NYSTATIN by is a Prescription medication manufactured, distributed, or labeled by Genus Lifesciences Inc., TriRx Huntsville Pharmaceutical Services. Drug facts, warnings, and ingredients follow.
Nystatin is an antimycotic polyene antibiotic obtained from Streptomyces noursei.
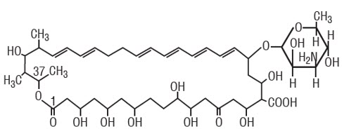
Structural formula:
![]() |
||
| C47H75NO17 | MW = 926.13 | |
Nystatin Oral Suspension is a cherry-mint flavored suspension for oral administration. It contains 100,000 USP Nystatin Units per mL. Inactive ingredients: alcohol ( 1% v/v), carboxymethylcellulose sodium, flavor, glycerin, methylparaben, propylparaben, purified water, saccharin sodium, sodium citrate, and sucrose (50% w/v). May also contain citric acid for pH adjustment.
Gastrointestinal absorption of nystatin is insignificant. Most orally administered nystatin is passed unchanged in the stool. In patients with renal insufficiency receiving oral therapy with conventional dosage forms, significant plasma concentrations of nystatin may occasionally occur.
Nystatin is both fungistatic and fungicidal in vitro against a wide variety of yeasts and yeast-like fungi. Candida albicans demonstrates no significant resistance to nystatin in vitro on repeated subculture in increasing levels of nystatin; other Candida species become quite resistant. Generally, resistance does not develop in vivo. Nystatin acts by binding to sterols in the cell membrane of susceptible Candida species with a resultant change in membrane permeability allowing leakage of intracellular components. Nystatin exhibits no appreciable activity against bacteria, protozoa, or viruses.
This medication is not to be used for the treatment of systemic mycoses.
Discontinue treatment if sensitization or irritation is reported during use.
No long-term animal studies have been performed to evaluate carcinogenic potential. There also have been no studies to determine mutagenicity or whether this medication affects fertility in males or females.
Animal reproduction studies have not been conducted with nystatin oral suspension. It is also not known whether nystatin oral suspension can cause fetal harm when administered to a pregnant woman or can affect reproduction capacity. Nystatin oral suspension should be given to a pregnant woman only if clearly needed.
Nystatin is well tolerated even with prolonged therapy. Oral irritation and sensitization have been reported (See PRECAUTIONS: General).
Gastrointestinal: Diarrhea (including one case of bloody diarrhea), nausea, vomiting, gastrointestinal upset/disturbances.
Dermatologic: Rash, including urticaria has been reported rarely.
Stevens-Johnson syndrome has been reported very rarely.
Other: Tachycardia, bronchospasm, facial swelling, and non-specific myalgia have also been reported.
Oral doses of nystatin in excess of five million units daily have caused nausea and gastrointestinal upset. There have been no reports of serious toxic effects or superinfections (See CLINICAL PHARMACOLOGY, Pharmacokinetics).
INFANTS: 2 mL (200,000 units) four times daily (in infants and young children, use dropper to place one-half of dose in each side of mouth and avoid feeding for 5 to 10 minutes).
NOTE: Limited clinical studies in premature and low birth weight infants indicate that 1 mL four times daily is effective.
CHILDREN AND ADULTS: 4 to 6 mL (400,000 to 600,000 units) four times daily (one-half of dose in each side of mouth). The preparation should be retained in the mouth as long as possible before swallowing.
Continue treatment for at least 48 hours after perioral symptoms have disappeared and cultures demonstrate eradication of Candida albicans.
Nystatin Oral Suspension, USP, 100,000 USP Nystatin Units per mL, is available as a cherry-mint flavored, light creamy yellow, ready-to-use suspension in 60 mL bottles with calibrated dropper and 473 mL bottles.
It is supplied as follows:
| NDC: 64950-372-06 | 60 mL |
| NDC: 64950-372-47 | 473 mL |
NDC: 64950-372-47
Nystatin Oral
Suspension, USP
100,000 units per mL
SHAKE WELL BEFORE USING
EACH mL CONTAINS: 100,000 USP
Nystatin Units in a vehicle containing
50% sucrose. Not more than 1% alcohol
by volume.
USUAL DOSAGE FOR INFANTS:
2 mL (200,000 units) four times daily
(1 mL in each side of mouth).
USUAL DOSAGE FOR CHILDREN
AND ADULTS: See package insert.
DISPENSE in tight, light-resistant
container as defined in the USP.
STORE at 20°C to 25°C (68°F to
77°F) with excursions permitted
between 15°C to 30°C (59°F to 86°F)
[See USP Controlled Room Temperature];
avoid freezing.
1 Pint (473 mL)
Rx Only
Genus™
Lifesciences Inc.

NDC: 64950-372-06
Nystatin Oral
Suspension, USP
100,000 units per mL
SHAKE WELL BEFORE USING
60 mL
Rx Only
Genus™
Lifesciences Inc.

| NYSTATIN
nystatin suspension |
||||||||||||||||||||||||||||
|
||||||||||||||||||||||||||||
|
||||||||||||||||||||||||||||
|
||||||||||||||||||||||||||||
|
||||||||||||||||||||||||||||
|
||||||||||||||||||||||||||||
|
||||||||||||||||||||||||||||
| Labeler - Genus Lifesciences Inc. (113290444) |
| Establishment | |||
| Name | Address | ID/FEI | Business Operations |
|---|---|---|---|
| TriRx Huntsville Pharmaceutical Services | 117090286 | MANUFACTURE(64950-372) , PACK(64950-372) , LABEL(64950-372) , ANALYSIS(64950-372) | |