Amoxicillin by is a Prescription medication manufactured, distributed, or labeled by REMEDYREPACK INC.. Drug facts, warnings, and ingredients follow.
Warnings and Precautions, Drug-Induced Enterocolitis Syndrome (DIES) ( 5.3) 02/2024
Amoxicillin is a penicillin-class antibacterial indicated for treatment of infections due to susceptible strains of designated microorganisms. ( 1)
Adults and Pediatric Patients ( 1)
Adult Patients only ( 1)
Usage
To reduce the development of drug-resistant bacteria and maintain the effectiveness of amoxicillin capsules and other antibacterial drugs, amoxicillin capsules should be used only to treat or prevent infections that are proven or strongly suspected to be caused by bacteria. ( 1)
The most common adverse reactions (greater than 1%) observed in clinical trials of amoxicillin capsules were diarrhea, rash, vomiting, and nausea. ( 6.1)
To report SUSPECTED ADVERSE REACTIONS, contact Hikma Pharmaceuticals USA Inc. at 1-877-233-2001 or the FDA at 1-800-FDA-1088 or www.fda.gov/medwatch.
See 17 for PATIENT COUNSELING INFORMATION.
Revised: 2/2025
Adults and Pediatric Patients
Adult Patients only
Helicobacter pyloriInfection and Duodenal Ulcer Disease:
Triple therapy for Helicobacter pylori (H. pylori)with clarithromycin and lansoprazole : Amoxicillin, in combination with clarithromycin plus lansoprazole as triple therapy, is indicated for the treatment of patients with H. pyloriinfection and duodenal ulcer disease (active or 1-year history of a duodenal ulcer) to eradicate H. pylori. Eradication of H. pylorihas been shown to reduce the risk of duodenal ulcer recurrence.
Dual therapy for H. pyloriwith lansoprazole :
Amoxicillin, in combination with lansoprazole delayed-release capsules as dual therapy, is indicated for the treatment of patients with H. pyloriinfection and duodenal ulcer disease (active or 1-year history of a duodenal ulcer) who are either allergic or intolerant to clarithromycin or in whom resistance to clarithromycin is known or suspected. (See the clarithromycin package insert, MICROBIOLOGY.) Eradication of H. pylorihas been shown to reduce the risk of duodenal ulcer recurrence.
Usage
To reduce the development of drug-resistant bacteria and maintain the effectiveness of amoxicillin and other antibacterial drugs, amoxicillin should be used only to treat infections that are proven or strongly suspected to be caused by bacteria. When culture and susceptibility information are available, they should be considered in selecting or modifying antibacterial therapy. In the absence of such data, local epidemiology and susceptibility patterns may contribute to the empiric selection of therapy.
To minimize the potential for gastrointestinal intolerance, amoxicillin should be taken at the start of a meal.
| Infection | Severitya | Recommended Dosage for Adults and Pediatric Patients Aged 3 Months and Older and Weight Greater than 40 kg | Recommended Dosage for Pediatric Patients Aged 3 Months and Older and Weight Less than 40 kg |
| Ear/Nose/Throat
Skin/ Skin Structure Genitourinary Tract | Mild/
Moderate | 500 mg every 12 hours or 250 mg every 8 hours | 25 mg/kg/day in divided doses every 12 hours
or 20 mg/kg/day in divided doses every 8 hours |
| Severe | 875 mg every 12 hours or 500 mg every 8 hours | 45 mg/kg/day in divided doses every 12 hours
or 40 mg/kg/day in divided doses every 8 hours |
|
| Lower Respiratory Tract
| Mild/
Moderate or Severe | 875 mg every 12 hours or 500 mg every 8 hours | 45 mg/kg/day in divided doses every 12 hours
or 40 mg/kg/day in divided doses every 8 hours |
|
a Dosage for infections caused by bacteria that are intermediate in their susceptibility to amoxicillin should follow the recommendations for severe infections. |
|||
Triple therapy:The recommended adult oral dose is 1 gram amoxicillin, 500 mg clarithromycin, and 30 mg lansoprazole, all given twice daily (every 12 hours) for 14 days.
Dual therapy:The recommended adult oral dose is 1 gram amoxicillin and 30 mg lansoprazole, each given three times daily (every 8 hours) for 14 days.
Please refer to clarithromycin and lansoprazole full prescribing information.
| Patients with Renal Impairment | Dosage Regimen |
| GFR 10 to 30 mL/min | 500 mg or 250 mg every 12 hours, depending on the severity of the infection |
| GFR less than 10 mL/min | 500 mg or 250 mg every 24 hours, depending on severity of the infection |
| Hemodialysis
| 500 mg or 250 mg every 24 hours, depending on severity of the infection Administer an additional dose both during and at the end of dialysis |
Serious and occasionally fatal hypersensitivity (anaphylactic) reactions have been reported in patients on penicillin therapy including amoxicillin. Although anaphylaxis is more frequent following parenteral therapy, it has occurred in patients on oral penicillins. These reactions are more likely to occur in individuals with a history of penicillin hypersensitivity and/or a history of sensitivity to multiple allergens. There have been reports of individuals with a history of penicillin hypersensitivity who have experienced severe reactions when treated with cephalosporins. Before initiating therapy with amoxicillin, careful inquiry should be made regarding previous hypersensitivity reactions to penicillins, cephalosporins, or other allergens. If an allergic reaction occurs, amoxicillin should be discontinued, and appropriate therapy instituted.
Amoxicillin may cause severe cutaneous adverse reactions (SCAR), such as Stevens-Johnson syndrome (SJS), toxic epidermal necrolysis (TEN), drug reaction with eosinophilia and systemic symptoms (DRESS), and acute generalized exanthematous pustulosis (AGEP). If patients develop skin rash they should be monitored closely, and amoxicillin discontinued if lesions progress.
Drug-induced enterocolitis syndrome (DIES) has been reported with amoxicillin use [see Adverse Reactions ( 6.2)] , with most cases occurring in pediatric patients ≤18 years of age. DIES is a non-IgE mediated hypersensitivity reaction characterized by protracted vomiting occurring 1 to 4 hours after drug ingestion in the absence of skin or respiratory symptoms. DIES may be associated with pallor, lethargy, hypotension, shock, diarrhea within 24 hours after ingesting amoxicillin, and leukocytosis with neutrophilia. If DIES occurs, discontinue amoxicillin capsules and institute appropriate therapy.
Clostridioides difficile-associated diarrhea (CDAD) has been reported with use of nearly all antibacterial agents, including amoxicillin, and may range in severity from mild diarrhea to fatal colitis. Treatment with antibacterial agents alters the normal flora of the colon leading to overgrowth of C.difficile.
C.difficileproduces toxins A and B which contribute to the development of CDAD. Hypertoxin-producing strains of C. difficilecause increased morbidity and mortality, as these infections can be refractory to antimicrobial therapy and may require colectomy. CDAD must be considered in all patients who present with diarrhea following antibacterial use. Careful medical history is necessary since CDAD has been reported to occur over 2 months after the administration of antibacterial agents.
If CDAD is suspected or confirmed, ongoing antibacterial use not directed against C.difficilemay need to be discontinued. Appropriate fluid and electrolyte management, protein supplementation, antibacterial treatment of C. difficile, and surgical evaluation should be instituted as clinically indicated.
The following are discussed in more detail in other sections of the labeling:
Because clinical trials are conducted under widely varying conditions, adverse reaction rates observed in the clinical trials of a drug cannot be directly compared to rates in the clinical trials of another drug and may not reflect the rates observed in practice.
The most common adverse reactions (greater than 1%) observed in clinical trials of amoxicillin capsules were diarrhea, rash, vomiting, and nausea.
Triple therapy:The most frequently reported adverse events for patients who received triple therapy (amoxicillin/clarithromycin/ lansoprazole) were diarrhea (7%), headache (6%), and taste perversion (5%).
Dual therapy:The most frequently reported adverse events for patients who received double therapy amoxicillin/lansoprazole were diarrhea (8%) and headache (7%). For more information on adverse reactions with clarithromycin or lansoprazole, refer to the Adverse Reactions section of their package inserts.
In addition to adverse events reported from clinical trials, the following events have been identified during postmarketing use of penicillins. Because they are reported voluntarily from a population of unknown size, estimates of frequency cannot be made. These events have been chosen for inclusion due to a combination of their seriousness, frequency of reporting, or potential causal connection to amoxicillin.
Probenecid decreases the renal tubular secretion of amoxicillin. Concurrent use of amoxicillin and probenecid may result in increased and prolonged blood levels of amoxicillin.
Abnormal prolongation of prothrombin time (increased international normalized ratio [INR]) has been reported in patients receiving amoxicillin and oral anticoagulants. Appropriate monitoring should be undertaken when anticoagulants are prescribed concurrently. Adjustments in the dose of oral anticoagulants may be necessary to maintain the desired level of anticoagulation.
The concurrent administration of allopurinol and amoxicillin increases the incidence of rashes in patients receiving both drugs as compared to patients receiving amoxicillin alone. It is not known whether this potentiation of rashes is due to allopurinol or the hyperuricemia present in these patients.
Amoxicillin may affect the intestinal flora, leading to lower estrogen reabsorption and reduced efficacy of combined oral estrogen/progesterone contraceptives.
Chloramphenicol, macrolides, sulfonamides, and tetracyclines may interfere with the bactericidal effects of penicillin. This has been demonstrated in vitro; however, the clinical significance of this interaction is not well documented.
High urine concentrations of ampicillin may result in false-positive reactions when testing for the presence of glucose in urine using CLINITEST ®, Benedict’s Solution, or Fehling’s Solution. Since this effect may also occur with amoxicillin, it is recommended that glucose tests based on enzymatic glucose oxidase reactions (such as CLINISTIX ®) be used.
Following administration of ampicillin or amoxicillin to pregnant women, a transient decrease in plasma concentration of total conjugated estriol, estriol-glucuronide, conjugated estrone, and estradiol has been noted.
Teratogenic Effects:
Reproduction studies have been performed in mice and rats at doses up to 2000 mg/kg (3 and 6 times the 3 g human dose, based on body surface area). There was no evidence of harm to the fetus due to amoxicillin. There are, however, no adequate and well-controlled studies in pregnant women. Because animal reproduction studies are not always predictive of human response, amoxicillin should be used during pregnancy only if clearly needed.
Oral ampicillin is poorly absorbed during labor. It is not known whether use of amoxicillin in humans during labor or delivery has immediate or delayed adverse effects on the fetus, prolongs the duration of labor, or increases the likelihood of the necessity for an obstetrical intervention.
Penicillins have been shown to be excreted in human milk. Amoxicillin use by nursing mothers may lead to sensitization of infants. Caution should be exercised when amoxicillin is administered to a nursing woman.
The safety and effectiveness of amoxicillin for the treatment of upper respiratory tract infections, and infections of the genitourinary tract, skin and skin structure and lower respiratory tract have been established in pediatric patients.
The safety and effectiveness of amoxicillin for the treatment of H.Pyloriinfection have not been established in pediatric patients.
Because of incompletely developed renal function in neonates and young infants, the elimination of amoxicillin may be delayed. Dosing of amoxicillin should be modified in pediatric patients 12 weeks or younger (3 months or younger) [see Dosage and Administration ( 2.3)].
An analysis of clinical studies of amoxicillin was conducted to determine whether subjects aged 65 and over respond differently from younger subjects. These analyses have not identified differences in responses between the elderly and younger patients, but a greater sensitivity of some older individuals cannot be ruled out.
This drug is known to be substantially excreted by the kidney, and the risk of toxic reactions to this drug may be greater in patients with impaired renal function. Because elderly patients are more likely to have decreased renal function, care should be taken in dose selection, and it may be useful to monitor renal function.
Amoxicillin is primarily eliminated by the kidney and dosage adjustment is usually required in patients with severe renal impairment (GFR less than 30 mL/min). SeeDosing in Renal Impairment ( 2.5) for specific recommendations in patients with renal impairment.
In case of overdosage, discontinue amoxicillin, treat symptomatically, and institute supportive measures as required. A prospective study of 51 pediatric patients at a poison-control center suggested that overdosages of less than 250 mg/kg of amoxicillin are not associated with significant clinical symptoms.
Interstitial nephritis resulting in oliguric renal failure has been reported in a small number of patients after overdosage with amoxicillin 1.
Crystalluria, in some cases leading to renal failure, has also been reported after amoxicillin overdosage in adult and pediatric patients. In case of overdosage, adequate fluid intake and diuresis should be maintained to reduce the risk of amoxicillin crystalluria.
Renal impairment appears to be reversible with cessation of drug administration. High blood levels may occur more readily in patients with impaired renal function because of decreased renal clearance of amoxicillin. Amoxicillin may be removed from circulation by hemodialysis.
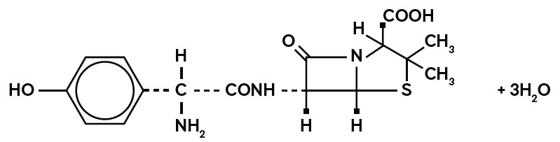
Amoxicillin, USP is a semisynthetic antibacterial (amoxicillin), an analog of ampicillin, with a broad spectrum of bactericidal activity against many Gram-positive and Gram-negative microorganisms. Chemically, it is (2 S,5 R,6 R)-6-[( R)-(-)-2-amino-2-( p-hydroxyphenyl)acetamido]-3,3-dimethyl-7-oxo-4-thia-1-azabicyclo[3.2.0]heptane-2-carboxylic acid trihydrate. It may be represented structurally as:

The amoxicillin, USP molecular formula is C 16H 19N 3O 5S3H 2O, and the molecular weight is 419.45.
Capsules:Each Amoxicillin Capsule, USP contains 250 mg or 500 mg amoxicillin as the trihydrate. The 250 mg capsule with caramel cap and ivory body is imprinted with West-ward 938, while the 500 mg capsule with ivory cap and ivory body is imprinted with West-ward 939. Inactive ingredients: croscarmellose Sodium, gelatin, magnesium stearate, titanium dioxide and yellow iron oxide. Additionally, the 250 mg capsules contain black iron oxide and red iron oxide.
Absorption: Amoxicillin is stable in the presence of gastric acid and is rapidly absorbed after oral administration. The effect of food on the absorption of amoxicillin from the tablets and suspension of amoxicillin has been partially investigated; 400 mg and 875 mg formulations have been studied only when administered at the start of a light meal.
Orally administered doses of 250 mg and 500 mg amoxicillin capsules result in average peak blood levels 1 to 2 hours after administration in the range of 3.5 mcg/mL to 5.0 mcg/mL and 5.5 mcg/mL to 7.5 mcg/mL, respectively.
Mean amoxicillin pharmacokinetic parameters from an open, two-part, single-dose crossover bioequivalencestudy in 27 adults comparing 875 mg of amoxicillin with 875 mg of amoxicillin/clavulanate potassiumshowed that the 875 mg tablet of amoxicillin produces an AUC 0-∞of 35.4 ± 8.1 mcghr/mL and a C maxof 13.8 ± 4.1 mcg/mL. Dosing was at the start of a light meal following an overnight fast.
Orally administered doses of amoxicillin suspension, 125 mg/5 mL and 250 mg/5 mL, result in average peak blood levels 1 to 2 hours after administration in the range of 1.5 mcg/mL to 3.0 mcg/mL and 3.5 mcg/mL to 5.0 mcg/mL, respectively.
Oral administration of single doses of 400 mg chewable tablets and 400 mg/5 mL suspension of amoxicillin to 24 adult volunteers yielded comparable pharmacokinetic data:
|
Dose*
|
AUC
0-∞(mcg.hr/mL)
| C
max(mcg/mL)
†
Amoxicillin (±S.D) |
| 400 mg (5 mL of suspension) | 17.1 (3.1) | 5.92 (1.62) |
| 400 mg (1 chewable tablet) | 17.9 (2.4) | 5.18 (1.64) |
| * Administered at the start of a light meal. | ||
| † Mean values of 24 normal volunteers. Peak concentrations occurred approximately 1 hour after the dose. | ||
Distribution: Amoxicillin diffuses readily into most body tissues and fluids, with the exception of brain and spinal fluid, except when meninges are inflamed. In blood serum, amoxicillin is approximately 20% protein-bound. Following a 1-gram dose, and utilizing a special skin window technique to determine levels of the antibiotic, it was noted that therapeutic levels were found in the interstitial fluid.
Metabolism and Excretion: The half-life of amoxicillin is 61.3 minutes. Approximately 60% of an orally administered dose of amoxicillin is excreted in the urine within 6 to 8 hours. Detectable serum levels are observed up to 8 hours after an orally administered dose of amoxicillin. Since most of the amoxicillin is excreted unchanged in the urine, its excretion can be delayed by concurrent administration of probenecid [see Drug Interactions ( 7.1)] .
Mechanism of Action
Amoxicillin is similar to penicillin in its bactericidal action against susceptible bacteria during the stage of active multiplication. It acts through the inhibition of cell wall biosynthesis that leads to the death of the bacteria.
Resistance
Resistance to amoxicillin is mediated primarily through enzymes called beta-lactamases that cleave the beta-lactam ring of amoxicillin, rendering it inactive.
Antimicrobial Activity
Amoxicillin has been shown to be active against most isolates of the following microorganisms, both in vitroand in clinical infections [see Indications and Usage (1)].
Gram-Positive Bacteria
Enterococcus faecalis
Staphylococcus spp.
Streptococcus pneumoniae
Streptococcus spp. (alpha and beta-hemolytic)
Gram-Negative Bacteria
Escherichia coli
Haemophilus influenzae
Helicobacter pylori
Proteus mirabilis
Susceptibility Testing:
For specific information regarding susceptibility test interpretive criteria and associated test methods and quality control standards recognized by FDA for this drug, please see: https://www.fda.gov/STIC.
Long-term studies in animals have not been performed to evaluate carcinogenic potential. Studies to detect mutagenic potential of amoxicillin alone have not been conducted; however, the following information is available from tests on a 4:1 mixture of amoxicillin and potassium clavulanate. Amoxicillin and potassium clavulanate was non-mutagenic in the Ames bacterial mutation assay, and the yeast gene conversion assay. Amoxicillin and clavulanate potassium was weakly positive in the mouse lymphoma assay, but the trend toward increased mutation frequencies in this assay occurred at doses that were also associated with decreased cell survival. Amoxicillin and clavulanate potassium was negative in the mouse micronucleus test and in the dominant lethal assay in mice. Potassium clavulanate alone was tested in the Ames bacterial mutation assay and in the mouse micronucleus test, and was negative in each of these assays. In a multi-generation reproduction study in rats, no impairment of fertility or other adverse reproductive effects were seen at doses up to 500 mg/kg (approximately 2 times the 3 g human dose based on body surface area).
Randomized, double-blind clinical studies performed in the United States in patients with H. pyloriand duodenal ulcer disease (defined as an active ulcer or history of an ulcer within 1 year) evaluated the efficacy of lansoprazole in combination with amoxicillin capsules and clarithromycin tablets as triple 14-day therapy, or in combination with amoxicillin capsules as dual 14-day therapy, for the eradication of H. pylori. Based on the results of these studies, the safety and efficacy of 2 different eradication regimens were established: Triple therapy:Amoxicillin 1 gram twice daily/clarithromycin 500 mg twice daily/lansoprazole 30 mg twice daily (see Table 5). Dual therapy:Amoxicillin 1 gram three times daily/lansoprazole 30 mg three times daily (see Table 6). All treatments were for 14 days. H. pylorieradication was defined as 2 negative tests (culture and histology) at 4 to 6 weeks following the end of treatment. Triple therapy was shown to be more effective than all possible dual therapy combinations. Dual therapy was shown to be more effective than both monotherapies. Eradication of H. pylorihas been shown to reduce the risk of duodenal ulcer recurrence.
| Study
| Triple Therapy | Triple Therapy |
| Evaluable Analysis
a
[95% Confidence Interval] (number of patients) | Intent-to-Treat Analysis
b
[95% Confidence Interval] (number of patients) |
|
| Study 1 | 92
[80.0 to 97.7] (n equals 48) | 86
[73.3 to 93.5] (n equals 55) |
| Study 2 | 86
[75.7 to 93.6] (n equals 66) | 83
[72.0 to 90.8] (n equals 70) |
| a This analysis was based on evaluable patients with confirmed duodenal ulcer (active or within 1 year) and H. pyloriinfection at baseline defined as at least 2 of 3 positive endoscopic tests from CLOtest ®, histology, and/or culture. Patients were included in the analysis if they completed the study. Additionally, if patients dropped out of the study due to an adverse event related to the study drug, they were included in the analysis as failures of therapy. | ||
| b Patients were included in the analysis if they had documented H. pyloriinfection at baseline as defined above and had a confirmed duodenal ulcer (active or within 1 year). All dropouts were included as failures of therapy. | ||
| Study
| Dual Therapy | Dual Therapy |
| Evaluable Analysis
a
[95% Confidence Interval] (number of patients) | Intent-to-Treat Analysis
b
[95% Confidence Interval] (number of patients) |
|
| Study 1 | 77
[62.5 to 87.2] (n equals 51) | 70
[56.8 to 81.2] (n equals 60) |
| Study 2 | 66
[51.9 to 77.5] (n equals 58) | 61
[48.5 to 72.9] (n equals 67) |
| a This analysis was based on evaluable patients with confirmed duodenal ulcer (active or within 1 year) and H.pyloriinfection at baseline defined as at least 2 of 3 positive endoscopic tests from CLOtest ®, histology, and/or culture. Patients were included in the analysis if they completed the study. Additionally, if patients dropped out of the study due to an adverse event related to the study drug, they were included in the analysis as failures of therapy. | ||
| b Patients were included in the analysis if they had documented H. pyloriinfection at baseline as defined above and had a confirmed duodenal ulcer (active or within 1 year). All dropouts were included as failures of therapy. | ||
Amoxicillin Capsules, USP 500 mg are available as ivory cap and ivory body. The cap of the 500 mg capsule is imprinted with West-ward and the body with 939.
NDC: 70518-4279-00
NDC: 70518-4279-01
PACKAGING: 100 in 1 BOX
PACKAGING: 1 in 1 POUCH
Store at 20°-25°C (68°-77°F ) [See USP Controlled Room Temperature].
Dispense in a tight, light-resistant container as defined in the USP, with a child-resistant closure (as required).
Keep this and all medications out of the reach of children.
Repackaged and Distributed By:
Remedy Repack, Inc.
625 Kolter Dr. Suite #4 Indiana, PA 1-724-465-8762
Administration Instructions
Advise patients that amoxicillin capsules may be taken every 8 hours or every 12 hours, depending on the dose prescribed.
Allergic Reactions
Counsel patients that amoxicillin contains a penicillin class drug product that can cause allergic reactions in some individuals.
Severe Cutaneous Adverse Reactions (SCAR)
Advise patients about the signs and symptoms of serious skin manifestations. Instruct patients to stop taking amoxicillin immediately and promptly report the first signs or symptoms of skin rash, mucosal lesions, or any other sign of hypersensitivity [see Warnings and Precautions ( 5.2)].
Diarrhea
Counsel patients that diarrhea is a common problem caused by antibacterial drugs which usually ends when the antibacterial drug is discontinued. Sometimes after starting treatment with antibacterial drugs, patients can develop watery and bloody stools (with or without stomach cramps and fever) even as late as 2 or more months after having taken their last dose of the antibacterial drug. If this occurs, patients should contact their physician as soon as possible.
Antibacterial Resistance
Patients should be counseled that antibacterial drugs, including amoxicillin, should only be used to treat or prevent bacterial infections. Antibacterial drugs do not treat viral infections (e.g., the common cold). When amoxicillin capsules are prescribed to treat a bacterial infection, patients should be told that although it is common to feel better early in the course of therapy, the medication should be taken exactly as directed. Skipping doses or not completing the full course of therapy may: (1) decrease the effectiveness of the immediate treatment, and (2) increase the likelihood that bacteria will develop resistance and will not be treatable by amoxicillin or other antibacterial drugs in the future.
Brands listed are the trademarks of their respective owners.
Repackaged By / Distributed By: RemedyRepack Inc.
625 Kolter Drive, Indiana, PA 15701
(724) 465-8762
DRUG: Amoxicillin
GENERIC: Amoxicillin
DOSAGE: CAPSULE
ADMINSTRATION: ORAL
NDC: 70518-4279-0
NDC: 70518-4279-1
COLOR: white
SHAPE: CAPSULE
SCORE: No score
SIZE: 20 mm
PACKAGING: 1 in 1 POUCH
OUTER PACKAGING: 100 in 1 BOX
ACTIVE INGREDIENT(S):
INACTIVE INGREDIENT(S):


| AMOXICILLIN
amoxicillin capsule |
||||||||||||||||||||
|
||||||||||||||||||||
|
||||||||||||||||||||
|
||||||||||||||||||||
|
||||||||||||||||||||
|
||||||||||||||||||||
|
||||||||||||||||||||
| Labeler - REMEDYREPACK INC. (829572556) |