Ophthalmic solution: 1% atropine sulfate (3)
Hypersensitivity or allergic reaction to any ingredient in formulation (4.1)
Most common adverse reactions that have been reported are eye pain and stinging on administration, blurred vision, photophobia, decreased lacrimation, increased heart rate and blood pressure. (6)
To report SUSPECTED ADVERSE REACTIONS, contact Edenbridge Pharmaceuticals, LLC at 1-877-381-3336 or FDA at 1-800-FDA-1088 or www.fda.gov/medwatch.
The use of atropine and monoamine oxidase inhibitors (MAOI) is generally not recommended because of the potential to precipitate hypertensive crisis. (7)
Should only be used in pregnant women if clearly needed. (8.1)
See 17 for PATIENT COUNSELING INFORMATION.
Revised: 5/2026
Photophobia and blurred vision due to pupil unresponsiveness and cycloplegia may last up to 2 weeks.
The following serious adverse reactions are described below and elsewhere in the labeling:
The following adverse reactions were identified in clinical studies or postmarketing reports following use of atropine sulfate ophthalmic solution. Because these reactions are reported voluntarily from a population of uncertain size, it is not always possible to reliably estimate their frequency or establish a causal relationship to drug exposure.
Eye pain and stinging occurs upon instillation. Other commonly occurring adverse reactions include, blurred vision, photophobia, superficial keratitis and decreased lacrimation. Allergic reactions such as papillary conjunctivitis, contact dermatitis, and lid edema may also occur less commonly.
Systemic effects of atropine are related to its anti-muscarinic activity. Systemic adverse events reported include dryness of skin, mouth, and throat from decreased secretions from mucus membranes; restlessness, irritability or delirium from stimulation of the central nervous system; tachycardia; flushed skin of the face and neck.
Risk Summary
There are no adequate and well-controlled studies of atropine sulfate administration in pregnant women to inform a drug-associated risk. Adequate animal development and reproduction studies have not been conducted with atropine sulfate. In humans, 1% atropine sulfate is systemically bioavailable following topical ocular administration [see Clinical Pharmacology (12.3)].
Atropine sulfate ophthalmic solution 1% should only be used during pregnancy if the potential benefit justifies the potential risk to the fetus.
Risk Summary
There is no information to inform risk regarding the presence of atropine in human milk following ocular administration of atropine sulfate to the mother. The effects on breastfed infants and the effects on milk production are also unknown. The developmental and health benefits of breastfeeding should be considered along with the mother's clinical need for atropine sulfate and any potential adverse effects on the breastfed child from atropine sulfate.
The safety and effectiveness of atropine sulfate ophthalmic solution 1% have been established in pediatric patients aged 3 months and older. Use of atropine sulfate ophthalmic solution 1% is supported by evidence from adequate and well-controlled trials with additional safety data from published literature.
Due to the potential for systemic absorption, the use of atropine sulfate ophthalmic solution 1% in pediatric patients aged 3 months to 3 years should be limited to no more than one drop per eye per day.
Use in pediatric patients younger than 3 months of age is not recommended.
In the event of accidental ingestion or toxic overdosage with atropine sulfate ophthalmic solution, supportive care may include a short acting barbiturate or diazepam as needed to control marked excitement and convulsions. Large doses for sedation should be avoided because central depressant action may coincide with the depression occurring late in atropine poisoning. Central stimulants are not recommended.
Physostigmine, given by slow intravenous injection of 1 to 4 mg (0.5 to 1 mg in pediatric populations), rapidly abolishes delirium and coma caused by large doses of atropine. Since physostigmine is rapidly destroyed, the patient may again lapse into coma after one to two hours, and repeated doses may be required.
Artificial respiration with oxygen may be necessary. Cooling measures may be needed to help to reduce fever, especially in pediatric populations.
The fatal adult dose of atropine is not known. In pediatric patients, 10 mg or less may be fatal.
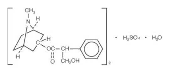
Atropine sulfate ophthalmic solution, 1% contains atropine, an anticholinergic, in a sterile colorless, clear solution for topical ophthalmic use. The active ingredient is represented by the chemical structure:

Chemical Name: Benzeneacetic acid, α-(hydroxymethyl)-, 8-methyl-8-azabicyclo[3.2.1.]oct-3-yl ester, endo –(±)-, sulfate (2:1) (salt), monohydrate.
Molecular Formula: (C17H23NO3)2 H2SO4 H2O
Molecular Weight: 694.83 g/mol
Each mL of atropine sulfate ophthalmic solution USP, 1% contains:
Active: atropine sulfate 10 mg (equivalent to 8.3 mg of atropine).
Inactives: benzalkonium chloride 0.1 mg (0.01%), dibasic sodium phosphate, edetate disodium, hypromellose (2910), monobasic sodium phosphate, hydrochloric acid and/or sodium hydroxide may be added to adjust pH (3.5 to 6.0), and water for injection USP.
Atropine is a reversible antagonist of muscarine-like actions of acetyl-choline and is therefore classified as an antimuscarinic agent. Atropine is relatively selective for muscarinic receptors. Its potency at nicotinic receptors is much lower, and actions at non-muscarinic receptors are generally undetectable clinically. Atropine does not distinguish among the M1, M2, and M3 subgroups of muscarinic receptors.
The pupillary constrictor muscle depends on muscarinic cholinoceptor activation. This activation is blocked by topical atropine resulting in unopposed sympathetic dilator activity and mydriasis. Atropine also weakens the contraction of the ciliary muscle, or cycloplegia. Cycloplegia results in loss of the ability to accommodate such that the eye cannot focus for near vision.
The onset of action after administration of atropine sulfate ophthalmic solution, 1%, is usually within 40 minutes with maximal effect being reached in about 2 hours. The effect can last for up to 2 weeks in a normal eye.
The bioavailability of atropine sulfate ophthalmic solution, 1% was assessed in six healthy subjects, 24 to 29 years of age. Subjects received either 0.3 mg atropine sulfate administered as bolus intravenous injection or 0.3 mg administered as 30 μl instilled unilaterally in the cul-de-sac of the eye. Plasma l-hyoscyamine concentrations were determined over selected intervals up to eight hours after dose administration.
The mean bioavailability of topically applied atropine was 63.5 ± 29% (range 19 to 95%) with large inter-individual differences. Mean maximum observed plasma concentration for the ophthalmic solution was 288 ± 73 pg/mL. Maximum concentration was reached in 28 ± 27 min after administration. Terminal half-life of l-hyoscamine was not affected by route of administration and was calculated to be 3 ± 1.2 hours (intravenous) and 2.5 ± 0.8 hours (topical ophthalmic).
In another placebo-controlled study, the systemic exposure to l-hyoscyamine, and the anti-cholinergic effects of atropine were investigated in eight ocular surgery patients 56 to 66 years of age, following single topical ocular 0.4 mg atropine dose (given as 40 microliters of atropine sulfate ophthalmic solution, 1%). The mean (± standard deviation (SD)) Cmax of l-hyoscyamine in these patients was 860 ± 402 pg/mL, achieved within 8 minutes of eyedrop instillation.
Following intravenous administration, the mean (± SD) elimination half-life (t1/2) of atropine was reported to be longer in pediatric subjects under 2 years (6.9 ± 3.3 hours) and in geriatric patients 65 to 75 years (10 ± 7.3 hours), compared to in children over 2 years (2.5 ± 1.2 hours) and in adults 16 to 58 years (3 ± 0.9 hours). (see Use in Specific Populations (8.4)).
Atropine is destroyed by enzymatic hydrolysis, particularly in the liver; from 13 to 50% is excreted unchanged in the urine. Traces are found in various secretions, including milk. The major metabolites of atropine are noratropine, atropin-n-oxide, tropine, and tropic acid. Atropine readily crosses the placental barrier and enters the fetal circulation but is not found in amniotic fluid.
Atropine binds poorly (about 44%) to plasma protein, mainly to alpha-1 acid glycoprotein; age has no effect on the serum protein binding of atropine. Atropine binding to α-1 acid glycoprotein was concentration dependent (2 to 20 mcg/mL) and nonlinear in vitro and in vivo. There is no gender effect on the pharmacokinetics of atropine administered by injection.
Carcinogenesis
Long term studies have not been performed to evaluate the carcinogenic potential of atropine sulfate.
Mutagenesis
Atropine sulfate was negative in the salmonella/microsome mutagenicity test.
Impairment of Fertility
Studies to evaluate impairment of fertility have not been conducted.
Topical administration of atropine sulfate ophthalmic solution, 1% results in cycloplegia and mydriasis which has been demonstrated in several controlled clinical studies in adults and pediatric patients. Maximal mydriasis usually occurs in about 40 minutes and maximal cycloplegia is usually achieved in about 60 to 90 minutes after single administration. Full recovery usually occurs in approximately one week, but may last a couple of weeks.
Atropine sulfate ophthalmic solution, USP 1% is supplied in a plastic dropper bottle with a red cap in the following sizes:
NDC: 42799-826-01 2 mL fill in 5mL bottle
NDC: 42799-826-02 5 mL fill in 5mL bottle
NDC: 42799-826-03 15 mL fill in 15mL bottle
Storage: Store at 20°C to 25°C (68°F to 77°F) [see USP Controlled Room Temperature]. Keep tightly closed. After opening, atropine sulfate ophthalmic solution can be used until the expiration date on the bottle.
Risk of Contamination
Advise patients not to touch the dropper tip to the eye, eyelids, or any other surface as this may contaminate the solution. Keep the bottle tightly closed.
Instillation Site Pain
Advise patients that drops will sting upon instillation.
Sensitivity to Light and Blurred Vision
Advise patients that they will experience sensitivity to light and blurred vision which may last for a couple of weeks.
Manufactured for:
Edenbridge Pharmaceuticals, LLC
DBA Dexcel Pharma USA
Parsippany, NJ 07054
877-381-3336
Revision: 01/2026
| ATROPINE SULFATE
atropine sulfate solution/ drops |
||||||||||||||||||||||||||||||||||||||||
|
||||||||||||||||||||||||||||||||||||||||
|
||||||||||||||||||||||||||||||||||||||||
|
||||||||||||||||||||||||||||||||||||||||
|
||||||||||||||||||||||||||||||||||||||||
|
||||||||||||||||||||||||||||||||||||||||
| Labeler - Edenbridge Pharmaceuticals LLC. (948715060) |