Advise females of reproductive potential of the potential risk to a fetus and to inform their healthcare provider with a known or suspected pregnancy [see Warnings and Precautions (5.5) and Use in Specific Populations (8.1)].

    Advise females and males of reproductive potential to use effective contraception during and for 6 months following treatment with DOXIL liposomal infusion [see Use in Specific Populations (8.3)].

    Lactation

    Advise females not to breastfeed during treatment with DOXIL liposomal infusion [see Use in Specific Populations (8.2)].

    Infertility

    Advise females and males of reproductive potential that DOXIL liposomal infusion may cause temporary or permanent infertility [see Use in Specific Populations (8.3)].

    Discoloration of Urine and Body Fluids

    Inform patients that following DOXIL liposomal infusion administration, a reddish-orange color to the urine and other body fluids may be observed. This nontoxic reaction is due to the color of the product and will dissipate as the drug is eliminated from the body.

  • SPL UNCLASSIFIED SECTION

    Manufactured for:
    Baxter Healthcare Corporation
    Deerfield, IL 60015 USA
    Made in Germany

    Baxter, Doxil, and Stealth are trademarks of Baxter International Inc. or its subsidiaries.

    HA-30-02-513

  • PRINCIPAL DISPLAY PANEL – 20 mg

    image-06-doxil-20mg-10ml-container-label

    Container Label

    Lot/EXP:

    NDC: 0338-9667-01
    Rx only

    DOXIL
    (DOXOrubicin Hydrochloride liposome injection)

    20 mg in 10 mL (2 mg/mL)

    Single-Dose Vial. Discard unused portion.

    LIPOSOMAL FORMULATION - DO NOT
    SUBSTITUTE FOR DOXORUBICIN Hydrochloride

    FOR INTRAVENOUS INFUSION ONLY
    Cytotoxic
    Refrigerate, 2°-8°C (36°-46°F). Do Not Freeze.

    See package insert for dosage information.

    Baxter Healthcare Corporation Deerfield, IL 60015

    Barcode
    303389667018

    USA HA-65-02-092 C 8

    image-07-doxil-20mg-10ml-carton-label

    Carton Label

    GTIN:
    SN:
    LOT:
    EXP:

    NDC: 0338-9667-01

    DOXIL
    (DOXOrubicin
    Hydrochloride
    liposome injection)

    20 mg in 10 mL
    (2 mg/mL)

    Single-Dose Vial. Discard unused portion.

    LIPOSOMAL FORMULATION -
    DO NOT SUBSTITUTE FOR
    DOXORUBICIN Hydrochloride

    FOR INTRAVENOUS
    INFUSION ONLY
    AFTER DILUTION.

    Refrigerate, 2°-8°C
    (36°-46°F). Do Not Freeze.
    Cytotoxic

    Rx only

    Baxter Logo

    HA-80-03-327
    USA

    NDC: 0338-9667-01

    DOXIL
    (DOXOrubicin
    Hydrochloride
    liposome injection)

    Use 5% Dextrose Injection,
    USP when diluting DOXIL.

    Barcode
    (01)20303389667012

    Note: Liposomal formulation.
    Recommended Dosage:
    see prescribing information.

    NDC: 0338-9667-01
    DOXIL
    (DOXOrubicin
    Hydrochloride
    liposome injection)

    LIPOSOMAL FORMULATION -
    DO NOT SUBSTITUTE FOR
    DOXORUBICIN Hydrochloride

    Manufactured for:
    Baxter Healthcare Corporation
    Deerfield, IL 60015 USA
    Made in Germany

    Baxter, Doxil, and Stealth are
    trademarks of Baxter International
    Inc., or its subsidiaries

    NDC: 0338-9667-01

    DOXIL
    (DOXOrubicin
    Hydrochloride
    liposome injection)

    Each mL contains
    doxorubicin Hydrochloride, 2 mg.
    STEALTH liposome carriers are
    composed of cholesterol, 3.19 mg;
    fully hydrogenated soy
    phosphatidylcholine (HSPC),
    9.58 mg; and N-(carbonyl-
    methoxypolyethylene glycol
    2000)-1,2-distearoyl-sn-glycero-3-p
    hosphoethanolamine sodium salt
    (MPEG-DSPE), 3.19 mg. Each mL
    also contains ammonium sulfate,
    approximately 0.6 mg; histidine,
    1.55 mg; hydrochloric acid and/or
    sodium hydroxide may have been
    added for pH adjustement (6.0 to
    7.0) and sucrose, 94 mg.

  • PACKAGE/LABEL PRINCIPAL DISPLAY PANEL – 50 mg

    image-08-doxil-50mg-25ml-container-label

    Container Label

    LOT/EXP:

    NDC: 0338-9665-01
    Rx only

    DOXIL
    (DOXOrubicin Hydrochloride liposome injection)

    50 mg in 25 mL (2 mg/mL)

    Single-Dose Vial. Discard unused portion.

    LIPOSOMAL FORMULATION - DO NOT
    SUBSTITUTE FOR DOXORUBICIN Hydrochloride

    FOR INTRAVENOUS INFUSION ONLY

    Cytotoxic

    Refrigerate, 2°-8°C (36°-46°F). Do Not Freeze.
    See package insert for dosage information.
    Baxter Healthcare Corporation Deerfield, IL 60015

    Barcode
    303389665014

    USA HA-65-02-093 C 12

    image-09-doxil-50mg-25ml-carton-label

    Carton Label

    GTIN:
    SN:
    LOT:
    EXP:

    NDC: 0338-9665-01

    DOXIL
    (DOXOrubicin
    Hydrochloride
    liposome injection)

    50 mg in 25 mL
    (2 mg/mL)

    Single-Dose Vial. Discard unused portion.

    LIPOSOMAL FORMULATION -
    DO NOT SUBSTITUTE FOR
    DOXORUBICIN Hydrochloride

    FOR INTRAVENOUS
    INFUSION ONLY
    AFTER DILUTION.

    Refrigerate, 2°-8°C
    (36°-46°F). Do Not Freeze.
    Cytotoxic

    Rx only

    Baxter Logo

    HA-80-03-328
    USA

    NDC: 0338-9665-01

    DOXIL
    (DOXOrubicin
    Hydrochloride
    liposome injection)

    Use 5% Dextrose Injection,
    USP when diluting DOXIL.

    Barcode
    (01)20303389665018

    Note: Liposomal formulation.
    Recommended Dosage:
    see prescribing information.

    NDC: 0338-9665-01

    DOXIL
    (DOXOrubicin
    Hydrochloride
    liposome injection)

    LIPOSOMAL FORMULATION -
    DO NOT SUBSTITUTE FOR
    DOXORUBICAN Hydrochloride

    Manufactured for:
    Baxter Healthcare Corporation
    Deerfield, IL 60015 USA
    Made in Germany

    Baxter, Doxil, and Stealth are
    trademarks of Baxter International
    Inc., or its subsidiaries

    NDC: 0338-9665-01

    DOXIL
    (DOXOrubicin
    Hydrochloride
    liposome injection)

    Each mL contains
    doxorubicin Hydrochloride, 2 mg.
    STEALTH liposome carriers are composed
    of cholesterol, 3.19 mg; fully
    hydrogenated soy phosphatidylcholine
    (HSPC), 9.58 mg; and N-(carbonyl-
    methoxypolyethylene glycol 2000)
    1,2-distearoyl-sn-glycero-3
    phosphoethanolamine sodium salt
    (MPEG-DSPE), 3.19 mg. Each mL also
    contains ammonium sulfate,
    approximately 0.6 mg; histidine,
    1.55 mg; hydrochloric acid and/or
    sodium hydroxide may have been added
    for pH adjustement (6.0 to 7.0) and
    sucrose, 94 mg.

  • INGREDIENTS AND APPEARANCE
    DOXIL 
    doxorubicin hydrochloride injection, suspension, liposomal
    Product Information
    Product TypeHUMAN PRESCRIPTION DRUGItem Code (Source)NDC: 0338-9667
    Route of AdministrationINTRAVENOUS
    Active Ingredient/Active Moiety
    Ingredient NameBasis of StrengthStrength
    doxorubicin hydrochloride (UNII: 82F2G7BL4E) (doxorubicin - UNII:80168379AG) doxorubicin hydrochloride2 mg  in 1 mL
    Inactive Ingredients
    Ingredient NameStrength
    SODIUM N-(CARBONYL-METHOXYPOLYETHYLENE GLYCOL 2000)-1,2-DISTEAROYL-SN-GLYCERO-3-PHOSPHOETHANOLAMINE (UNII: 3L6NN8ZZKU) 3.19 mg  in 1 mL
    hydrogenated soybean lecithin (UNII: H1109Z9J4N) 9.58 mg  in 1 mL
    cholesterol (UNII: 97C5T2UQ7J) 3.19 mg  in 1 mL
    ammonium sulfate (UNII: SU46BAM238) 0.6 mg  in 1 mL
    histidine (UNII: 4QD397987E) 1.55 mg  in 1 mL
    hydrochloric acid (UNII: QTT17582CB)  
    sodium hydroxide (UNII: 55X04QC32I)  
    sucrose (UNII: C151H8M554) 94 mg  in 1 mL
    Packaging
    #Item CodePackage DescriptionMarketing Start DateMarketing End Date
    1NDC: 0338-9667-011 in 1 CARTON08/26/2024
    110 mL in 1 VIAL, SINGLE-DOSE; Type 0: Not a Combination Product
    Marketing Information
    Marketing CategoryApplication Number or Monograph CitationMarketing Start DateMarketing End Date
    NDANDA05071808/26/2024
    DOXIL 
    doxorubicin hydrochloride injection, suspension, liposomal
    Product Information
    Product TypeHUMAN PRESCRIPTION DRUGItem Code (Source)NDC: 0338-9665
    Route of AdministrationINTRAVENOUS
    Active Ingredient/Active Moiety
    Ingredient NameBasis of StrengthStrength
    doxorubicin hydrochloride (UNII: 82F2G7BL4E) (doxorubicin - UNII:80168379AG) doxorubicin hydrochloride2 mg  in 1 mL
    Inactive Ingredients
    Ingredient NameStrength
    SODIUM N-(CARBONYL-METHOXYPOLYETHYLENE GLYCOL 2000)-1,2-DISTEAROYL-SN-GLYCERO-3-PHOSPHOETHANOLAMINE (UNII: 3L6NN8ZZKU) 3.19 mg  in 1 mL
    hydrogenated soybean lecithin (UNII: H1109Z9J4N) 9.58 mg  in 1 mL
    cholesterol (UNII: 97C5T2UQ7J) 3.19 mg  in 1 mL
    ammonium sulfate (UNII: SU46BAM238) 0.6 mg  in 1 mL
    histidine (UNII: 4QD397987E) 1.55 mg  in 1 mL
    hydrochloric acid (UNII: QTT17582CB)  
    sodium hydroxide (UNII: 55X04QC32I)  
    sucrose (UNII: C151H8M554) 94 mg  in 1 mL
    Packaging
    #Item CodePackage DescriptionMarketing Start DateMarketing End Date
    1NDC: 0338-9665-011 in 1 CARTON08/26/2024
    125 mL in 1 VIAL, SINGLE-DOSE; Type 0: Not a Combination Product
    Marketing Information
    Marketing CategoryApplication Number or Monograph CitationMarketing Start DateMarketing End Date
    NDANDA05071808/26/2024
    Labeler - Baxter Healthcare Corporation (005083209)
    Establishment
    NameAddressID/FEIBusiness Operations
    Eurofins Biolab Srl429117112ANALYSIS(0338-9667, 0338-9665)

  • Trademark Results [DOXIL]

    Mark Image

    Registration | Serial
    Company
    Trademark
    Application Date
    DOXIL
    DOXIL
    74223789 1744235 Live/Registered
    BAXTER HEALTHCARE CORPORATION
    1991-11-21

    © 2026 FDA.report
    This site is not affiliated with or endorsed by the FDA.