Clindamycin Phosphate by is a Prescription medication manufactured, distributed, or labeled by Rising Pharma Holdings, Inc., Cohance Lifesciences Limited. Drug facts, warnings, and ingredients follow.
Clindamycin phosphate topical solution USP contains clindamycin phosphate, USP, at a concentration equivalent to 10 mg clindamycin per milliliter. Each clindamycin phosphate topical solution USP pledget applicator contains approximately 1 mL of topical solution.
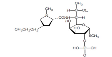
Clindamycin phosphate is a water soluble ester of the semi-synthetic antibacterial drug produced by a 7(S)-chloro-substitution of the 7(R)-hydroxyl group of the parent compound lincomycin.
The solution contains isopropyl alcohol 50% v/v, propylene glycol, purified water, and sodium hydroxide (to adjust the pH to between 4.0 to 7.0).
The structural formula is represented below:
Molecular formula: C18H34ClN2O8PS
Molecular weight: 504.97
The chemical name for clindamycin phosphate is Methyl-7-chloro-6,7,8-trideoxy-6-(1- methyl-trans-4-propyl-L-2-pyrrolidinecarboxamido)-1-thio-L-threo-α-D-galacto-octopyranoside 2-(dihydrogen phosphate).
Mechanism of Action
The mechanism of action of clindamycin in treating acne vulgaris is unknown.
Pharmacokinetics
Following multiple topical applications of clindamycin phosphate at a concentration equivalent to 10 mg clindamycin per mL in an isopropyl alcohol and water solution, very low levels of clindamycin are present in the serum (0–3 ng/mL) and less than 0.2% of the dose is recovered in urine as clindamycin.
Although clindamycin phosphate is inactive in vitro, rapid in vivo hydrolysis converts this compound to the antibacterially active clindamycin.
Microbiology
Clindamycin inhibits bacterial protein synthesis by binding to the 23S RNA of the 50S subunit of the ribosome. Clindamycin is bacteriostatic.
Antimicrobial Activity
Clindamycin is active in vitro against most isolates of Propionibacterium acnes; however, the clinical significance is unknown.
Resistance
Resistance to clindamycin is most often caused by modification of specific bases of the 23S ribosomal RNA. Cross-resistance between clindamycin and lincomycin is complete. Because the binding sites for these antibacterial drugs overlap, cross-resistance is sometimes observed among lincosamides, macrolides and streptogramin B. Macrolide-inducible resistance to clindamycin occurs in some isolates of macrolide-resistant bacteria.
Clindamycin phosphate topical solution is indicated in the treatment of acne vulgaris. In view of the potential for diarrhea, bloody diarrhea and pseudomembranous colitis, the physician should consider whether other agents are more appropriate (see CONTRAINDICATIONS, WARNINGS and ADVERSE REACTIONS).
Orally and parenterally administered clindamycin has been associated with severe colitis which may result in patient death. Use of the topical formulation of clindamycin results in systemic absorption from the skin surface. Diarrhea, bloody diarrhea, and colitis (including pseudomembranous colitis) have been reported with the use of topical and systemic clindamycin.
Studies indicate a toxin(s) produced by clostridia is one primary cause of antibiotic-associated colitis. The colitis is usually characterized by severe persistent diarrhea and severe abdominal cramps and may be associated with the passage of blood and mucus. Endoscopic examination may reveal pseudomembranous colitis. Stool culture for Clostridioides difficile and stool assay for C. difficile toxin may be helpful diagnostically.
When significant diarrhea occurs, the drug should be discontinued. Large bowel endoscopy should be considered to establish a definitive diagnosis in cases of severe diarrhea.
Antiperistaltic agents such as opiates and diphenoxylate with atropine may prolong and/or worsen the condition. Vancomycin has been found to be effective in the treatment of antibiotic-associated pseudomembranous colitis produced by Clostridioides difficile. The usual adult dosage is 500 milligrams to 2 grams of vancomycin orally per day in three to four divided doses administered for 7 to 10 days. Cholestyramine or colestipol resins bind vancomycin in vitro. If both a resin and vancomycin are to be administered concurrently, it may be advisable to separate the time of administration of each drug.
Diarrhea, colitis, and pseudomembranous colitis have been observed to begin up to several weeks following cessation of oral and parenteral therapy with clindamycin.
Clindamycin phosphate topical solution contains an alcohol base which will cause burning and irritation of the eye. In the event of accidental contact with sensitive surfaces (eye, abraded skin, mucous membranes), bathe with copious amounts of cool tap water. The solution has an unpleasant taste and caution should be exercised when applying medication around the mouth.
Clindamycin phosphate topical products should be prescribed with caution in atopic individuals.
Clindamycin has been shown to have neuromuscular blocking properties that may enhance the action of other neuromuscular blocking agents. Therefore, it should be used with caution in patients receiving such agents.
In clinical trials with pregnant women, the systemic administration of clindamycin during the second and third trimesters has not been associated with an increased frequency of congenital abnormalities. There are no adequate studies in pregnant women during the first trimester of pregnancy. Clindamycin should be used during the first trimester of pregnancy only if clearly needed.
It is not known whether clindamycin is excreted in breast milk following use of clindamycin phosphate topical solution. However, orally and parenterally administered clindamycin has been reported to appear in breast milk. Clindamycin has the potential to cause adverse effects on the breast-fed infant's gastrointestinal flora. Monitor the breast-fed infant for possible adverse effects on the gastrointestinal flora, such as diarrhea, candidiasis (thrush, diaper rash) or rarely, blood in the stool indicating possible antibiotic-associated colitis.
The developmental and health benefits of breastfeeding should be considered along with the mother's clinical need for clindamycin and any potential adverse effects on the breast-fed child from clindamycin or from the underlying maternal condition.
Clinical Considerations
If used during lactation and clindamycin phosphate topical solution is applied to the chest, care should be taken to avoid accidental ingestion by the infant.
Safety and effectiveness in pediatric patients under the age of 12 have not been established.
Clinical studies for clindamycin phosphate topical solution did not include sufficient numbers of subjects aged 65 and over to determine whether they respond differently from younger subjects. Other reported clinical experience has not identified differences in responses between the elderly and younger patients.
In 18 clinical studies of various formulations of topical clindamycin phosphate using placebo vehicle and/or active comparator drugs as controls, patients experienced a number of treatment emergent adverse dermatologic events [see table below].

Orally and parenterally administered clindamycin has been associated with severe colitis which may end fatally. Cases of diarrhea, bloody diarrhea and colitis (including pseudomembranous colitis) have been reported as adverse reactions in patients treated with oral and parenteral formulations of clindamycin and rarely with topical clindamycin (see WARNINGS).
Abdominal pain, gastrointestinal disturbances, gram-negative folliculitis, eye pain and contact dermatitis have also been reported in association with the use of topical formulations of clindamycin.
To report SUSPECTED ADVERSE REACTIONS, contact Rising Pharma Holdings, Inc. at 1-844-874-7464 or FDA at 1-800-FDA-1088 or www.fda.gov/medwatch.
Topically applied clindamycin phosphate topical solution can be absorbed in sufficient amounts to produce systemic effects (see WARNINGS).
Do not use if the seal on jar is broken. Use a clindamycin phosphate topical solution, 1% pledget for the application of clindamycin phosphate topical solution, 1% twice daily to affected area. More than one pledget may be used. Each pledget should be used only once and then be discarded.
Clindamycin phosphate topical solution is flammable. Avoid fire, flame, and smoking during and immediately following application.
Pledget: Remove pledget from jar just before use. Discard after single use.
Keep jar tightly closed.
Clindamycin phosphate topical solution USP, 1% containing clindamycin phosphate equivalent to 10 mg clindamycin per milliliter is available as follows: Jar containing white round stack of pledgets moistened with solution. Each pledget is a white, round with diamond dot patterns moistened with solution.
A jar containing 60 single-use pledget applicators (NDC: 16571-256-60)
A jar containing 69 single-use pledget applicators (NDC: 16571-256-69)
Store at 20°C to 25°C (68°F to 77°F); excursion permitted to 15°C to 30°C (59°F to 86°F). [see USP Controlled Room Temperature].
Protect from freezing.
Clindamycin phosphate topical solution is flammable. Keep away from heat, sparks or open flames.
Manufactured for:
Rising Pharma Holdings, Inc.
East Brunswick, NJ 08816
Made in India
Neutral Code: 4323147/TS/DRUGS/2025
Revised: 03/2026
PIR25669-03
NDC: 16571-256-60
Clindamycin Phosphate Topical Solution, USP 1%* (Pledgets)
Pledgets for topical use only
60 Pledgets
Rx only

| CLINDAMYCIN PHOSPHATE
clindamycin phosphate solution |
||||||||||||||||||||||||||||||
|
||||||||||||||||||||||||||||||
|
||||||||||||||||||||||||||||||
|
||||||||||||||||||||||||||||||
|
||||||||||||||||||||||||||||||
|
||||||||||||||||||||||||||||||
| Labeler - Rising Pharma Holdings, Inc. (116880195) |
| Establishment | |||
| Name | Address | ID/FEI | Business Operations |
|---|---|---|---|
| Cohance Lifesciences Limited | 677604288 | ANALYSIS(16571-256) , LABEL(16571-256) , MANUFACTURE(16571-256) , PACK(16571-256) | |