Fenofibrate by is a Prescription medication manufactured, distributed, or labeled by Macleods Pharmaceuticals Limited. Drug facts, warnings, and ingredients follow.
Fenofibrate tablets is a peroxisome proliferator-activated receptor (PPAR) alpha agonist indicated as an adjunct to diet:
To reduce elevated LDL-C, Total-C, TG and Apo B, and to increase HDL-C in adult patients with primary hypercholesterolemia or mixed dyslipidemia (1.1).
For treatment of adult patients with severe hypertriglyceridemia (1.2).
Limitations of Use: Fenofibrate was not shown to reduce coronary heart disease morbidity and mortality in patients with type 2 diabetes mellitus (5.1).
Primary hypercholesterolemia or mixed dyslipidemia: Initial dose of 160 mg once daily (2.2).
Severe hypertriglyceridemia: Initial dose of 54 to 160 mg once daily. Maximum dose is 160 mg (2.3).
Renally impaired patients: Initial dose of 54 mg once daily (2.4).
Geriatric patients: Select the dose on the basis of renal function (2.5).
Should be given with meals (2.1).
Oral Tablets: 54 mg and 160 mg (3).
Hepatotoxicity: Serious drug-induced liver injury, including liver transplantation and death, has been reported with fenofibrate. Monitor patient’s liver function, including serum ALT, AST, and total bilirubin, at baseline and periodically for the duration of therapy. Discontinue if signs or symptoms of liver injury develop or if elevated enzyme levels persist (5.2).
Myopathy and rhabdomyolysis: Have been reported in patients taking fenofibrate. Risks are increased during co-administration with a statin (with a significantly higher rate observed for gemfibrozil), particularly in elderly patients and patients with diabetes, renal failure, or hypothyroidism (5.3).
Serum creatinine: Fenofibrate can reversibly increase serum creatinine levels (5.4). Monitor renal function periodically in patients with renal impairment (8.6).
Cholelithiasis: Fenofibrate increases cholesterol excretion into the bile, leading to risk of cholelithiasis. If cholelithiasis is suspected, gallbladder studies are indicated (5.5).
Coumarin anticoagulants: Use caution in concomitant treatment with oral coumarin anticoagulants. Adjust the dosage of coumarin anticoagulant to maintain the prothrombin time/INR at the desired level to prevent bleeding complications (5.6).
Hypersensitivity Reactions: Acute hypersensitivity reactions, including anaphylaxis and angioedema, and delayed hypersensitivity reactions, including severe cutaneous adverse drug reactions have been reported postmarketing. Some cases were life-threatening and required emergency treatment. Discontinue fenofibrate and treat patients appropriately if reactions occur (5.9).
Adverse reactions > 2% and at least 1% greater than placebo: Abnormal liver tests, increased AST, increased ALT, increased CPK, and rhinitis (6).
To report SUSPECTED ADVERSE REACTIONS, contact Macleods Pharma USA, Inc. at 1-888-943-3210 or FDA at 1-800-FDA-1088 or www.fda.gov/medwatch.
See 17 for PATIENT COUNSELING INFORMATION.
Revised: 3/2026
Fenofibrate tablets are indicated as adjunctive therapy to diet to reduce elevated low-density lipoprotein cholesterol (LDL-C), total cholesterol (Total-C), Triglycerides and apolipoprotein B (Apo B), and to increase high-density lipoprotein cholesterol (HDL-C) in adult patients with primary hypercholesterolemia or mixed dyslipidemia.
Fenofibrate tablets are also indicated as adjunctive therapy to diet for treatment of adult patients with severe hypertriglyceridemia. Improving glycemic control in diabetic patients showing fasting chylomicronemia will usually obviate the need for pharmacologic intervention.
Markedly elevated levels of serum triglycerides (e.g. > 2,000 mg/dL) may increase the risk of developing pancreatitis. The effect of fenofibrate therapy on reducing this risk has not been adequately studied.
Fenofibrate at a dose equivalent to 160 mg of fenofibrate tablet was not shown to reduce coronary heart disease morbidity and mortality in a large, randomized controlled trial of patients with type 2 diabetes mellitus [see Warnings and Precautions (5.1)].
Patients should be placed on an appropriate lipid-lowering diet before receiving fenofibrate tablets, and should continue this diet during treatment with fenofibrate tablets. Fenofibrate tablets should be given with meals, thereby optimizing the bioavailability of the medication.
The initial treatment for dyslipidemia is dietary therapy specific for the type of lipoprotein abnormality. Excess body weight and excess alcoholic intake may be important factors in hypertriglyceridemia and should be addressed prior to any drug therapy. Physical exercise can be an important ancillary measure. Diseases contributory to hyperlipidemia, such as hypothyroidism or diabetes mellitus should be looked for and adequately treated. Estrogen therapy, thiazide diuretics and beta-blockers, are sometimes associated with massive rises in plasma triglycerides, especially in subjects with familial hypertriglyceridemia. In such cases, discontinuation of the specific etiologic agent may obviate the need for specific drug therapy of hypertriglyceridemia.
Lipid levels should be monitored periodically and consideration should be given to reducing the dosage of fenofibrate tablets if lipid levels fall significantly below the targeted range.
Therapy should be withdrawn in patients who do not have an adequate response after two months of treatment with the maximum recommended dose of 160 mg once daily.
The initial dose of fenofibrate tablet is 160 mg once daily.
The initial dose is 54 to 160 mg per day. Dosage should be individualized according to patient response, and should be adjusted if necessary following repeat lipid determinations at 4 to 8 week intervals. The maximum dose is 160 mg once daily.
Treatment with fenofibrate tablets should be initiated at a dose of 54 mg per day in patients having mild to moderately impaired renal function, and increased only after evaluation of the effects on renal function and lipid levels at this dose. The use of fenofibrate tablets should be avoided in patients with severe renal impairment [see Use in Specific Populations (8.6) and Clinical Pharmacology (12.3)].
Dose selection for the elderly should be made on the basis of renal function [see Use in Specific Populations (8.5)].
Fenofibrate tablets are contraindicated in:
patients with severe renal impairment, including those receiving dialysis [see Clinical Pharmacology (12.3)].
patients with active liver disease, including those with primary biliary cirrhosis and unexplained persistent liver function abnormalities [see Warnings and Precautions (5.2)].
patients with preexisting gallbladder disease [see Warnings and Precautions (5.5)].
nursing mothers [see Use in Specific Populations (8.2)]
patients with known hypersensitivity to fenofibrate or fenofibric acid [see Warnings and Precautions (5.9)].
The effect of fenofibrate on coronary heart disease morbidity and mortality and non-cardiovascular mortality has not been established.
The Action to Control Cardiovascular Risk in Diabetes Lipid (ACCORD Lipid) trial was a randomized placebo-controlled study of 5518 patients with type 2 diabetes mellitus on background statin therapy treated with fenofibrate. The mean duration of follow-up was 4.7 years. Fenofibrate plus statin combination therapy showed a non-significant 8% relative risk reduction in the primary outcome of major adverse cardiovascular events (MACE), a composite of non-fatal myocardial infarction, non-fatal stroke, and cardiovascular disease death (hazard ratio [HR] 0.92, 95% CI 0.79-1.08) (p=0.32) as compared to statin monotherapy. In a gender subgroup analysis, the hazard ratio for MACE in men receiving combination therapy versus statin monotherapy was 0.82 (95% CI 0.69-0.99), and the hazard ratio for MACE in women receiving combination therapy versus statin monotherapy was 1.38 (95% CI 0.98-1.94) (interaction p=0.01). The clinical significance of this subgroup finding is unclear.
The Fenofibrate Intervention and Event Lowering in Diabetes (FIELD) study was a 5-year randomized, placebo-controlled study of 9795 patients with type 2 diabetes mellitus treated with fenofibrate. Fenofibrate demonstrated a non-significant 11% relative reduction in the primary outcome of coronary heart disease events (hazard ratio [HR] 0.89, 95% CI 0.75-1.05, p=0.16) and a significant 11% reduction in the secondary outcome of total cardiovascular disease events (HR 0.89 [0.8 to 0.99], p=0.04). There was a non-significant 11% (HR 1.11 [0.95, 1.29], p=0.18) and 19% (HR 1.19 [0.9, 1.57], p=0.22) increase in total and coronary heart disease mortality, respectively, with fenofibrate as compared to placebo.
Because of chemical, pharmacological, and clinical similarities between fenofibrate , clofibrate, and gemfibrozil, the adverse findings in 4 large randomized, placebo-controlled clinical studies with these other fibrate drugs may also apply to fenofibrate .
In the Coronary Drug Project, a large study of post myocardial infarction of patients treated for 5 years with clofibrate, there was no difference in mortality seen between the clofibrate group and the placebo group. There was however, a difference in the rate of cholelithiasis and cholecystitis requiring surgery between the two groups (3.0% vs. 1.8%).
In a study conducted by the World Health Organization (WHO), 5000 subjects without known coronary artery disease were treated with placebo or clofibrate for 5 years and followed for an additional one year. There was a statistically significant, higher age − adjusted all-cause mortality in the clofibrate group compared with the placebo group (5.70% vs. 3.96%, p = < 0.01). Excess mortality was due to a 33% increase in non-cardiovascular causes, including malignancy, post-cholecystectomy complications, and pancreatitis. This appeared to confirm the higher risk of gallbladder disease seen in clofibrate-treated patients studied in the Coronary Drug Project.
The Helsinki Heart Study was a large (n=4081) study of middle-aged men without a history of coronary artery disease. Subjects received either placebo or gemfibrozil for 5 years, with a 3.5 year open extension afterward. Total mortality was numerically higher in the gemfibrozil randomization group but did not achieve statistical significance (p = 0.19, 95% confidence interval for relative risk G:P = 0.91 to 1.64). Although cancer deaths trended higher in the gemfibrozil group (p = 0.11), cancers (excluding basal cell carcinoma) were diagnosed with equal frequency in both study groups. Due to the limited size of the study, the relative risk of death from any cause was not shown to be different than that seen in the 9 year follow-up data from World Health Organization study (RR=1.29).
A secondary prevention component of the Helsinki Heart Study enrolled middle-aged men excluded from the primary prevention study because of known or suspected coronary heart disease. Subjects received gemfibrozil or placebo for 5 years. Although cardiac deaths trended higher in the gemfibrozil group, this was not statistically significant (hazard ratio 2.2, 95% confidence interval: 0.94-5.05). The rate of gallbladder surgery was not statistically significant between study groups, but did trend higher in the gemfibrozil group, (1.9% vs. 0.3%, p = 0.07).
5.2 Hepatotoxicity
Serious drug-induced liver injury (DILI), including liver transplantation and death, have been reported postmarketing with fenofibrate. DILI has been reported within the first few weeks of treatment or after several months of therapy and in some cases has reversed with discontinuation of fenofibrate treatment. Patients with DILI have experienced signs and symptoms including dark urine, abnormal stool, jaundice, malaise, abdominal pain, myalgia, weight loss, pruritus, and nausea. Many patients had concurrent elevations of total bilirubin, serum alanine transaminase (ALT), and aspartate transaminase (AST). DILI has been characterized as hepatocellular, chronic active, and cholestatic hepatitis, and cirrhosis has occurred in association with chronic active hepatitis.
In clinical trials, fenofibrate at doses equivalent to 107 mg to 160 mg fenofibrate daily has been associated with increases in serum AST or ALT. The incidence of increases in transaminases may be dose related [see Adverse Reactions (6.1)].
Fenofibrate is contraindicated in patients with active liver disease, including those with primary biliary cirrhosis and unexplained persistent liver function abnormalities [see Contraindications (4)]. Monitor patient’s liver function, including serum ALT, AST, and total bilirubin, at baseline and periodically for the duration of therapy with fenofibrate. Discontinue fenofibrate if signs or symptoms of liver injury develop or if elevated enzyme levels persist (ALT or AST > 3 times the upper limit of normal, or if accompanied by elevation of bilirubin). Do not restart fenofibrate in these patients if there is no alternative explanation for the liver injury.
5.3 Myopathy and Rhabdomyolysis
Fibrates increase the risk for myopathy and have been associated with rhabdomyolysis. The risk for serious muscle toxicity appears to be increased in elderly patients and in patients with diabetes, renal insufficiency, or hypothyroidism.
Myopathy should be considered in any patient with diffuse myalgias, muscle tenderness or weakness, and/or marked elevations of creatine phosphokinase (CPK) levels.
Patients should be advised to report promptly unexplained muscle pain, tenderness or weakness, particularly if accompanied by malaise or fever. CPK levels should be assessed in patients reporting these symptoms, and fenofibrate therapy should be discontinued if markedly elevated CPK levels occur or myopathy/myositis is suspected or diagnosed.
Data from observational studies indicate that the risk for rhabdomyolysis is increased when fibrates, in particular gemfibrozil, are co-administered with a statin. The combination should be avoided unless the benefit of further alterations in lipid levels is likely to outweigh the increased risk of this drug combination [see Clinical Pharmacology (12.3)].
Cases of myopathy, including rhabdomyolysis, have been reported with fenofibrates co- administered with colchicine, and caution should be exercised when prescribing fenofibrate with colchicine [see Drug Interactions (7.4)].
Elevations in serum creatinine have been reported in patients on fenofibrate. These elevations tend to return to baseline following discontinuation of fenofibrate. The clinical significance of these observations is unknown. Monitor renal function in patients with renal impairment taking fenofibrate . Renal monitoring should also be considered for patients taking fenofibrate tablets at risk for renal insufficiency such as the elderly and patients with diabetes.
Fenofibrate, like clofibrate and gemfibrozil, may increase cholesterol excretion into the bile, leading to cholelithiasis. If cholelithiasis is suspected, gallbladder studies are indicated. Fenofibrate therapy should be discontinued if gallstones are found.
Caution should be exercised when coumarin anticoagulants are given in conjunction with fenofibrate because of the potentiation of coumarin-type anticoagulant effects in prolonging the Prothrombin Time/International Normalized Ratio (PT/INR). To prevent bleeding complications, frequent monitoring of PT/INR and dose adjustment of the anticoagulant are recommended until PT/INR has stabilized [see Drug Interactions (7.1)].
Pancreatitis has been reported in patients taking fenofibrate, gemfibrozil, and clofibrate. This occurrence may represent a failure of efficacy in patients with severe hypertriglyceridemia, a direct drug effect, or a secondary phenomenon mediated through biliary tract stone or sludge formation with obstruction of the common bile duct.
Mild to moderate hemoglobin, hematocrit, and white blood cell decreases have been observed in patients following initiation of fenofibrate therapy. However, these levels stabilize during long-term administration. Thrombocytopenia and agranulocytosis have been reported in individuals treated with fenofibrate. Periodic monitoring of red and white blood cell counts are recommended during the first 12 months of fenofibrate administration.
Acute Hypersensitivity
Anaphylaxis and angioedema have been reported postmarketing with fenofibrate. In some cases, reactions were life-threatening and required emergency treatment. If a patient develops signs or symptoms of an acute hypersensitivity reaction, advise them to seek immediate medical attention and discontinue fenofibrate.
Delayed Hypersensitivity
Severe cutaneous adverse drug reactions (SCAR), including Stevens-Johnson syndrome, toxic epidermal necrolysis, and Drug Reaction with Eosinophilia and Systemic Symptoms (DRESS), have been reported postmarketing, occurring days to weeks after initiation of fenofibrate. The cases of DRESS were associated with cutaneous reactions (such as rash or exfoliative dermatitis) and a combination of eosinophilia, fever, systemic organ involvement (renal, hepatic, or respiratory). Discontinue fenofibrate and treat patients appropriately if SCAR is suspected.
In the FIELD trial, pulmonary embolus (PE) and deep vein thrombosis (DVT) were observed at higher rates in the fenofibrate-than the placebo-treated group. Of 9,795 patients enrolled in FIELD, there were 4,900 in the placebo group and 4,895 in the fenofibrate group. For DVT, there were 48 events (1%) in the placebo group and 67 (1%) in the fenofibrate group (p = 0.074); and for PE, there were 32 (0.7%) events in the placebo group and 53 (1%) in the fenofibrate group (p = 0.022).
In the Coronary Drug Project, a higher proportion of the clofibrate group experienced definite or suspected fatal or nonfatal pulmonary embolism or thrombophlebitis than the placebo group (5.2% vs. 3.3% at five years; p < 0.01).
There have been postmarketing and clinical trial reports of severe decreases in HDL cholesterol levels (as low as 2 mg/dL) occurring in diabetic and non-diabetic patients initiated on fibrate therapy. The decrease in HDL-C is mirrored by a decrease in apolipoprotein A1. This decrease has been reported to occur within 2 weeks to years after initiation of fibrate therapy. The HDL-C levels remain depressed until fibrate therapy has been withdrawn; the response to withdrawal of fibrate therapy is rapid and sustained. The clinical significance of this decrease in HDL-C is unknown. It is recommended that HDL-C levels be checked within the first few months after initiation of fibrate therapy. If a severely depressed HDL-C level is detected, fibrate therapy should be withdrawn, and the HDL-C level monitored until it has returned to baseline, and fibrate therapy should not be re-initiated.
The following serious adverse reactions are described below and elsewhere in the labeling:
Mortality and coronary heart disease morbidity [see Warnings and Precautions (5.1)]
Hepatotoxicity [see Warnings and Precautions (5.2)]
Pancreatitis [see Warnings and Precautions (5.7)]
Hypersensitivity reactions [see Warnings and Precautions (5.9)]
Venothromboembolic disease [see Warnings and Precautions (5.10)]
Because clinical studies are conducted under widely varying conditions, adverse reaction rates observed in the clinical studies of a drug cannot be directly compared to rates in the clinical studies of another drug and may not reflect the rates observed in practice.
Adverse events reported by 2% or more of patients treated with fenofibrate (and greater than placebo) during the double-blind, placebo-controlled trials, regardless of causality, are listed in Table 1 below. Adverse events led to discontinuation of treatment in 5.0% of patients treated with fenofibrate and in 3.0% treated with placebo. Increases in liver function tests were the most frequent events, causing discontinuation of fenofibrate treatment in 1.6% of patients in double-blind trials.
Table 1. Adverse Reactions Reported by 2% or More of Patients Treated with Fenofibrate and Greater than Placebo During the Double-Blind, Placebo-Controlled Trials
| BODY SYSTEM
| Fenofibrate*
| Placebo
|
| Adverse Reaction
| (N=439)
| (N=365)
|
|
BODY AS A WHOLE |
||
| Abdominal Pain | 4.6 % | 4.4 % |
| Back Pain | 3.4 % | 2.5 % |
|
Headache | 3.2 % | |
| DIGESTIVE
| | 2.7 % |
| Nausea | 2.3 % | 1.9 % |
| Constipation | 2.1 % | 1.4 % |
| METABOLIC AND NUTRITIONAL DISORDERS
|
||
| Abnormal Liver Function Tests | 7.5 %** | 1.4 % |
| Increased ALT | 3.0 % | 1.6 % |
| Increased CPK | 3.0 % | 1.4 % |
| Increased AST | 3.4 %** | 0.5 % |
|
RESPIRATORY |
||
| Respiratory Disorder | 6.2% | 5.5 % |
| Rhinitis | 2.3 % | 1.1 % |
* Dosage equivalent to 160 mg fenofibrate.
** Significantly different from Placebo
Urticaria was seen in 1.1% vs. 0%, and rash in 1.4% vs. 0.8% of fenofibrate and placebo patients respectively in controlled trials.
Increases in Liver Enzymes
In a pooled analysis of 10 placebo-controlled trials, increases to > 3 times the upper limit of normal in ALT occurred in 5.3% of patients taking fenofibrate at doses equivalent to 107 mg to 160 mg fenofibrate daily versus 1.1% of patients treated with placebo. In an 8-week study, the incidence of ALT or AST elevations ≥ 3 times the upper limit of normal was 13% in patients receiving dosages equivalent to 107 mg to 160 mg fenofibrate daily and was 0% in those receiving dosages equivalent to 54 mg or less fenofibrate daily or placebo.
The following adverse reactions have been identified during postapproval use of fenofibrate. Because these reactions are reported voluntarily from a population of uncertain size, it is not always possible to reliably estimate their frequency or establish a causal relationship to drug exposure: myalgia, rhabdomyolysis, pancreatitis, acute renal failure, muscle spasm, hepatitis, cirrhosis,increased total bilirubin, anemia, arthralgia, decreases in hemoglobin, decreases in hematocrit, white blood cell decreases, asthenia, severely depressed HDL-cholesterol levels, and interstitial lung disease. Photosensitivity reactions have occurred days to months after initiation; in some of these cases, patients reported a prior photosensitivity reaction to ketoprofen.
Potentiation of coumarin-type anticoagulant effects has been observed with prolongation of the PT/INR.
Caution should be exercised when coumarin anticoagulants are given in conjunction with fenofibrate . The dosage of the anticoagulants should be reduced to maintain the PT/INR at the desired level to prevent bleeding complications. Frequent PT/INR determinations are advisable until it has been definitely determined that the PT/INR has stabilized [see Warnings and Precautions (5.6)].
Immunosuppessants such as cyclosporine and tacrolimus can produce nephrotoxicity with decreases in creatinine clearance and rises in serum creatinine, and because renal excretion is the primary elimination route of fibrate drugs including fenofibrate , there is a risk that an interaction will lead to deterioration of renal function. The benefits and risks of using fenofibrate with immunosuppressants and other potentially nephrotoxic agents should be carefully considered, and the lowest effective dose employed and renal function monitored.
Risk Summary
Limited available data with fenofibrate use in pregnant women are insufficient to determine a drug associated risk of major birth defects, miscarriage or adverse maternal or fetal outcomes. In animal reproduction studies, no evidence of embryo-fetal toxicity was observed with oral administration of fenofibrate in rats and rabbits during organogenesis at doses less than or equivalent to the maximum recommended clinical dose of 160 mg daily, based on body surface area (mg/m2). Adverse reproductive outcomes occurred at higher doses in the presence of maternal toxicity (see Data). Fenofibrate tablets should be used during pregnancy only if the potential benefit justifies the potential risk to the fetus.
The estimated background risk of major birth defects and miscarriage for the indicated population is unknown. In the U.S. general population, the estimated background risk of major birth defects and miscarriage in clinically recognized pregnancies is 2-4% and 15-20%, respectively.
Data
Animal Data
In pregnant rats given oral dietary doses of 14, 127, and 361 mg/kg/day from gestation day 6-15 during the period of organogenesis, no adverse developmental findings were observed at 14 mg/kg/day (less than the clinical exposure at the maximum recommended human dose [MRHD] of 300 mg fenofibrate daily, equivalent to 160 mg fenofibrate tablets daily, based on body surface area comparisons). Increased fetal skeletal malformations were observed at maternally toxic doses (361 mg/kg/day, corresponding to 12 times the clinical exposure at the MRHD) that significantly suppressed maternal body weight gain.
In pregnant rabbits given oral gavage doses of 15, 150, and 300 mg/kg/day from gestation day 6- 18 during the period of organogenesis and allowed to deliver, no adverse developmental findings were observed at 15 mg/kg/day (a dose that approximates the clinical exposure at the MRHD, based on body surface area comparisons). Aborted litters were observed at maternally toxic doses (≥ 150 mg/kg/day, corresponding to ≥ 10 times the clinical exposure at the MRHD) that suppressed maternal body weight gain.
In pregnant rats given oral dietary doses of 15, 75, and 300 mg/kg/day from gestation day 15 through lactation day 21 (weaning), no adverse developmental effects were observed at 15 mg/kg/day (less than the clinical exposure at the MRHD, based on body surface area comparisons), despite maternal toxicity (decreased weight gain). Post-implantation loss was observed at ≥ 75 mg/kg/day (≥ 2 times the clinical exposure at the MRHD) in the presence of maternal toxicity (decreased weight gain). Decreased pup survival was noted at 300 mg/kg/day (10 times the clinical exposure at the MRHD), which was associated with decreased maternal body weight gain/maternal neglect.
Risk Summary
There is no available information on the presence of fenofibrate in human milk, effects of the drug on the breastfed infant, or the effects on milk production. Fenofibrate is present in the milk of rats, and is therefore likely to be present in human milk. Because of the potential for serious adverse reactions in breastfed infants, such as disruption of infant lipid metabolism, women should not breastfeed during treatment with fenofibrate tablets and for 5 days after the final dose [see Contraindications (4)].
Fenofibric acid is known to be substantially excreted by the kidney, and the risk of adverse reactions to this drug may be greater in patients with impaired renal function. Fenofibric acid exposure is not influenced by age. Since elderly patients have a higher incidence of renal impairment, dose selection for the elderly should be made on the basis of renal function [see Dosage and Administration (2.5) and Clinical Pharmacology (12.3)]. Elderly patients with normal renal function should require no dose modifications. Consider monitoring renal function in elderly patients taking fenofibrate.
The use of fenofibrate should be avoided in patients who have severe renal impairment [see Contraindications (4)]. Dose reduction is required in patients with mild to moderate renal impairment [see Dosage and Administration (2.4) and Clinical Pharmacology (12.3)]. Monitoring renal function in patients with renal impairment is recommended.
There is no specific treatment for overdose with fenofibrate . General supportive care of the patient is indicated, including monitoring of vital signs and observation of clinical status, should an overdose occur. If indicated, elimination of unabsorbed drug should be achieved by emesis or gastric lavage; usual precautions should be observed to maintain the airway. Because fenofibric acid is highly bound to plasma proteins, hemodialysis should not be considered.
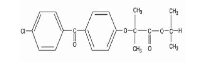
Fenofibrate tablets USP, is a lipid regulating agent available as tablets for oral administration. Each tablet contains 54 mg or 160 mg of fenofibrate . The chemical name for fenofibrate is 2-[4-(4-chlorobenzoyl) phenoxy]-2-methyl-propanoic acid, 1-methylethyl ester with the following structural formula:

The molecular formula is C20H21O4Cl and the molecular weight is 360.83; fenofibrate is insoluble in water. The melting point is 79-82°C. Fenofibrate is a white solid which is stable under ordinary conditions.
Inactive Ingredients
Each tablet contains Croscarmellose sodium, Crospovidone, Docusate sodium, Lecithin, Mannitol, Microcrystalline cellulose, Polyvinyl alcohol-part hydrolyzed, Povidone,Sodium lauryl Sulphate, Sodium stearyl fumarate, Talc, Titanium dioxide, Xanthan gum.
In addition, 54 mg individual tablets contain: Iron oxide yellow
FDA approved dissolution test specifications differ from USP.
The active moiety of Fenofibrate tablet is fenofibric acid. The pharmacological effects of fenofibric acid in both animals and humans have been extensively studied through oral administration of fenofibrate.
The lipid-modifying effects of fenofibric acid seen in clinical practice have been explained in vivo in transgenic mice and in vitro in human hepatocyte cultures by the activation of peroxisome proliferator activated receptor α (PPARα). Through this mechanism, fenofibrate increases lipolysis and elimination of triglyceride-rich particles from plasma by activating lipoprotein lipase and reducing production of apoprotein C-III (an inhibitor of lipoprotein lipase activity).
The resulting decrease in TG produces an alteration in the size and composition of LDL from small, dense particles (which are thought to be atherogenic due to their susceptibility to oxidation), to large buoyant particles. These larger particles have a greater affinity for cholesterol receptors and are catabolized rapidly. Activation of PPARα also induces an increase in the synthesis of apolipoproteins A-I, A-II and HDL-cholesterol.
Fenofibrate also reduces serum uric acid levels in hyperuricemic and normal individuals by increasing the urinary excretion of uric acid.
A variety of clinical studies have demonstrated that elevated levels of total-C, LDL-C, and apo B, an LDL membrane complex, are associated with human atherosclerosis. Similarly, decreased levels of HDL-C and its transport complex, apolipoprotein A (apo AI and apo AII) are associated with the development of atherosclerosis. Epidemiologic investigations have established that cardiovascular morbidity and mortality vary directly with the level of total-C, LDL-C, and TG, and inversely with the level of HDL-C. The independent effect of raising HDL-C or lowering triglycerides (TG) on the risk of cardiovascular morbidity and mortality has not been determined.
Fenofibric acid, the active metabolite of fenofibrate, produces reductions in total cholesterol, LDL cholesterol, apolipoprotein B, total triglycerides and triglyceride rich lipoprotein (VLDL) in treated patients. In addition, treatment with fenofibrate results in increases in high density lipoprotein (HDL) and apolipoproteins apoAI and apoAII.
Fenofibrate is a pro-drug of the active chemical moiety fenofibric acid. Fenofibrate is converted by ester hydrolysis in the body to fenofibric acid which is the active constituent measurable in the circulation.
Absorption
The absolute bioavailability of fenofibrate cannot be determined as the compound is virtually insoluble in aqueous media suitable for injection. However, fenofibrate is well absorbed from the gastrointestinal tract. Following oral administration in healthy volunteers, approximately 60% of a single dose of radiolabelled fenofibrate appeared in urine, primarily as fenofibric acid and its glucuronate conjugate, and 25% was excreted in the feces. Peak plasma levels of fenofibric acid occur within 6 to 8 hours after administration.
The absorption of fenofibrate is increased when administered with food. With fenofibrate tablets, the extent of absorption is increased by approximately 35% under fed as compared to fasting conditions.
Distribution
Upon multiple dosing of fenofibrate, fenofibric acid steady state is achieved within 5 days. Plasma concentrations of fenofibric acid at steady state are approximately double of those following a single dose. Serum protein binding was approximately 99% in normal and hyperlipidemic subjects.
Metabolism
Following oral administration, fenofibrate is rapidly hydrolyzed by esterases to the active metabolite, fenofibric acid; no unchanged fenofibrate is detected in plasma.
Fenofibric acid is primarily conjugated with glucuronic acid and then excreted in urine. A small amount of fenofibric acid is reduced at the carbonyl moiety to a benzhydrol metabolite which is, in turn, conjugated with glucuronic acid and excreted in urine.
In vivo metabolism data indicate that neither fenofibrate nor fenofibric acid undergo oxidative metabolism (e.g., cytochrome P450) to a significant extent.
Elimination
After absorption, fenofibrate is mainly excreted in the urine in the form of metabolites, primarily fenofibric acid and fenofibric acid glucuronide. After administration of radiolabelled fenofibrate, approximately 60% of the dose appeared in the urine and 25% was excreted in the feces.
Fenofibric acid is eliminated with a half-life of 20 hours, allowing once daily dosing.
Special Populations
Geriatrics
In elderly volunteers 77 to 87 years of age, the oral clearance of fenofibric acid following a single oral dose of fenofibrate was 1.2 L/h, which compares to 1.1 L/h in young adults. This indicates that a similar dosage regimen can be used in elderly with normal renal function, without increasing accumulation of the drug or metabolites [see Dosage and Administration (2.5) and Use in Specific Populations (8.5)].
Pediatrics
The pharmacokinetics of fenofibrate has not been studied in pediatric populations.
Gender
No pharmacokinetic difference between males and females has been observed for fenofibrate.
Race
The influence of race on the pharmacokinetics of fenofibrate has not been studied, however fenofibrate is not metabolized by enzymes known for exhibiting inter-ethnic variability.
Renal Impairment
The pharmacokinetics of fenofibric acid was examined in patients with mild, moderate, and severe renal impairment. Patients with severe renal impairment (estimated glomerular filtration rate [eGFR] < 30 mL/min/1.73m2) showed 2.7-fold increase in exposure for fenofibric acid and increased accumulation of fenofibric acid during chronic dosing compared to that of healthy subjects. Patients with mild to moderate renal impairment (eGFR 30-59 mL/min/1.73m2) had similar exposure but an increase in the half-life for fenofibric acid compared to that of healthy subjects. Based on these findings, the use of fenofibrate should be avoided in patients who have severe renal impairment and dose reduction is required in patients having mild to moderate renal impairment [see Dosage and Administration (2.4)].
Hepatic Impairment
No pharmacokinetic studies have been conducted in patients with hepatic impairment.
Drug-drug Interactions
In vitro studies using human liver microsomes indicate that fenofibrate and fenofibric acid are not inhibitors of cytochrome (CYP) P450 isoforms CYP3A4, CYP2D6, CYP2E1, or CYP1A2. They are weak inhibitors of CYP2C8, CYP2C19 and CYP2A6, and mild-to-moderate inhibitors of CYP2C9 at therapeutic concentrations.
Table 2 describes the effects of co-administered drugs on fenofibric acid systemic exposure.
Table 3 describes the effects of co-administered fenofibrate or fenofibric acid on other drugs.
| Table 2. Effects of Co-Administered Drugs on Fenofibric Acid Systemic Exposure from Fenofibrate Administration
|
||||
| Co-Administered Drug | Dosage Regimen of Co-Administered Drug | Dosage Regimen of Fenofibrate* | Changes in Fenofibric Acid Exposure |
|
| | | AUC | Cmax
|
|
| Lipid-lowering agents
|
||||
| Atorvastatin | 20 mg once daily for 10 days | Fenofibrate 160 mg1 once daily for 10 days | ↓2% | ↓4% |
| Pravastatin | 40 mg as a single dose | Fenofibrate 3 x 67 mg2 as a single dose | ↓1% | ↓2% |
| Fluvastatin | 40 mg as a single dose | Fenofibrate 160 mg1 as a single dose | ↓2% | ↓10% |
| Anti-diabetic agents
|
||||
| Glimepiride | 1 mg as a single dose | Fenofibrate 145 mg1 once daily for 10 days | ↑1% | ↓1% |
| Metformin | 850 mg three times daily for 10 days | Fenofibrate 54 mg1 three times daily for 10 days | ↓9% | ↓6% |
| Rosiglitazone | 8 mg once daily for 5 days | Fenofibrate 145 mg1 once daily for 14 days | ↑10% | ↑3% |
| * Plasma concentrations of fenofibric acid after administration of 54 mg and 160 mg tablets are equivalent under fed conditions to 67 and 200 mg capsules, respectively. Plasma concentrations of fenofibric acid after administration of one 145 mg tablet are equivalent under fed conditions to one 200 mg capsule. |
||||
| 1 Fenofibrate oral tablet |
||||
| 2 Fenofibrate oral micronized capsule |
||||
| Table 3. Effects of Fenofibrate Co-Administration on Systemic Exposure of Other Drugs
|
||||
| Dosage Regimen of Fenofibrate* | Dosage Regimen of Co-Administered Drug | Change in Co-Administered Drug Exposure |
||
| | | Analyte | AUC | Cmax
|
| Lipid-lowering agents
|
||||
| Fenofibrate 160 mg1 once daily for 10 days | Atorvastatin, 20 mg once daily for 10 days | Atorvastatin | ↓17% | 0% |
| Fenofibrate 3 x 67 mg2 as a single dose | Pravastatin, 40 mg as a single dose | Pravastatin | ↑13% | ↑13% |
| | | 3α-Hydroxyl-isopravastatin | ↑26% | ↑29% |
| Fenofibrate 160 mg1 as a single dose | Fluvastatin, 40 mg as a single dose | (+)-3R, 5S-Fluvastatin | ↑15% | ↑16% |
| Anti-diabetic agents
|
||||
| Fenofibrate 145 mg1 once daily for 10 days | Glimepiride, 1 mg as a single dose | Glimepiride | ↑35% | ↑18% |
| Fenofibrate 54 mg1 three times daily for 10 days | Metformin, 850 mg three times daily for 10 days | Metformin | ↑3% | ↑6% |
| Fenofibrate 145 mg1 once daily for 14 days | Rosiglitazone, 8 mg once daily for 5 days | Rosiglitazone | ↑6% | ↓1% |
| * Plasma concentrations of fenofibric acid after administration of 54 mg and 160 mg tablets are equivalent under fed conditions to 67 and 200 mg capsules, respectively. Plasma concentrations of fenofibric acid after administration of one 145 mg tablet are equivalent under fed conditions to one 200 mg capsule. |
||||
| 1 Fenofibrate oral tablet |
||||
| 2 Fenofibrate oral micronized capsule |
||||
Two dietary carcinogenicity studies have been conducted in rats with fenofibrate. In the first 24-month study, Wistar rats were dosed with fenofibrate at 10, 45, and 200 mg/kg/day, approximately 0.3, 1, and 6 times the maximum recommended human dose (MRHD) of 300 mg fenofibrate daily, equivalent to 160 mg fenofibrate daily, based on body surface area comparisons. At a dose of 200 mg/kg/day (at 6 times the MRHD), the incidence of liver carcinomas was significantly increased in both sexes. A statistically significant increase in pancreatic carcinomas was observed in males at 1 and 6 times the MRHD; an increase in pancreatic adenomas and benign testicular interstitial cell tumors was observed at 6 times the MRHD in males. In a second 24-month rat carcinogenicity study in a different strain of rats (Sprague-Dawley), doses of 10 and 60 mg/kg/day (0.3 and 2 times the MRHD) produced significant increases in the incidence of pancreatic acinar adenomas in both sexes and increases in testicular interstitial cell tumors in males at 2 times the MRHD
A 117-week carcinogenicity study was conducted in rats comparing three drugs: fenofibrate 10 and 60 mg/kg/day (0.3 and 2 times the MRHD),based on body surface area comparison), clofibrate (400 mg/kg/day; 2 times the human dose), and gemfibrozil (250 mg/kg/day; 2 times the human dose, based on mg/m2 surface area). Fenofibrate increased pancreatic acinar adenomas in both sexes. Clofibrate increased hepatocellular carcinoma and pancreatic acinar adenomas in males and hepatic neoplastic nodules in females. Gemfibrozil increased hepatic neoplastic nodules in males and females, while all three drugs increased testicular interstitial cell tumors in males.
In a 21-month study in CF-1 mice, fenofibrate 10, 45, and 200 mg/kg/day (approximately 0.2, 1, and 3 times the MRHD, based on body surface area comparison) significantly increased the liver carcinomas in both sexes at 3 times the MRHD. In a second 18-month study at 10, 60, and 200 mg/kg/day, fenofibrate significantly increased the liver carcinomas in male mice and liver adenomas in female mice at 3 times the MRHD.
Electron microscopy studies have demonstrated peroxisomal proliferation following fenofibrate administration to the rat. An adequate study to test for peroxisome proliferation in humans has not been done, but changes in peroxisome morphology and numbers have been observed in humans after treatment with other members of the fibrate class when liver biopsies were compared before and after treatment in the same individual.
Fenofibrate has been demonstrated to be devoid of mutagenic potential in the following tests: Ames, mouse lymphoma, chromosomal aberration and unscheduled DNA synthesis in primary rat hepatocytes.
In fertility studies rats were given oral dietary doses of fenofibrate, males received 61 days prior to mating and females 15 days prior to mating through weaning which resulted in no adverse effect on fertility at doses up to 300 mg/kg/day (10 times the MRHD, based on body surface area comparisons).
The effects of fenofibrate at a dose equivalent to 160 mg febnofibrate tablet per day were assessed from four randomized, placebo-controlled, double-blind, parallel-group studies including patients with the following mean baseline lipid values: total-C 306.9 mg/dL; LDL-C
213.8 mg/dL; HDL-C 52.3 mg/dL; and triglycerides 191.0 mg/dL. Fenofibrate therapy lowered LDL-C, Total-C, and the LDL-C/HDL-C ratio. Fenofibrate therapy also lowered triglycerides and raised HDL-C (see Table 4).
Table 4. Mean Percent Change in Lipid Parameters at End of Treatment†
| Treatment Group
| Total-C
| LDL-C
| HDL-C
| TG
|
| Pooled Cohort
|
||||
| Mean baseline lipid values (n=646) | 306.9 mg/dL | 213.8 mg/dL | 52.3 mg/dL | 191.0 mg/dL |
| All FEN (n=361) | -18.7%* | -20.6%* | +11%* | -28.9%* |
| Placebo (n=285) | -0.4% | -2.2% | +0.7% | +7.7% |
| Baseline LDL-C > 160 mg/dL and TG < 150 mg/dL
|
||||
| Mean baseline lipid values (n=334) | 307.7 mg/dL | 227.7 mg/dL | 58.1 mg/dL | 101.7 mg/dL |
| All FEN (n=193) | -22.4%* | -31.4%* | +9.8%* | -23.5%* |
| Placebo (n=141) | +0.2% | -2.2% | +2.6 % | +11.7 % |
| Baseline LDL-C >160 mg/dL and TG ≥ 150 mg/dL
|
||||
| Mean baseline lipid values (n=242) | 312.8 mg/dL | 219.8 mg/dL | 46.7 mg/dL | 231.9 mg/dL |
| All FEN (n=126) | -16.8 %* | -20.1 %* | +14.6 %* | -35.9 %* |
| Placebo (n=116) | -3.0% | -6.6% | +2.3% | +0.9% |
| † Duration of study treatment was 3 to 6 months. * p = < 0.05 vs. Placebo |
||||
In a subset of the subjects, measurements of apo B were conducted. fenofibrate treatment significantly reduced apo B from baseline to endpoint as compared with placebo (-25.1% vs. 2.4%, p < 0.0001, n=213 and 143 respectively).
The effects of fenofibrate on serum triglycerides were studied in two randomized, double-blind, placebo-controlled clinical trials of 147 hypertriglyceridemic patients. Patients were treated for eight weeks under protocols that differed only in that one entered patients with baseline TG levels of 500 to 1500 mg/dL, and the other TG levels of 350 to 500 mg/dL. In patients with hypertriglyceridemia and normal cholesterolemia with or without hyperchylomicronemia, treatment with fenofibrate at dosages equivalent to fenofibrate 160 mg per day decreased primarily very low density lipoprotein (VLDL) triglycerides and VLDL cholesterol. Treatment of patients with elevated triglycerides often results in an increase of LDL-C (see Table 5).
Table 5. Effects of Fenofibrate in Patients With Severe Hypertriglyceridemia
| Study 1
| Placebo
|
|
| Fenofibrate tablets
|
|
|
||
| Baseline TG levels 350 to 499 mg/dL
| N
| Baseline
(Mean) | Endpoint
(Mean) | % Change (Mean)
| N
| Baseline (Mean)
| Endpoint (Mean)
| % Change (Mean)
|
| Triglycerides | 28 | 449 | 450 | -0.5 | 27 | 432 | 223 | -46.2* |
| VLDL | 19 | 367 | 350 | 2.7 | 19 | 350 | 178 | -44.1* |
| Triglycerides | | | | | | | | |
| Total Cholesterol | 28 | 255 | 261 | 2.8 | 27 | 252 | 227 | -9.1* |
| HDL Cholesterol | 28 | 35 | 36 | 4 | 27 | 34 | 40 | 19.6* |
| LDL Cholesterol | 28 | 120 | 129 | 12 | 27 | 128 | 137 | 14.5 |
| VLDL Cholesterol | 27 | 99 | 99 | 5.8 | 27 | 92 | 46 | -44.7* |
| Study 2
| Placebo
|
|
| Fenofibrate tablets
|
| |
||
| Baseline TG levels
500 to 1500 mg/dL | N
| Baseline
(Mean) | Endpoint
(Mean) | % change (Mean)
| N
| Baseline (Mean)
| Endpoint (Mean)
| % Change (Mean)
|
| Triglycerides | 44 | 710 | 750 | 7.2 | 48 | 726 | 308 | -54.5* |
| VLDL | 29 | 537 | 571 | 18.7 | 33 | 543 | 205 | -50.6* |
| Triglycerides | | | | | | | | |
| Total Cholesterol | 44 | 272 | 271 | 0.4 | 48 | 261 | 223 | -13.8* |
| HDL Cholesterol | 44 | 27 | 28 | 5.0 | 48 | 30 | 36 | 22.9* |
| LDL Cholesterol | 42 | 100 | 90 | -4.2 | 45 | 103 | 131 | 45.0* |
| VLDL Cholesterol | 42 | 137 | 142 | 11 | 45 | 126 | 54 | -49.4* |
* =p < 0.05 vs. Placebo
The effect of fenofibrate on cardiovascular morbidity and mortality has not been determined.
54 mg Yellow, circular, biconvex film coated tablets, debossed with "T31" on one side and plain surface on the other side.
Bottles of 90 tablets (NDC: 33342-347-10).
Package of 126 tablets (9 x 14 unit-dose) (NDC33342-347-47)
Package of 100 tablets (10 x 10 unit-dose) (NDC33342-347-12)
160 mg White, oval, bevel edged biconvex film coated tablets, debossed with "T32" on one side and plain surface on the other side.
Bottles of 90 tablets (NDC33342-348-10)
Bottles of 500 tablets (NDC33342-348-15)
Package of 100 tablets (10 x 10 unit-dose) (NDC33342-348-12)
Storage
Store at 20º to 25ºC (68º to 77ºF); excursions permitted to 15° to 30ºC (59° to 86ºF). [See USP Controlled Room Temperature].
Keep this and all medication out of reach of children. Protect from moisture.
Dispense in tightly-closed, light-resistant container as defined in the USP, with a child-resistant closure, as required.
Patients should be advised:
Manufactured for:
Macleods Pharma USA, Inc.
Princeton, NJ 08540
Manufactured by:
Macleods Pharmaceuticals Limited
Baddi, Himachal Pradesh-174101 INDIA
Revised: March 2026
Fenofibrate Tablets, USP 54 mg
NDC: 33342-347-10
90's Tablets
Daman-

Baddi-

Fenofibrate Tablets, USP 54 mg
NDC: 33342-347-47
9 x 14's Tablets
Daman-

Fenofibrate Tablets, USP 54 mg
NDC: 33342-347-12
10 x 10's Tablets
Baddi-

Fenofibrate Tablets, USP 160 mg
NDC: 33342-348-10
90's Tablets
Daman-

Baddi-

Fenofibrate Tablets, USP 160 mg
NDC: 33342-348-15
500's Tablets
Daman-

Baddi-

Fenofibrate Tablets, USP 160 mg
NDC: 33342-348-12
10 x 10's Tablets
Daman-

Baddi-

| FENOFIBRATE
fenofibrate tablet |
|||||||||||||||||||||||||||||||||||
|
|||||||||||||||||||||||||||||||||||
|
|||||||||||||||||||||||||||||||||||
|
|||||||||||||||||||||||||||||||||||
|
|||||||||||||||||||||||||||||||||||
|
|||||||||||||||||||||||||||||||||||
|
|||||||||||||||||||||||||||||||||||
| FENOFIBRATE
fenofibrate tablet |
||||||||||||||||||||||||||||||
|
||||||||||||||||||||||||||||||
|
||||||||||||||||||||||||||||||
|
||||||||||||||||||||||||||||||
|
||||||||||||||||||||||||||||||
|
||||||||||||||||||||||||||||||
|
||||||||||||||||||||||||||||||
| Labeler - Macleods Pharmaceuticals Limited (862128535) |
| Establishment | |||
| Name | Address | ID/FEI | Business Operations |
|---|---|---|---|
| Macleods Pharmaceuticals Limited | 676369519 | ANALYSIS(33342-347, 33342-348) , LABEL(33342-347, 33342-348) , MANUFACTURE(33342-347, 33342-348) , PACK(33342-347, 33342-348) | |
| Establishment | |||
| Name | Address | ID/FEI | Business Operations |
|---|---|---|---|
| Macleods Pharmaceuticals Limited | 918608365 | ANALYSIS(33342-347, 33342-348) , LABEL(33342-347, 33342-348) , MANUFACTURE(33342-347, 33342-348) , PACK(33342-347, 33342-348) | |