SITAGLIPTIN PHOSPHATE tablet, film coated SITAGLIPTIN PHOSPHATE tablet, extended release

Drug Labeling and Warnings

Drug Details [pdf]

  • 1 INDICATIONS AND USAGE

    Sitagliptin tablets are indicated as an adjunct to diet and exercise to improve glycemic control in adults with type 2 diabetes mellitus.

    Limitations of Use

    Sitagliptin tablets should not be used in patients with type 1 diabetes.

    Sitagliptin tablets have not been studied in patients with a history of pancreatitis. It is unknown whether patients with a history of pancreatitis are at increased risk for the development of pancreatitis while using sitagliptin tablets. [See Warnings and Precautions (5.1).]

  • 2 DOSAGE AND ADMINISTRATION

    2.1 Recommended Dosing

    The recommended dose of sitagliptin tablets are 100 mg once daily. Sitagliptin tablets can be taken with or without food.

    2.2 Recommendations for Use in Renal Impairment

    Assess renal function prior to initiation of sitagliptin tablets and periodically thereafter.

    For patients with an estimated glomerular filtration rate [eGFR] greater than or equal to 45 mL/min/1.73 m2 to less than 90 mL/min/1.73 m2, no dosage adjustment for sitagliptin tablets are required.

    For patients with moderate renal impairment (eGFR greater than or equal to 30 mL/min/1.73 m2 to less than 45 mL/min/1.73 m2), the dose of sitagliptin tablets is 50 mg once daily.

    For patients with severe renal impairment (eGFR less than 30 mL/min/1.73 m2) or with end-stage renal disease (ESRD) requiring hemodialysis or peritoneal dialysis, the dose of sitagliptin tablets is 25 mg once daily. Sitagliptin tablets may be administered without regard to the timing of dialysis.

  • 3 DOSAGE FORMS AND STRENGTHS

    • 100 mg tablets are brown, round, biconvex, film-coated tablets debossed with “SN” on one side and “100” on the other side.
    • 50 mg tablets are pink, round, biconvex, film-coated tablets debossed with “SN” on one side and “50” on the other side.
    • 25 mg tablets are dark pink, round, biconvex, film-coated tablets debossed with “SN” on one side and “25” on the other side.
  • 4 CONTRAINDICATIONS

    History of a serious hypersensitivity reaction to sitagliptin, such as anaphylaxis or angioedema. [SeeWarnings and Precautions (5.5); Adverse Reactions (6.2).]

  • 5 WARNINGS AND PRECAUTIONS

    5.1 Pancreatitis

    There have been postmarketing reports of acute pancreatitis, including fatal and non-fatal hemorrhagic or necrotizing pancreatitis, in patients taking sitagliptin. After initiation of sitagliptin, patients should be observed carefully for signs and symptoms of pancreatitis. If pancreatitis is suspected, sitagliptin should promptly be discontinued and appropriate management should be initiated. It is unknown whether patients with a history of pancreatitis are at increased risk for the development of pancreatitis while using sitagliptin.

    5.2 Heart Failure

    An association between dipeptidyl peptidase-4 (DPP-4) inhibitor treatment and heart failure has been observed in cardiovascular outcomes trials for two other members of the DPP-4 inhibitor class. These trials evaluated patients with type 2 diabetes mellitus and atherosclerotic cardiovascular disease.

    Consider the risks and benefits of sitagliptin prior to initiating treatment in patients at risk for heart failure, such as those with a prior history of heart failure and a history of renal impairment, and observe these patients for signs and symptoms of heart failure during therapy. Advise patients of the characteristic symptoms of heart failure and to immediately report such symptoms. If heart failure develops, evaluate and manage according to current standards of care and consider discontinuation of sitagliptin.

    5.3 Acute Renal Failure

    There have been postmarketing reports of worsening renal function, including acute renal failure, sometimes requiring dialysis. A subset of these reports involved patients with renal impairment, some of whom were prescribed inappropriate doses of sitagliptin. A return to baseline levels of renal impairment has been observed with supportive treatment and discontinuation of potentially causative agents. Consideration can be given to cautiously reinitiating sitagliptin if another etiology is deemed likely to have precipitated the acute worsening of renal function.

    Assessment of renal function is recommended prior to initiating sitagliptin and periodically thereafter. A dosage adjustment is recommended in patients with moderate or severe renal impairment and in patients with ESRD requiring hemodialysis or peritoneal dialysis. [See Dosage and Administration (2.2); Use in Specific Populations (8.6).]

    5.4 Hypoglycemia with Concomitant Use with Insulin or Insulin Secretagogues

    When sitagliptin phosphate was used in combination with insulin or insulin secretagogues (e.g., sulfonylurea), medications known to cause hypoglycemia, the incidence of hypoglycemia was increased over that of placebo used in combination with a sulfonylurea or with insulin. [See Adverse Reactions (6.1).] Therefore, a lower dose of sulfonylurea or insulin may be required to reduce the risk of hypoglycemia. [See Drug Interactions (7.1).]

    5.5 Hypersensitivity Reactions

    There have been postmarketing reports of serious hypersensitivity reactions in patients treated with sitagliptin. These reactions include anaphylaxis, angioedema, and exfoliative skin conditions including Stevens-Johnson syndrome. Onset of these reactions occurred within the first 3 months after initiation of treatment with sitagliptin, with some reports occurring after the first dose. If a hypersensitivity reaction is suspected, discontinue sitagliptin, assess for other potential causes for the event, and institute alternative treatment for diabetes. [See Adverse Reactions (6.2).]

    Angioedema has also been reported with other DPP-4 inhibitors. Use caution in a patient with a history of angioedema with another DPP-4 inhibitor because it is unknown whether such patients will be predisposed to angioedema with sitagliptin.

    5.6 Severe and Disabling Arthralgia

    There have been postmarketing reports of severe and disabling arthralgia in patients taking DPP-4 inhibitors. The time to onset of symptoms following initiation of drug therapy varied from one day to years. Patients experienced relief of symptoms upon discontinuation of the medication. A subset of patients experienced a recurrence of symptoms when restarting the same drug or a different DPP-4 inhibitor. Consider DPP-4 inhibitors as a possible cause for severe joint pain and discontinue drug if appropriate.

    5.7 Bullous Pemphigoid

    Postmarketing cases of bullous pemphigoid requiring hospitalization have been reported with DPP-4 inhibitor use. In reported cases, patients typically recovered with topical or systemic immunosuppressive treatment and discontinuation of the DPP-4 inhibitor. Tell patients to report development of blisters or erosions while receiving sitagliptin. If bullous pemphigoid is suspected, sitagliptin should be discontinued and referral to a dermatologist should be considered for diagnosis and appropriate treatment.

  • 6 ADVERSE REACTIONS

    The following adverse reactions are also discussed elsewhere in the labeling:

    • Pancreatitis [see Warnings and Precautions (5.1)]
    • Heart Failure [see Warnings and Precautions (5.2)]
    • Acute Renal Failure [see Warnings and Precautions (5.3)]
    • Hypoglycemia with Concomitant Use with Insulin or Insulin Secretagogues [see Warnings and Precautions (5.4)]
    • Hypersensitivity Reactions [see Warnings and Precautions (5.5)]
    • Severe and Disabling Arthralgia [see Warnings and Precautions (5.6)]
    • Bullous Pemphigoid [see Warnings and Precautions (5.7)]

    6.1 Clinical Trials Experience

    Because clinical trials are conducted under widely varying conditions, adverse reaction rates observed in the clinical trials of a drug cannot be directly compared to rates in the clinical trials of another drug and may not reflect the rates observed in practice.

    In controlled clinical studies as both monotherapy and combination therapy with metformin, pioglitazone, or rosiglitazone and metformin, the overall incidence of adverse reactions, hypoglycemia, and discontinuation of therapy due to clinical adverse reactions with sitagliptin were similar to placebo. In combination with glimepiride, with or without metformin, the overall incidence of clinical adverse reactions with sitagliptin was higher than with placebo, in part related to a higher incidence of hypoglycemia (see Table 3); the incidence of discontinuation due to clinical adverse reactions was similar to placebo.

    Two placebo-controlled monotherapy studies, one of 18- and one of 24-week duration, included patients treated with sitagliptin 100 mg daily, sitagliptin 200 mg daily, and placebo. Five placebo-controlled add-on combination therapy studies were also conducted: one with metformin; one with pioglitazone; one with metformin and rosiglitazone; one with glimepiride (with or without metformin); and one with insulin (with or without metformin). In these trials, patients with inadequate glycemic control on a stable dose of the background therapy were randomized to add-on therapy with sitagliptin 100 mg daily or placebo. The adverse reactions, excluding hypoglycemia, reported regardless of investigator assessment of causality in ≥5% of patients treated with sitagliptin 100 mg daily and more commonly than in patients treated with placebo, are shown in Table 1 for the clinical trials of at least 18 weeks duration. Incidences of hypoglycemia are shown in Table 3.

    Table 1: Placebo-Controlled Clinical Studies of Sitagliptin Monotherapy or Add-on Combination Therapy with Pioglitazone, Metformin + Rosiglitazone, or Glimepiride +/- Metformin: Adverse Reactions (Excluding Hypoglycemia) Reported in ≥5% of Patients and More Commonly than in Patients Given Placebo, Regardless of Investigator Assessment of Causality*

    Number of Patients (%)

    Monotherapy (18 or 24 weeks)

    Sitagliptin 100 mg

    N = 443

    Placebo

    N = 363

      Nasopharyngitis

    23 (5.2)

    12 (3.3)

    Combination with Pioglitazone (24 weeks)

    Sitagliptin 100 mg +

    Pioglitazone

    N = 175

    Placebo +

    Pioglitazone

    N = 178

    Upper Respiratory Tract Infection

    11 (6.3)

    6 (3.4)

    Headache

    9 (5.1)

    7 (3.9)

    Combination with Metformin + Rosiglitazone (18 weeks)

    Sitagliptin 100 mg

    + Metformin

    + Rosiglitazone

    N = 181

    Placebo

    + Metformin

    + Rosiglitazone

    N = 97

    Upper Respiratory Tract Infection

    10 (5.5)

    5 (5.2)

      Nasopharyngitis

    11 (6.1)

    4 (4.1)

    Combination with Glimepiride

    (+/- Metformin) (24 weeks)

    Sitagliptin 100 mg

    + Glimepiride

    (+/- Metformin)

    N = 222

    Placebo

    + Glimepiride

    (+/- Metformin)

    N = 219

      Nasopharyngitis

    14 (6.3)

    10 (4.6)

      Headache

    13 (5.9)

    5 (2.3)

    * Intent-to-treat population

    In the 24-week study of patients receiving sitagliptin as add-on combination therapy with metformin, there were no adverse reactions reported regardless of investigator assessment of causality in ≥5% of patients and more commonly than in patients given placebo.

    In the 24-week study of patients receiving sitagliptin as add-on therapy to insulin (with or without metformin), there were no adverse reactions reported regardless of investigator assessment of causality in ≥5% of patients and more commonly than in patients given placebo, except for hypoglycemia (see Table 3).

    In the study of sitagliptin as add-on combination therapy with metformin and rosiglitazone (Table 1), through Week 54 the adverse reactions reported regardless of investigator assessment of causality in ≥5% of patients treated with sitagliptin and more commonly than in patients treated with placebo were: upper respiratory tract infection (sitagliptin, 15.5%; placebo, 6.2%), nasopharyngitis (11.0%, 9.3%), peripheral edema (8.3%, 5.2%), and headache (5.5%, 4.1%).

    In a pooled analysis of the two monotherapy studies, the add-on to metformin study, and the add-on to pioglitazone study, the incidence of selected gastrointestinal adverse reactions in patients treated with sitagliptin was as follows: abdominal pain (sitagliptin 100 mg, 2.3%; placebo, 2.1%), nausea (1.4%, 0.6%), and diarrhea (3.0%, 2.3%).

    In an additional, 24-week, placebo-controlled factorial study of initial therapy with sitagliptin in combination with metformin, the adverse reactions reported (regardless of investigator assessment of causality) in ≥5% of patients are shown in Table 2.

    Table 2: Initial Therapy with Combination of Sitagliptin and Metformin: Adverse Reactions Reported (Regardless of Investigator Assessment of Causality) in ≥5% of Patients Receiving Combination Therapy (and Greater than in Patients Receiving Metformin alone, Sitagliptin alone, and Placebo)*

    Number of Patients (%)

    Placebo

    Sitagliptin

    100 mg QD

    Metformin HCl

    500 or 1000 mg bid

    Sitagliptin

    50 mg bid +

    Metformin HCl

    500 or 1000 mg bid

    N = 176

    N = 179

    N = 364†

    N = 372†

    Upper Respiratory Infection

    9 (5.1)

    8 (4.5)

    19 (5.2)

    23 (6.2)

    Headache

    5 (2.8)

    2 (1.1)

    14 (3.8)

    • 22 (5.9)

    * Intent-to-treat population.

    •   † Data pooled for the patients given the lower and higher doses of metformin.

    In a 24-week study of initial therapy with sitagliptin in combination with pioglitazone, there were no adverse reactions reported (regardless of investigator assessment of causality) in ≥5% of patients and more commonly than in patients given pioglitazone alone.

    No clinically meaningful changes in vital signs or in ECG (including in QTc interval) were observed in patients treated with sitagliptin.

    In a pooled analysis of 19 double-blind clinical trials that included data from 10,246 patients randomized to receive sitagliptin 100 mg/day (N=5429) or corresponding (active or placebo) control (N=4817), the incidence of acute pancreatitis was 0.1 per 100 patient-years in each group (4 patients with an event in 4708 patient-years for sitagliptin and 4 patients with an event in 3942 patient-years for control).

    Hypoglycemia

    In the above studies (N=9), adverse reactions of hypoglycemia were based on all reports of symptomatic hypoglycemia. A concurrent blood glucose measurement was not required although most (74%) reports of hypoglycemia were accompanied by a blood glucose measurement ≤70 mg/dL. When sitagliptin was coadministered with a sulfonylurea or with insulin, the percentage of patients with at least one adverse reaction of hypoglycemia was higher than in the corresponding placebo group (Table 3).

    Table 3: Incidence and Rate of Hypoglycemia* in Placebo-Controlled Clinical Studies when Sitagliptin was Used as Add-On Therapy to Glimepiride (With or Without Metformin) or Insulin (With or Without Metformin), Regardless of Investigator Assessment of Causality

    Add-On to Glimepiride
    (+/- Metformin) (24 weeks)

    Sitagliptin 100 mg

    + Glimepiride

    (+/- Metformin)

    Placebo

    + Glimepiride

    (+/- Metformin)

    N = 222

    N = 219

      Overall (%)

    27 (12.2)

    4 (1.8)

     Rate (episodes/patient-year)†

    0.59

    0.24

      Severe (%)

    0 (0.0)

    0 (0.0)

    Add-On to Insulin
    (+/- Metformin) (24 weeks)

    Sitagliptin 100 mg

    + Insulin

    (+/- Metformin)

    Placebo

    + Insulin

    (+/- Metformin)

    N = 322

    N = 319

       Overall (%)

    50 (15.5)

    25 (7.8)

    Rate (episodes/patient-year)†

    1.06

    0.51

      Severe (%)

    2 (0.6)

    1 (0.3)

    •   *    Adverse reactions of hypoglycemia were based on all reports of symptomatic hypoglycemia; a concurrent glucose measurement was not required; intent-to-treat population.
    •   †  Based on total number of events (i.e., a single patient may have had multiple events).
    •   ‡  Severe events of hypoglycemia were defined as those events requiring medical assistance or exhibiting depressed level/loss of consciousness or seizure.

    In a pooled analysis of the two monotherapy studies, the add-on to metformin study, and the add-on to pioglitazone study, the overall incidence of adverse reactions of hypoglycemia was 1.2% in patients treated with sitagliptin 100 mg and 0.9% in patients treated with placebo.

    In the study of sitagliptin as add-on combination therapy with metformin and rosiglitazone, the overall incidence of hypoglycemia was 2.2% in patients given add-on sitagliptin and 0.0% in patients given add-on placebo through Week 18. Through Week 54, the overall incidence of hypoglycemia was 3.9% in patients given add-on sitagliptin and 1.0% in patients given add-on placebo.

    In the 24-week, placebo-controlled factorial study of initial therapy with sitagliptin in combination with metformin, the incidence of hypoglycemia was 0.6% in patients given placebo, 0.6% in patients given sitagliptin alone, 0.8% in patients given metformin alone, and 1.6% in patients given sitagliptin in combination with metformin.

    In the study of sitagliptin as initial therapy with pioglitazone, one patient taking sitagliptin experienced a severe episode of hypoglycemia. There were no severe hypoglycemia episodes reported in other studies except in the study involving coadministration with insulin.

    In an additional, 30-week placebo-controlled, study of patients with type 2 diabetes inadequately controlled with metformin comparing the maintenance of sitagliptin 100 mg versus withdrawal of sitagliptin when initiating basal insulin therapy, the event rate and incidence of documented symptomatic hypoglycemia (blood glucose measurement ≤70 mg/dL) did not differ between the sitagliptin and placebo groups.

    Laboratory Tests

    Across clinical studies, the incidence of laboratory adverse reactions was similar in patients treated with sitagliptin 100 mg compared to patients treated with placebo. A small increase in white blood cell count (WBC) was observed due to an increase in neutrophils. This increase in WBC (of approximately 200 cells/microL vs placebo, in four pooled placebo-controlled clinical studies, with a mean baseline WBC count of approximately 6600 cells/microL) is not considered to be clinically relevant. In a 12-week study of 91 patients with chronic renal insufficiency, 37 patients with moderate renal insufficiency were randomized to sitagliptin 50 mg daily, while 14 patients with the same magnitude of renal impairment were randomized to placebo. Mean (SE) increases in serum creatinine were observed in patients treated with sitagliptin [0.12 mg/dL (0.04)] and in patients treated with placebo [0.07 mg/dL (0.07)]. The clinical significance of this added increase in serum creatinine relative to placebo is not known.

    6.2 Postmarketing Experience

    Additional adverse reactions have been identified during postapproval use of sitagliptin as monotherapy and/or in combination with other antihyperglycemic agents. Because these reactions are reported voluntarily from a population of uncertain size, it is generally not possible to reliably estimate their frequency or establish a causal relationship to drug exposure.

    Hypersensitivity reactions including anaphylaxis, angioedema, rash, urticaria, cutaneous vasculitis, and exfoliative skin conditions including Stevens-Johnson syndrome; hepatic enzyme elevations; acute pancreatitis, including fatal and non-fatal hemorrhagic and necrotizing pancreatitis [see Indications and Usage (1)]; worsening renal function, including acute renal failure (sometimes requiring dialysis), and tubulointerstitial nephritis; severe and disabling arthralgia; bullous pemphigoid; constipation; vomiting; headache; myalgia; pain in extremity; back pain; pruritus; mouth ulceration; stomatitis; rhabdomyolysis.

  • 7 DRUG INTERACTIONS

    7.1 Insulin Secretagogues or Insulin

    Coadministration of sitagliptin with an insulin secretagogue (e.g., sulfonylurea) or insulin may require lower doses of the insulin secretagogue or insulin to reduce the risk of hypoglycemia. [See Warnings and Precautions (5.4).]

  • 8 USE IN SPECIFIC POPULATIONS

    8.1 Pregnancy

    Risk Summary

    The limited available data with sitagliptin in pregnant women are not sufficient to inform a drug-associated risk for major birth defects and miscarriage. There are risks to the mother and fetus associated with poorly controlled diabetes in pregnancy [see Clinical Considerations]. No adverse developmental effects were observed when sitagliptin was administered to pregnant rats and rabbits during organogenesis at oral doses up to 30-times and 20-times, respectively, the 100 mg clinical dose, based on AUC [see Data].

    The estimated background risk of major birth defects is 6 to 10% in women with pre-gestational diabetes with a Hemoglobin A1c >7% and has been reported to be as high as 20 to 25% in women with a Hemoglobin A1c >10%. In the U.S. general population, the estimated background risk of major birth defects and miscarriage in clinically recognized pregnancies is 2 to 4% and 15 to 20%, respectively.

    Clinical Considerations

    Disease-Associated Maternal and/or Embryo/Fetal Risk

    Poorly controlled diabetes in pregnancy increases the maternal risk for diabetic ketoacidosis, preeclampsia, spontaneous abortions, preterm delivery, and delivery complications. Poorly controlled diabetes increases the fetal risk for major birth defects, still birth, and macrosomia related morbidity.

    Data

    Animal Data

    In embryo-fetal development studies, sitagliptin administered to pregnant rats and rabbits during organogenesis (gestation day 6 to 20) did not adversely affect developmental outcomes at oral doses up to 250 mg/kg (30-times the 100 mg clinical dose) and 125 mg/kg (20-times the 100 mg clinical dose), respectively, based on AUC. Higher doses in rats associated with maternal toxicity increased the incidence of rib malformations in offspring at 1000 mg/kg, or approximately 100-times the clinical dose, based on AUC. Placental transfer of sitagliptin was observed in pregnant rats and rabbits.

    Sitagliptin administered to female rats from gestation day 6 to lactation day 21 caused no functional or behavioral toxicity in offspring of rats at doses up to 1000 mg/kg.

    8.2 Lactation

    Risk Summary

    There is no information regarding the presence of sitagliptin in human milk, the effects on the breastfed infant, or the effects on milk production. Sitagliptin is present in rat milk and therefore possibly present in human milk [see Data]. The developmental and health benefits of breastfeeding should be considered along with the mother’s clinical need for sitagliptin and any potential adverse effects on the breastfed infant from sitagliptin or from the underlying maternal condition.

    Data

    Sitagliptin is secreted in the milk of lactating rats at a milk to plasma ratio of 4:1.

    8.4 Pediatric Use

    The safety and effectiveness of sitagliptin have not been established in pediatric patients.

    Three 20-week double-blind, placebo-controlled studies each with 34-week extensions were conducted to evaluate the efficacy and safety of sitagliptin in 410 pediatric patients aged 10 to 17 years with inadequately controlled type 2 diabetes, with or without insulin therapy (HbA1c 6.5 to 10% for patients not on insulin, HbA1c 7 to 10% for patients on insulin). At study entry, patients in study 1 were not treated with oral antihyperglycemic agents; patients in studies 2 and 3 were on maximally tolerated metformin therapy. The primary efficacy endpoint was the change from baseline in HbA1c after 20 weeks of therapy. The pre-specified primary efficacy analyses included data from study 1 and pooled data from studies 2 and 3, regardless of glycemic rescue or treatment discontinuation.

    In both efficacy analyses, the effect of treatment with sitagliptin was not significantly different from placebo. In study 1, the mean baseline HbA1c was 7.5%, and 12% of patients were on insulin therapy. At week 20, the change from baseline in HbA1c in patients treated with sitagliptin (N=95) was 0.06% compared to 0.23% in patients treated with placebo (N=95), a difference of -0.17% (95% CI: -0.62, 0.28). In studies 2 and 3, the mean baseline HbA1c was 8.0%, 15% of patients were on insulin and 72% were on metformin HCl doses of greater than 1,500 mg daily. At week 20, the change from baseline in HbA1c in patients treated with sitagliptin (N=107) was -0.23% compared to 0.09% in patients treated with placebo (N=113), a difference of -0.33% (95% CI: -0.70, 0.05).

    8.5 Geriatric Use

    Of the total number of subjects (N=3884) in pre-approval clinical safety and efficacy studies of sitagliptin, 725 patients were 65 years and over, while 61 patients were 75 years and over. No overall differences in safety or effectiveness were observed between subjects 65 years and over and younger subjects. While this and other reported clinical experience have not identified differences in responses between the elderly and younger patients, greater sensitivity of some older individuals cannot be ruled out.

    Because sitagliptin is substantially excreted by the kidney, and because aging can be associated with reduced renal function, renal function should be assessed more frequently in elderly patients [see Dosage and Administration (2.2), Warnings and Precautions (5.3)].

    8.6 Renal Impairment

    Sitagliptin is excreted by the kidney, and sitagliptin exposure is increased in patients with renal impairment. Lower dosages are recommended in patients with eGFR less than 45 mL/min/1.73 m2 (moderate and severe renal impairment, as well as in ESRD patients requiring dialysis). [See Dosage and Administration (2.2); Clinical Pharmacology (12.3).]

  • 10 OVERDOSAGE

    In the event of an overdose with sitagliptin, contact the Poison Control Center.

    In the event of an overdose, it is reasonable to employ supportive measures, e.g., remove unabsorbed material from the gastrointestinal tract, employ clinical monitoring (including obtaining an electrocardiogram), and institute supportive therapy as dictated by the patient's clinical status.

    Sitagliptin is modestly dialyzable. In clinical studies, approximately 13.5% of the dose was removed over a 3- to 4-hour hemodialysis session. Prolonged hemodialysis may be considered if clinically appropriate. It is not known if sitagliptin is dialyzable by peritoneal dialysis.

  • 11 DESCRIPTION

    Sitagliptin tablets, USP contain sitagliptin phosphate, an orally-active inhibitor of the dipeptidyl peptidase-4 (DPP-4) enzyme.

    Sitagliptin phosphate monohydrate is described chemically as 7-[(3R)-3-amino-1-oxo-4-(2,4,5-trifluorophenyl)butyl]-5,6,7,8-tetrahydro-3-(trifluoromethyl)-1,2,4-triazolo[4,3-a]pyrazine phosphate (1:1) monohydrate.

    The molecular formula is C16H15F6N5OH3PO4H2O and the molecular weight is 523.32. The structural formula is:

    chemicalstructureformula

    Sitagliptin phosphate monohydrate is a white to off-white, crystalline, non-hygroscopic powder. It is soluble in water and N,N-dimethyl formamide; slightly soluble in methanol; very slightly soluble in ethanol, and ether; and insoluble in 2-propanol.

    Each film-coated tablet of sitagliptin contains 32.13, 64.25, or 128.5 mg of sitagliptin phosphate monohydrate, which is equivalent to 25, 50, or 100 mg, respectively, of free base and the following inactive ingredients: anhydrous dibasic calcium phosphate, croscarmellose sodium, colloidal silicon dioxide, low-substituted hydroxypropyl cellulose, magnesium stearate, microcrystalline cellulose, and sodium stearyl fumarate.

    The film coating contains the following inactive ingredients: ferric oxide red, ferric oxide yellow, hypromellose, hydroxypropyl cellulose, polyethylene glycol, talc, and titanium dioxide. In addition, the 100 mg tablets contains ferric oxide black.

  • 12 CLINICAL PHARMACOLOGY

    12.1 Mechanism of Action

    Sitagliptin is a DPP-4 inhibitor, which is believed to exert its actions in patients with type 2 diabetes mellitus by slowing the inactivation of incretin hormones. Concentrations of the active intact hormones are increased by sitagliptin, thereby increasing and prolonging the action of these hormones. Incretin hormones, including glucagon-like peptide-1 (GLP-1) and glucose-dependent insulinotropic polypeptide (GIP), are released by the intestine throughout the day, and levels are increased in response to a meal. These hormones are rapidly inactivated by the enzyme, DPP-4. The incretins are part of an endogenous system involved in the physiologic regulation of glucose homeostasis. When blood glucose concentrations are normal or elevated, GLP-1 and GIP increase insulin synthesis and release from pancreatic beta cells by intracellular signaling pathways involving cyclic AMP. GLP-1 also lowers glucagon secretion from pancreatic alpha cells, leading to reduced hepatic glucose production. By increasing and prolonging active incretin levels, sitagliptin increases insulin release and decreases glucagon levels in the circulation in a glucose-dependent manner. Sitagliptin demonstrates selectivity for DPP-4 and does not inhibit DPP-8 or DPP-9 activity in vitro at concentrations approximating those from therapeutic doses.

    12.2 Pharmacodynamics

    General

    In patients with type 2 diabetes mellitus, administration of sitagliptin led to inhibition of DPP-4 enzyme activity for a 24-hour period. After an oral glucose load or a meal, this DPP-4 inhibition resulted in a 2- to 3-fold increase in circulating levels of active GLP-1 and GIP, decreased glucagon concentrations, and increased responsiveness of insulin release to glucose, resulting in higher C-peptide and insulin concentrations. The rise in insulin with the decrease in glucagon was associated with lower fasting glucose concentrations and reduced glucose excursion following an oral glucose load or a meal.

    In studies with healthy subjects, sitagliptin did not lower blood glucose or cause hypoglycemia.

    Sitagliptin and Metformin Hydrochloride Coadministration

    In a two-day study in healthy subjects, sitagliptin alone increased active GLP-1 concentrations, whereas metformin alone increased active and total GLP-1 concentrations to similar extents. Coadministration of sitagliptin and metformin had an additive effect on active GLP-1 concentrations. Sitagliptin, but not metformin, increased active GIP concentrations. It is unclear how these findings relate to changes in glycemic control in patients with type 2 diabetes mellitus.

    Cardiac Electrophysiology

    In a randomized, placebo-controlled crossover study, 79 healthy subjects were administered a single oral dose of sitagliptin 100 mg, sitagliptin 800 mg (8 times the recommended dose), and placebo. At the recommended dose of 100 mg, there was no effect on the QTc interval obtained at the peak plasma concentration, or at any other time during the study. Following the 800 mg dose, the maximum increase in the placebo-corrected mean change in QTc from baseline was observed at 3 hours postdose and was 8.0 msec. This increase is not considered to be clinically significant. At the 800 mg dose, peak sitagliptin plasma concentrations were approximately 11 times higher than the peak concentrations following a 100-mg dose.

    In patients with type 2 diabetes mellitus administered sitagliptin 100 mg (N=81) or sitagliptin 200 mg (N=63) daily, there were no meaningful changes in QTc interval based on ECG data obtained at the time of expected peak plasma concentration.

    12.3 Pharmacokinetics

    The pharmacokinetics of sitagliptin have been extensively characterized in healthy subjects and patients with type 2 diabetes mellitus. Following a single oral 100-mg dose to healthy volunteers, mean plasma AUC of sitagliptin was 8.52 μMhr, Cmax was 950 nM, and apparent terminal half-life (t1/2) was 12.4 hours. Plasma AUC of sitagliptin increased in a dose-proportional manner and increased approximately 14% following 100 mg doses at steady-state compared to the first dose. The intra-subject and inter-subject coefficients of variation for sitagliptin AUC were small (5.8% and 15.1%). The pharmacokinetics of sitagliptin was generally similar in healthy subjects and in patients with type 2 diabetes mellitus.

    Absorption

    After oral administration of a 100 mg dose to healthy subjects, sitagliptin was rapidly absorbed with peak plasma concentrations (median Tmax) occurring 1 to 4 hours postdose. The absolute bioavailability of sitagliptin is approximately 87%.

    Effect of Food

    Coadministration of a high-fat meal with sitagliptin had no effect on the pharmacokinetics of sitagliptin.

    Distribution

    The mean volume of distribution at steady state following a single 100-mg intravenous dose of sitagliptin to healthy subjects is approximately 198 liters. The fraction of sitagliptin reversibly bound to plasma proteins is low (38%).

    Elimination

    Approximately 79% of sitagliptin is excreted unchanged in the urine with metabolism being a minor pathway of elimination. The apparent terminal t1/2 following a 100 mg oral dose of sitagliptin was approximately 12.4 hours and renal clearance was approximately 350 mL/min.

    Metabolism

    Following a [14C] sitagliptin oral dose, approximately 16% of the radioactivity was excreted as metabolites of sitagliptin. Six metabolites were detected at trace levels and are not expected to contribute to the plasma DPP-4 inhibitory activity of sitagliptin. In vitro studies indicated that the primary enzyme responsible for the limited metabolism of sitagliptin was CYP3A4, with contribution from CYP2C8.

    Excretion

    Following administration of an oral [14C] sitagliptin dose to healthy subjects, approximately 100% of the administered radioactivity was eliminated in feces (13%) or urine (87%) within one week of dosing.

    Elimination of sitagliptin occurs primarily via renal excretion and involves active tubular secretion. Sitagliptin is a substrate for human organic anion transporter-3 (hOAT-3), which may be involved in the renal elimination of sitagliptin. The clinical relevance of hOAT-3 in sitagliptin transport has not been established. Sitagliptin is also a substrate of P-glycoprotein (P-gp), which may also be involved in mediating the renal elimination of sitagliptin. However, cyclosporine, a P-gp inhibitor, did not reduce the renal clearance of sitagliptin.

    Specific Populations

    Patients with Renal Impairment

    An approximately 2-fold increase in the plasma AUC of sitagliptin was observed in patients with moderate renal impairment with eGFR of 30 to less than 45 mL/min/1.73 m2, and an approximately 4-fold increase was observed in patients with severe renal impairment, including patients with ESRD on hemodialysis, as compared to normal healthy control subjects.

    Patients with Hepatic Impairment

    In patients with moderate hepatic impairment (Child-Pugh score 7 to 9), mean AUC and Cmax of sitagliptin increased approximately 21% and 13%, respectively, compared to healthy matched controls following administration of a single 100-mg dose of sitagliptin. These differences are not considered to be clinically meaningful.

    There is no clinical experience in patients with severe hepatic impairment (Child-Pugh score >9).

    Effects of Age, Body Mass Index (BMI), Gender, and Race

    Based on a population pharmacokinetic analysis or a composite analysis of available pharmacokinetic data, BMI, gender, and race do not have a clinically meaningful effect on the pharmacokinetics of sitagliptin. When the effects of age on renal function are taken into account, age alone did not have a clinically meaningful impact on the pharmacokinetics of sitagliptin based on a population pharmacokinetic analysis. Elderly subjects (65 to 80 years) had approximately 19% higher plasma concentrations of sitagliptin compared to younger subjects.

    Drug Interaction Studies

    In Vitro Assessment of Drug Interactions

    Sitagliptin is not an inhibitor of CYP isozymes CYP3A4, 2C8, 2C9, 2D6, 1A2, 2C19 or 2B6, and is not an inducer of CYP3A4. Sitagliptin is a P-gp substrate, but does not inhibit P-gp mediated transport of digoxin. Based on these results, sitagliptin is considered unlikely to cause interactions with other drugs that utilize these pathways.

    Sitagliptin is not extensively bound to plasma proteins. Therefore, the propensity of sitagliptin to be involved in clinically meaningful drug-drug interactions mediated by plasma protein binding displacement is very low.

    In Vivo Assessment of Drug Interactions

    Effects of Sitagliptin on Other Drugs

    In clinical studies, sitagliptin did not meaningfully alter the pharmacokinetics of metformin, glyburide, simvastatin, rosiglitazone, digoxin, warfarin, or an oral contraceptive (ethinyl estradiol and norethindrone) (Table 4), providing in vivo evidence of a low propensity for causing drug interactions with substrates of CYP3A4, CYP2C8, CYP2C9, P-gp, and organic cationic transporter (OCT).

    Table 4: Effect of Sitagliptin on Systemic Exposure of Coadministered Drugs

    Coadministered Drug

    Dose of

    Coadministered

    Drug*

    Dose of

    Sitagliptin*

    Geometric Mean Ratio

    (ratio with/without sitagliptin)

    No Effect = 1.00

    AUC

    Cmax

    Digoxin

    0.25 mg once daily for 10 days

    100 mg once daily for 10 days

    Digoxin

    1.11§

    1.18

    Glyburide

    1.25 mg

    200 mg once daily for 6 days

    Glyburide

    1.09

    1.01

    Simvastatin

    20 mg

    200 mg once daily for 5 days

    Simvastatin

    0.85

    0.80

    Simvastatin Acid

    1.12

    1.06

    Rosiglitazone

    4 mg

    200 mg once daily for 5 days

    Rosiglitazone

    0.98

    0.99

    Warfarin

    30 mg single dose on

    day 5

    200 mg once daily for 11 days

    S(-) Warfarin

    0.95

    0.89

    R(+) Warfarin

    0.99

    0.89

    Ethinyl estradiol and norethindrone

    21 days once daily of 35 mcg ethinyl estradiol with norethindrone 0.5 mg x 7 days, 0.75 mg x 7 days,

    1.0 mg x 7 days

    200 mg once daily for 21 days

    Ethinyl estradiol

    0.99

    0.97

    Norethindrone

    1.03

    0.98

    Metformin HCl

    1000 mg twice daily for 14 days

    50 mg twice daily for 7 days

    Metformin

    1.02

    0.97

    *   All doses administered as single dose unless otherwise specified.

    †  AUC is reported as AUC0-∞ unless otherwise specified.

    ‡  Multiple dose.

    §  AUC0-24hr.

    ¶  AUC0-last.

    #  AUC0-12hr.

    Effects of Other Drugs on Sitagliptin

    Clinical data described below suggest that sitagliptin is not susceptible to clinically meaningful interactions by coadministered medications (Table 5).

    Table 5: Effect of Coadministered Drugs on Systemic Exposure of Sitagliptin

    Coadministered Drug

    Dose of Coadministered Drug

    Dose of Sitagliptin

    Geometric Mean Ratio

    (ratio with/without coadministered drug)

    No Effect = 1.00

    AUC

    Cmax

    Cyclosporine

    600 mg once daily

    100 mg once daily

    Sitagliptin

    1.29

    1.68

    Metformin HCl

    1000 mg twice daily for 14 days

    50 mg twice daily for

    7 days

    Sitagliptin

    1.02§

    1.05

    * All doses administered as single dose unless otherwise specified.

    † AUC is reported as AUC0-∞ unless otherwise specified.

    ‡ Multiple dose.

    § AUC0-12hr.

  • 13 NONCLINICAL TOXICOLOGY

    13.1 Carcinogenesis, Mutagenesis, Impairment of Fertility

    A two-year carcinogenicity study was conducted in male and female rats given oral doses of sitagliptin of 50, 150, and 500 mg/kg/day. There was an increased incidence of combined liver adenoma/carcinoma in males and females and of liver carcinoma in females at 500 mg/kg. This dose results in exposures approximately 60 times the human exposure at the maximum recommended daily adult human dose (MRHD) of 100 mg/day based on AUC comparisons. Liver tumors were not observed at 150 mg/kg, approximately 20 times the human exposure at the MRHD. A two-year carcinogenicity study was conducted in male and female mice given oral doses of sitagliptin of 50, 125, 250, and 500 mg/kg/day. There was no increase in the incidence of tumors in any organ up to 500 mg/kg, approximately 70 times human exposure at the MRHD. Sitagliptin was not mutagenic or clastogenic with or without metabolic activation in the Ames bacterial mutagenicity assay, a Chinese hamster ovary (CHO) chromosome aberration assay, an in vitro cytogenetics assay in CHO, an in vitro rat hepatocyte DNA alkaline elution assay, and an in vivo micronucleus assay.

    In rat fertility studies with oral gavage doses of 125, 250, and 1000 mg/kg, males were treated for 4 weeks prior to mating, during mating, up to scheduled termination (approximately 8 weeks total) and females were treated 2 weeks prior to mating through gestation day 7. No adverse effect on fertility was observed at 125 mg/kg (approximately 12 times human exposure at the MRHD of 100 mg/day based on AUC comparisons). At higher doses, nondose-related increased resorptions in females were observed (approximately 25 and 100 times human exposure at the MRHD based on AUC comparison).

  • 14 CLINICAL STUDIES

    There were approximately 5200 patients with type 2 diabetes randomized in nine double-blind, placebo-controlled clinical safety and efficacy studies conducted to evaluate the effects of sitagliptin on glycemic control. In a pooled analysis of seven of these studies, the ethnic/racial distribution was approximately 59% white, 20% Hispanic, 10% Asian, 6% black, and 6% other groups. Patients had an overall mean age of approximately 55 years (range 18 to 87 years). In addition, an active (glipizide)-controlled study of 52-weeks duration was conducted in 1172 patients with type 2 diabetes who had inadequate glycemic control on metformin.

    In patients with type 2 diabetes, treatment with sitagliptin produced clinically significant improvements in hemoglobin A1C, fasting plasma glucose (FPG) and 2-hour post-prandial glucose (PPG) compared to placebo.

    14.1 Monotherapy

    A total of 1262 patients with type 2 diabetes participated in two double-blind, placebo-controlled studies, one of 18-week and another of 24-week duration, to evaluate the efficacy and safety of sitagliptin monotherapy. In both monotherapy studies, patients currently on an antihyperglycemic agent discontinued the agent, and underwent a diet, exercise, and drug washout period of about 7 weeks. Patients with inadequate glycemic control (A1C 7% to 10%) after the washout period were randomized after completing a 2-week single-blind placebo run-in period; patients not currently on antihyperglycemic agents (off therapy for at least 8 weeks) with inadequate glycemic control (A1C 7% to 10%) were randomized after completing the 2-week single-blind placebo run-in period. In the 18-week study, 521 patients were randomized to placebo, sitagliptin 100 mg, or sitagliptin 200 mg, and in the 24-week study 741 patients were randomized to placebo, sitagliptin 100 mg, or sitagliptin 200 mg. Patients who failed to meet specific glycemic goals during the studies were treated with metformin rescue, added on to placebo or sitagliptin.

    Treatment with sitagliptin at 100 mg daily provided significant improvements in A1C, FPG, and 2-hour PPG compared to placebo (Table 6). In the 18-week study, 9% of patients receiving sitagliptin 100 mg and 17% who received placebo required rescue therapy. In the 24-week study, 9% of patients receiving sitagliptin 100 mg and 21% of patients receiving placebo required rescue therapy. The improvement in A1C compared to placebo was not affected by gender, age, race, prior antihyperglycemic therapy, or baseline BMI. As is typical for trials of agents to treat type 2 diabetes, the mean reduction in A1C with sitagliptin appears to be related to the degree of A1C elevation at baseline. In these 18- and 24-week studies, among patients who were not on an antihyperglycemic agent at study entry, the reductions from baseline in A1C were -0.7% and -0.8%, respectively, for those given sitagliptin, and -0.1% and -0.2%, respectively, for those given placebo. Overall, the 200 mg daily dose did not provide greater glycemic efficacy than the 100 mg daily dose. The effect of sitagliptin on lipid endpoints was similar to placebo. Body weight did not increase from baseline with sitagliptin therapy in either study, compared to a small reduction in patients given placebo.

    Table 6: Glycemic Parameters in 18- and 24-Week Placebo-Controlled Studies of Sitagliptin in Patients with Type 2 Diabetes*

    18-Week Study

    24-Week Study

    Sitagliptin 100 mg

    Placebo

    Sitagliptin 100 mg

    Placebo

    A1C (%)

    N = 193

    N = 103

    N = 229

    N = 244

      Baseline (mean)

    8.0

    8.1

    8.0

    8.0

      Change from baseline (adjusted mean)

    -0.5

    0.1

    -0.6

    0.2

      Difference from placebo (adjusted mean)
    (95% CI)

    -0.6

    (-0.8, -0.4)

    -0.8

    (-1.0, -0.6)

     Patients (%) achieving A1C <7%

    69 (36%)

    16 (16%)

    93 (41%)

    41 (17%)

    FPG (mg/dL)

    N = 201

    N = 107

    N = 234

    N = 247

      Baseline (mean)

    180

    184

    170

    176

    Change from baseline

    (adjusted mean)

    -13

    7

    -12

    5

      Difference from placebo (adjusted mean)
    (95% CI)

    -20
    (-31, -9)

    -17
    (-24, -10)

    2-hour PPG (mg/dL)

    §

    §

    N = 201

    N = 204

      Baseline (mean)

    257

    271

      Change from baseline (adjusted mean)

    -49

    -2

      Difference from placebo (adjusted mean)
    (95% CI)

    -47

    (-59, -34)

    *  Intent-to-treat population using last observation on study prior to metformin rescue therapy.

    †  Least squares means adjusted for prior antihyperglycemic therapy status and baseline value.

    ‡  p<0.001 compared to placebo.

    §  Data not available.

    Additional Monotherapy Study

    A multinational, randomized, double-blind, placebo-controlled study was also conducted to assess the safety and tolerability of sitagliptin in 91 patients with type 2 diabetes and chronic renal insufficiency (creatinine clearance <50 mL/min). Patients with moderate renal insufficiency received 50 mg daily of sitagliptin and those with severe renal insufficiency or with ESRD on hemodialysis or peritoneal dialysis received 25 mg daily. In this study, the safety and tolerability of sitagliptin were generally similar to placebo. A small increase in serum creatinine was reported in patients with moderate renal insufficiency treated with sitagliptin relative to those on placebo. In addition, the reductions in A1C and FPG with sitagliptin compared to placebo were generally similar to those observed in other monotherapy studies. [See Clinical Pharmacology (12.3).]

    14.2 Combination Therapy

    Add-on Combination Therapy with Metformin

    A total of 701 patients with type 2 diabetes participated in a 24-week, randomized, double-blind, placebo-controlled study designed to assess the efficacy of sitagliptin in combination with metformin. Patients already on metformin HCl (N=431) at a dose of at least 1500 mg per day were randomized after completing a 2-week single-blind placebo run-in period. Patients on metformin and another antihyperglycemic agent (N=229) and patients not on any antihyperglycemic agents (off therapy for at least 8 weeks, N=41) were randomized after a run-in period of approximately 10 weeks on metformin HCl (at a dose of at least 1500 mg per day) in monotherapy. Patients with inadequate glycemic control (A1C 7% to 10%) were randomized to the addition of either 100 mg of sitagliptin or placebo, administered once daily. Patients who failed to meet specific glycemic goals during the studies were treated with pioglitazone rescue.

    In combination with metformin, sitagliptin provided significant improvements in A1C, FPG, and 2-hour PPG compared to placebo with metformin (Table 7). Rescue glycemic therapy was used in 5% of patients treated with sitagliptin 100 mg and 14% of patients treated with placebo. A similar decrease in body weight was observed for both treatment groups.

    Table 7: Glycemic Parameters at Final Visit (24-Week Study) for Sitagliptin in Add-on Combination Therapy with Metformin*

    Sitagliptin 100 mg + Metformin

    Placebo +

    Metformin

    A1C (%)

    N = 453

    N = 224

      Baseline (mean)

    8.0

    8.0

      Change from baseline (adjusted mean)

    -0.7

    -0.0

      Difference from placebo + metformin (adjusted mean)
      (95% CI)

    -0.7
    (-0.8, -0.5)

      Patients (%) achieving A1C <7%

    213 (47%)

    41 (18%)

    FPG (mg/dL)

    N = 454

    N = 226

      Baseline (mean)

    170

    174

      Change from baseline (adjusted mean)

    -17

    9

      Difference from placebo + metformin (adjusted mean)
      (95% CI)

    -25
    (-31, -20)

    2-hour PPG (mg/dL)

    N = 387

    N = 182

      Baseline (mean)

    275

    272

    Change from baseline (adjusted mean)

    -62

    -11

      Difference from placebo + metformin (adjusted mean)
      (95% CI)

    -51
    (-61, -41)

    * Intent-to-treat population using last observation on study prior to pioglitazone rescue therapy.

    † Least squares means adjusted for prior antihyperglycemic therapy and baseline value.

    ‡ p<0.001 compared to placebo + metformin.

    Initial Combination Therapy with Metformin

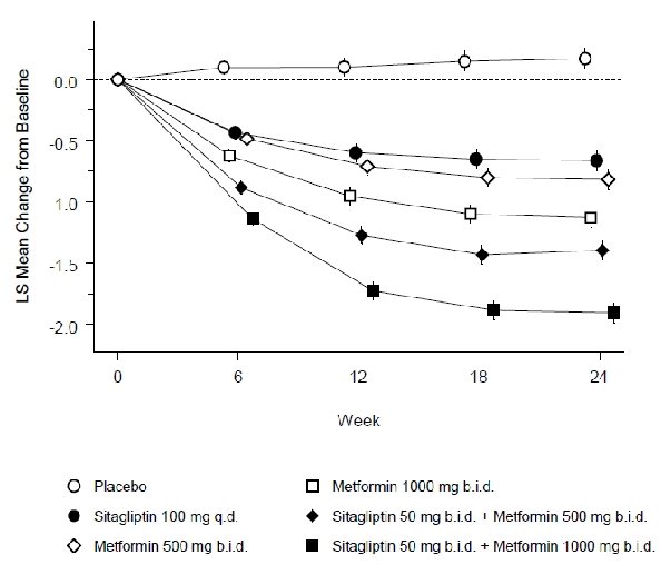
    A total of 1091 patients with type 2 diabetes and inadequate glycemic control on diet and exercise participated in a 24-week, randomized, double-blind, placebo-controlled factorial study designed to assess the efficacy of sitagliptin as initial therapy in combination with metformin. Patients on an antihyperglycemic agent (N=541) discontinued the agent, and underwent a diet, exercise, and drug washout period of up to 12 weeks duration. After the washout period, patients with inadequate glycemic control (A1C 7.5% to 11%) were randomized after completing a 2-week single-blind placebo run-in period. Patients not on antihyperglycemic agents at study entry (N=550) with inadequate glycemic control (A1C 7.5% to 11%) immediately entered the 2-week single-blind placebo run-in period and then were randomized. Approximately equal numbers of patients were randomized to receive initial therapy with placebo, 100 mg of sitagliptin once daily, 500 mg or 1000 mg of metformin HCl twice daily, or 50 mg of sitagliptin twice daily in combination with 500 mg or 1000 mg of metformin HCl twice daily. Patients who failed to meet specific glycemic goals during the study were treated with glyburide (glibenclamide) rescue.

    Initial therapy with the combination of sitagliptin and metformin provided significant improvements in A1C, FPG, and 2-hour PPG compared to placebo, to metformin alone, and to sitagliptin alone (Table 8, Figure 1). Mean reductions from baseline in A1C were generally greater for patients with higher baseline A1C values. For patients not on an antihyperglycemic agent at study entry, mean reductions from baseline in A1C were: sitagliptin 100 mg once daily, -1.1%; metformin HCl 500 mg bid, -1.1%; metformin HCl 1000 mg bid, -1.2%; sitagliptin 50 mg bid with metformin HCl 500 mg bid, -1.6%; sitagliptin 50 mg bid with metformin HCl 1000 mg bid, -1.9%; and for patients receiving placebo, -0.2%. Lipid effects were generally neutral. The decrease in body weight in the groups given sitagliptin in combination with metformin was similar to that in the groups given metformin alone or placebo.

    Table 8: Glycemic Parameters at Final Visit (24-Week Study) for Sitagliptin and Metformin, Alone and in Combination as Initial Therapy*

    Placebo

    Sitagliptin

    100 mg QD

    Metformin HCl
    500 mg bid

    Metformin HCl
    1000 mg bid

    Sitagliptin
    50 mg bid +
    Metformin HCl
    500 mg bid

    Sitagliptin
    50 mg bid +
    Metformin HCl
    1000 mg bid

    A1C (%)

    N = 165

    N = 175

    N = 178

    N = 177

    N = 183

    N = 178

      Baseline (mean)

    8.7

    8.9

    8.9

    8.7

    8.8

    8.8

      Change from baseline (adjusted mean)

    0.2

    -0.7

    -0.8

    -1.1

    -1.4

    -1.9

    Difference from placebo (adjusted mean) (95% CI)

    -0.8
    (-1.1, -0.6)

    -1.0
    (-1.2, -0.8)

    -1.3
    (-1.5, -1.1)

    -1.6
    (-1.8, -1.3)

    -2.1
    (-2.3, -1.8)

    Patients (%) achieving A1C <7%

    15 (9%)

    35 (20%)

    41 (23%)

    68 (38%)

    79 (43%)

    118 (66%)

      % Patients receiving rescue medication

    32

    21

    17

    12

    8

    2

    FPG (mg/dL)

    N = 169

    N = 178

    N = 179

    N = 179

    N = 183

    N = 180

     Baseline (mean)

    196

    201

    205

    197

    204

    197

      Change from baseline (adjusted mean)

    6

    -17

    -27

    -29

    -47

    -64

    Difference from placebo (adjusted mean) (95% CI)

    -23
    (-33, -14)

    -33
    (-43, -24)

    -35
    (-45, -26)

    -53
    (-62, -43)

    -70
    (-79, -60)

    2-hour PPG (mg/dL)

    N = 129

    N = 136

    N = 141

    N = 138

    N = 147

    N = 152

      Baseline (mean)

    277

    285

    293

    283

    292

    287

    Change from baseline (adjusted mean)

    0

    -52

    -53

    -78

    -93

    -117

      Difference from placebo (adjusted mean) (95% CI)

    -52
    (-67, -37)

    -54
    (-69, -39)

    -78
    (-93, -63)

    -93
    (-107, -78)

    -117
    (-131, -102)

    * Intent-to-treat population using last observation on study prior to glyburide (glibenclamide) rescue therapy.

    † Least squares means adjusted for prior antihyperglycemic therapy status and baseline value.

    ‡ p<0.001 compared to placebo.

    Figure 1: Mean Change from Baseline for A1C (%) over 24 Weeks with Sitagliptin and Metformin, Alone and in Combination as Initial Therapy in Patients with Type 2 Diabetes*

    Figure1

    * All Patients Treated Population: least squares means adjusted for prior antihyperglycemic therapy and baseline value.

    Initial combination therapy or maintenance of combination therapy may not be appropriate for all patients. These management options are left to the discretion of the health care provider.

    Active-Controlled Study vs Glipizide in Combination with Metformin

    The efficacy of sitagliptin was evaluated in a 52-week, double-blind, glipizide-controlled noninferiority trial in patients with type 2 diabetes. Patients not on treatment or on other antihyperglycemic agents entered a run-in treatment period of up to 12 weeks duration with metformin HCl monotherapy (dose of ≥1500 mg per day) which included washout of medications other than metformin, if applicable. After the run-in period, those with inadequate glycemic control (A1C 6.5% to 10%) were randomized 1:1 to the addition of sitagliptin 100 mg once daily or glipizide for 52 weeks. Patients receiving glipizide were given an initial dosage of 5 mg/day and then electively titrated over the next 18 weeks to a maximum dosage of 20 mg/day as needed to optimize glycemic control. Thereafter, the glipizide dose was to be kept constant, except for down-titration to prevent hypoglycemia. The mean dose of glipizide after the titration period was 10 mg.

    After 52 weeks, sitagliptin and glipizide had similar mean reductions from baseline in A1C in the intent-to-treat analysis (Table 9). These results were consistent with the per protocol analysis (Figure 2). A conclusion in favor of the non-inferiority of sitagliptin to glipizide may be limited to patients with baseline A1C comparable to those included in the study (over 70% of patients had baseline A1C <8% and over 90% had A1C <9%).

    Table 9: Glycemic Parameters in a 52-Week Study Comparing Sitagliptin to Glipizide as Add-On Therapy in Patients Inadequately Controlled on Metformin (Intent-to-Treat Population)*

    Sitagliptin 100 mg

    Glipizide

    A1C (%)

    N = 576

    N = 559

      Baseline (mean)

    7.7

    7.6

      Change from baseline (adjusted mean)

    -0.5

    -0.6

    FPG (mg/dL)

    N = 583

    N = 568

      Baseline (mean)

    166

    164

      Change from baseline (adjusted mean)

    -8

    -8

    * The intent-to-treat analysis used the patients' last observation in the study prior to discontinuation.

    † Least squares means adjusted for prior antihyperglycemic therapy status and baseline A1C value.

    Figure2

    * The per protocol population (mean baseline A1C of 7.5%) included patients without major protocol violations who had observations at baseline and at Week 52.

    The incidence of hypoglycemia in the sitagliptin group (4.9%) was significantly (p<0.001) lower than that in the glipizide group (32.0%). Patients treated with sitagliptin exhibited a significant mean decrease from baseline in body weight compared to a significant weight gain in patients administered glipizide (-1.5 kg vs +1.1 kg).

    Add-on Combination Therapy with Pioglitazone

    A total of 353 patients with type 2 diabetes participated in a 24-week, randomized, double-blind, placebo-controlled study designed to assess the efficacy of sitagliptin in combination with pioglitazone. Patients on any oral antihyperglycemic agent in monotherapy (N=212) or on a PPARγ agent in combination therapy (N=106) or not on an antihyperglycemic agent (off therapy for at least 8 weeks, N=34) were switched to monotherapy with pioglitazone (at a dose of 30 to 45 mg per day), and completed a run-in period of approximately 12 weeks in duration. After the run-in period on pioglitazone monotherapy, patients with inadequate glycemic control (A1C 7% to 10%) were randomized to the addition of either 100 mg of sitagliptin or placebo, administered once daily. Patients who failed to meet specific glycemic goals during the studies were treated with metformin rescue. Glycemic endpoints measured were A1C and fasting glucose.

    In combination with pioglitazone, sitagliptin provided significant improvements in A1C and FPG compared to placebo with pioglitazone (Table 10). Rescue therapy was used in 7% of patients treated with sitagliptin 100 mg and 14% of patients treated with placebo. There was no significant difference between sitagliptin and placebo in body weight change.

    Table 10: Glycemic Parameters at Final Visit (24-Week Study) for Sitagliptin in Add-on Combination Therapy with Pioglitazone*

    Sitagliptin 100 mg + Pioglitazone

    Placebo +

    Pioglitazone

    A1C (%)

    N = 163

    N = 174

      Baseline (mean)

    8.1

    8.0

      Change from baseline (adjusted mean)

    -0.9

    -0.2

    Difference from placebo + pioglitazone (adjusted mean)
     (95% CI)

    -0.7
    (-0.9, -0.5)

      Patients (%) achieving A1C <7%

    74 (45%)

    40 (23%)

    FPG (mg/dL)

    N = 163

    N = 174

      Baseline (mean)

    168

    166

      Change from baseline (adjusted mean)

    -17

    1

     Difference from placebo + pioglitazone (adjusted mean)
      (95% CI)

    -18
    (-24, -11)

    * Intent-to-treat population using last observation on study prior to metformin rescue therapy.

    † Least squares means adjusted for prior antihyperglycemic therapy status and baseline value.

    ‡ p<0.001 compared to placebo + pioglitazone.

    Initial Combination Therapy with Pioglitazone

    A total of 520 patients with type 2 diabetes and inadequate glycemic control on diet and exercise participated in a 24-week, randomized, double-blind study designed to assess the efficacy of sitagliptin as initial therapy in combination with pioglitazone. Patients not on antihyperglycemic agents at study entry (<4 weeks cumulative therapy over the past 2 years, and with no treatment over the prior 4 months) with inadequate glycemic control (A1C 8% to 12%) immediately entered the 2-week single-blind placebo run-in period and then were randomized. Approximately equal numbers of patients were randomized to receive initial therapy with 100 mg of sitagliptin in combination with 30 mg of pioglitazone once daily or 30 mg of pioglitazone once daily as monotherapy. There was no glycemic rescue therapy in this study.

    Initial therapy with the combination of sitagliptin and pioglitazone provided significant improvements in A1C, FPG, and 2-hour PPG compared to pioglitazone monotherapy (Table 11). The improvement in A1C was generally consistent across subgroups defined by gender, age, race, baseline BMI, baseline A1C, or duration of disease. In this study, patients treated with sitagliptin in combination with pioglitazone had a mean increase in body weight of 1.1 kg compared to pioglitazone alone (3.0 kg vs. 1.9 kg). Lipid effects were generally neutral.

    Table 11: Glycemic Parameters at Final Visit (24-Week Study) for Sitagliptin in Combination with Pioglitazone as Initial Therapy*

    Sitagliptin 100 mg + Pioglitazone

    Pioglitazone

    A1C (%)

    N = 251

    N = 246

         Baseline (mean)

    9.5

    9.4

         Change from baseline (adjusted mean)

    -2.4

    -1.5

         Difference from pioglitazone (adjusted mean) (95% CI)

    -0.9
    (-1.1, -0.7)

         Patients (%) achieving A1C <7%

    151 (60%)

    68 (28%)

    FPG (mg/dL)

    N = 256

    N = 253

         Baseline (mean)

    203

    201

         Change from baseline (adjusted mean)

    -63

    -40

    Difference from pioglitazone (adjusted mean) (95% CI)

    -23
    (-30, -15)

    2-hour PPG (mg/dL)

    N = 216

    N = 211

         Baseline (mean)

    283

    284

         Change from baseline (adjusted mean)

    -114

    -69

    Difference from pioglitazone (adjusted mean) (95% CI)

    -45
    (-57, -32)

    * Intent-to-treat population using last observation on study.

    † Least squares means adjusted for baseline value.

    ‡ p<0.001 compared to placebo + pioglitazone.

    Add-on Combination Therapy with Metformin and Rosiglitazone

    A total of 278 patients with type 2 diabetes participated in a 54-week, randomized, double-blind, placebo-controlled study designed to assess the efficacy of sitagliptin in combination with metformin and rosiglitazone. Patients on dual therapy with metformin HCl ≥1500 mg/day and rosiglitazone ≥4 mg/day or with metformin HCl ≥1500 mg/day and pioglitazone ≥30 mg/day (switched to rosiglitazone ≥4 mg/day) entered a dose-stable run-in period of 6 weeks. Patients on other dual therapy were switched to metformin HCl ≥1500 mg/day and rosiglitazone ≥4 mg/day in a dose titration/stabilization run-in period of up to 20 weeks in duration. After the run-in period, patients with inadequate glycemic control (A1C 7.5% to 11%) were randomized 2:1 to the addition of either 100 mg of sitagliptin or placebo, administered once daily. Patients who failed to meet specific glycemic goals during the study were treated with glipizide (or other sulfonylurea) rescue. The primary time point for evaluation of glycemic parameters was Week 18.

    In combination with metformin and rosiglitazone, sitagliptin provided significant improvements in A1C, FPG, and 2-hour PPG compared to placebo with metformin and rosiglitazone (Table 12) at Week 18. At Week 54, mean reduction in A1C was -1.0% for patients treated with sitagliptin and -0.3% for patients treated with placebo in an analysis based on the intent-to-treat population. Rescue therapy was used in 18% of patients treated with sitagliptin 100 mg and 40% of patients treated with placebo. There was no significant difference between sitagliptin and placebo in body weight change. 

    Table 12: Glycemic Parameters at Week 18 for Sitagliptin in Add-on Combination Therapy with Metformin and Rosiglitazone*

    Sitagliptin 100 mg + Metformin + Rosiglitazone

    Placebo +

    Metformin + Rosiglitazone

    A1C (%)

    N = 176

    N = 93

         Baseline (mean)

    8.8

    8.7

         Change from baseline (adjusted mean)

    -1.0

    -0.4

         Difference from placebo + rosiglitazone + metformin (adjusted mean) (95% CI)

    -0.7
    (-0.9, -0.4)

         Patients (%) achieving A1C <7%

    39 (22%)

    9 (10%)

    FPG (mg/dL)

    N = 179

    N = 94

         Baseline (mean)

    181

    182

    Change from baseline (adjusted mean)

    -30

    -11

         Difference from placebo + rosiglitazone + metformin (adjusted mean) (95% CI)

    -18
    (-26, -10)

    2-hour PPG (mg/dL)

    N = 152

    N = 80

         Baseline (mean)

    256

    248

         Change from baseline (adjusted mean)

    -59

    -21

         Difference from placebo + rosiglitazone + metformin (adjusted mean) (95% CI)

    -39
    (-51, -26)

    * Intent-to-treat population using last observation on study prior to glipizide (or other sulfonylurea) rescue therapy.

    † Least squares means adjusted for prior antihyperglycemic therapy status and baseline value.

    ‡ p<0.001 compared to placebo + metformin + rosiglitazone.

    Add-on Combination Therapy with Glimepiride, with or without Metformin

    A total of 441 patients with type 2 diabetes participated in a 24-week, randomized, double-blind, placebo-controlled study designed to assess the efficacy of sitagliptin in combination with glimepiride, with or without metformin. Patients entered a run-in treatment period on glimepiride (≥4 mg per day) alone or glimepiride in combination with metformin HCl (≥1500 mg per day). After a dose-titration and dose-stable run-in period of up to 16 weeks and a 2-week placebo run-in period, patients with inadequate glycemic control (A1C 7.5% to 10.5%) were randomized to the addition of either 100 mg of sitagliptin or placebo, administered once daily. Patients who failed to meet specific glycemic goals during the studies were treated with pioglitazone rescue.

    In combination with glimepiride, with or without metformin, sitagliptin provided significant improvements in A1C and FPG compared to placebo (Table 13). In the entire study population (patients on sitagliptin in combination with glimepiride and patients on sitagliptin in combination with glimepiride and metformin), a mean reduction from baseline relative to placebo in A1C of -0.7% and in FPG of -20 mg/dL was seen. Rescue therapy was used in 12% of patients treated with sitagliptin 100 mg and 27% of patients treated with placebo. In this study, patients treated with sitagliptin had a mean increase in body weight of 1.1 kg vs. placebo (+0.8 kg vs. -0.4 kg). In addition, there was an increased rate of hypoglycemia. [See Warnings and Precautions (5.4); Adverse Reactions (6.1).]

    Table 13: Glycemic Parameters at Final Visit (24-Week Study) for Sitagliptin as Add-On Combination Therapy with Glimepiride, with or without Metformin*

    Sitagliptin 100 mg
    + Glimepiride

    Placebo +
    Glimepiride

    Sitagliptin 100 mg
    + Glimepiride
    + Metformin

    Placebo
    + Glimepiride
    + Metformin

    A1C (%)

    N = 102

    N = 103

    N = 115

    N = 105

      Baseline (mean)

    8.4

    8.5

    8.3

    8.3

      Change from baseline (adjusted mean)

    -0.3

    0.3

    -0.6

    0.3

      Difference from placebo (adjusted mean)
     (95% CI)

    -0.6
    (-0.8, -0.3)

    -0.9
    (-1.1, -0.7)

      Patients (%) achieving A1C <7%

    11 (11%)

    9 (9%)

    26 (23%)

    1 (1%)

    FPG (mg/dL)

    N = 104

    N = 104

    N = 115

    N = 109

      Baseline (mean)

    183

    185

    179

    179

      Change from baseline (adjusted mean)

    -1

    18

    -8

    13

    Difference from placebo (adjusted mean)
    (95% CI)

    -19§
    (-32, -7)

    -21
    (-32, -10)

    * Intent-to-treat population using last observation on study prior to pioglitazone rescue therapy.

    † Least squares means adjusted for prior antihyperglycemic therapy status and baseline value.

    ‡ p<0.001 compared to placebo.

    § p<0.01 compared to placebo.

    Add-on Combination Therapy with Insulin (with or without Metformin)

    A total of 641 patients with type 2 diabetes participated in a 24-week, randomized, double-blind, placebo-controlled study designed to assess the efficacy of sitagliptin as add-on to insulin therapy (with or without metformin). The racial distribution in this study was approximately 70% white, 18% Asian, 7% black, and 5% other groups. Approximately 14% of the patients in this study were Hispanic. Patients entered a 2-week, single-blind run-in treatment period on pre-mixed, long-acting, or intermediate-acting insulin, with or without metformin HCl (≥1500 mg per day). Patients using short-acting insulins were excluded unless the short-acting insulin was administered as part of a pre-mixed insulin. After the run-in period, patients with inadequate glycemic control (A1C 7.5% to 11%) were randomized to the addition of either 100 mg of sitagliptin or placebo, administered once daily. Patients were on a stable dose of insulin prior to enrollment with no changes in insulin dose permitted during the run-in period. Patients who failed to meet specific glycemic goals during the double-blind treatment period were to have uptitration of the background insulin dose as rescue therapy.

    The median daily insulin dose at baseline was 42 units in the patients treated with sitagliptin and 45 units in the placebo-treated patients. The median change from baseline in daily dose of insulin was zero for both groups at the end of the study. In combination with insulin (with or without metformin), sitagliptin provided significant improvements in A1C, FPG, and 2-hour PPG compared to placebo (Table 14). Both treatment groups had an adjusted mean increase in body weight of 0.1 kg from baseline to Week 24. There was an increased rate of hypoglycemia in patients treated with sitagliptin. [See Warnings and Precautions (5.4); Adverse Reactions (6.1).]

    Table 14: Glycemic Parameters at Final Visit (24-Week Study) for Sitagliptin as Add-on Combination Therapy with Insulin*

    Sitagliptin 100 mg

    + Insulin

    (+/- Metformin)

    Placebo +

    Insulin

    (+/- Metformin)

    A1C (%)

    N = 305

    N = 312

         Baseline (mean)

    8.7

    8.6

         Change from baseline (adjusted mean)

    -0.6

    -0.1

         Difference from placebo (adjusted mean†,‡)

    (95% CI)

    -0.6§
    (-0.7, -0.4)

     Patients (%) achieving A1C <7%

    39 (12.8%)

    16 (5.1%)

    FPG (mg/dL)

    N = 310

    N = 313

         Baseline (mean)

    176

    179

         Change from baseline (adjusted mean)

    -18

    -4

    Difference from placebo (adjusted mean)

    (95% CI)

    -15§
    (-23, -7)

    2-hour PPG (mg/dL)

    N = 240

    N = 257

         Baseline (mean)

    291

    292

         Change from baseline (adjusted mean)

    -31

    5

         Difference from placebo (adjusted mean)

    (95% CI)

    -36§
    (-47, -25)

    * Intent-to-treat population using last observation on study prior to rescue therapy.

    •   Least squares means adjusted for metformin use at the screening visit (yes/no), type of insulin used at the screening visit (pre-mixed vs. non-pre-mixed [intermediate- or long-acting]), and baseline value.

    Treatment by stratum interaction was not significant (p>0.10) for metformin stratum and for insulin stratum.

    § p<0.001 compared to placebo.

    Maintenance of Sitagliptin During Initiation and Titration of Insulin Glargine

    A total of 746 patients with type 2 diabetes (mean baseline HbA1C 8.8%, disease duration 10.8 years) participated in a 30-week, randomized, double-blind, placebo-controlled study to assess the efficacy and safety of continuing sitagliptin during the initiation and uptitration of insulin glargine. Patients who were on a stable dose of metformin HCl (≥1500 mg/day) in combination with a DPP-4 inhibitor and/or sulfonylurea but with inadequate glycemic control (A1C 7.5% to 11%) were enrolled in the study. Those on metformin and sitagliptin (100 mg/day) directly entered the double-blind treatment period; those on another DPP-4 inhibitor and/or on a sulfonylurea entered a 4 to 8 week run-in period in which they were maintained on metformin and switched to sitagliptin (100 mg); other DPP-4 inhibitors and sulfonylureas were discontinued. At randomization patients were randomized either to continue sitagliptin or to discontinue sitagliptin and switch to a matching placebo. On the day of randomization, insulin glargine was initiated at a dose of 10 units subcutaneously in the evening. Patients were instructed to uptitrate their insulin dose in the evening based on fasting blood glucose measurements to achieve a target of 72 to 100 mg/dL.

    At 30 weeks, the mean reduction in A1C was greater in the sitagliptin group than in the placebo group (Table 15). At the end of the trial, 27.3% of patients in the sitagliptin group and 27.3% in the placebo group had a fasting plasma glucose (FPG) in the target range; there was no significant difference in insulin dose between arms.

    Table 15: Change from Baseline in A1C and FPG at Week 30 in the Maintenance of Sitagliptin During Initiation and Titration of Insulin Glargine Study

    Sitagliptin 100 mg +

    Metformin +

    Insulin Glargine

    Placebo + Metformin + Insulin Glargine

    A1C (%)

    N = 373

    N = 370

         Baseline (mean)

    8.8

    8.8

         Week 30 (mean)

    6.9

    7.3

         Change from baseline (adjusted mean)

    -1.9

    -1.4

         Difference from placebo (adjusted mean)

    (95% CI)

    -0.4
    (-0.6, -0.3)

      Patients (%) with A1C <7%

    202 (54.2%)

    131 (35.4%)

    FPG (mg/dL)

    N = 373

    N = 370

         Baseline (mean)

    199

    201

    Week 30 (mean)

    118

    123

         Change from baseline

    (adjusted mean)*

    -81

    -76

    •   * Analysis of Covariance including all post-baseline data regardless of rescue or treatment discontinuation. Model estimates calculated using multiple imputation to model washout of the treatment effect using placebo data for all subjects having missing Week 30 data.

    † N is the number of randomized and treated patients.

    ‡ p<0.001 compared to placebo.

  • 16 HOW SUPPLIED/STORAGE AND HANDLING

    Sitagliptin tablets, USP are available as follows:

    25 mg tablets are dark pink, round, biconvex, film-coated tablets debossed with “SN” on one side and “25” on the other side.

    NDC 0781-5766-31, 30 tablets in one bottle

    NDC 0781-5766-92, 90 tablets in one bottle

    50 mg tablets are pink, round, biconvex, film-coated tablets debossed with “SN” on one side and “50” on the other side.

    NDC 0781-5768-31, 30 tablets in one bottle

    NDC 0781-5768-92, 90 tablets in one bottle

    100 mg tablets are brown, round, biconvex, film-coated tablets debossed with “SN” on one side and “100” on the other side.

    NDC 0781-5770-31, 30 tablets in one bottle

    NDC 0781-5770-92, 90 tablets in one bottle

    NDC 0781-5770-10, 1000 tablets in one bottle

    Storage

    Store at 20ºC to 25ºC (68ºF to 77ºF); excursions permitted to 15ºC to 30ºC (69ºF to 86ºF) [see USP Controlled Room Temperature].

    Dispense in a tight, light-resistant container.

    KEEP OUT OF REACH OF CHILDREN.

  • 17 PATIENT COUNSELING INFORMATION

    Advise the patient to read the FDA-approved patient labeling (Medication Guide).

    Pancreatitis

    Inform patients that acute pancreatitis has been reported during postmarketing use of sitagliptin. Inform patients that persistent severe abdominal pain, sometimes radiating to the back, which may or may not be accompanied by vomiting, is the hallmark symptom of acute pancreatitis. Instruct patients to promptly discontinue sitagliptin and contact their physician if persistent severe abdominal pain occurs [see Warnings and Precautions (5.1)].

    Heart Failure

    Inform patients of the signs and symptoms of heart failure. Before initiating sitagliptin, ask patients about a history of heart failure or other risk factors for heart failure including moderate to severe renal impairment. Instruct patients to contact their health care provider as soon as possible if they experience symptoms of heart failure, including increasing shortness of breath, rapid increase in weight or swelling of the feet [see Warnings and Precautions (5.2)].

    Hypoglycemia

    Inform patients that the incidence of hypoglycemia is increased when sitagliptin is added to a sulfonylurea or insulin. Explain to patients receiving sitagliptin in combination with these medications the risks of hypoglycemia, its symptoms and treatment, and conditions that predispose to its development [see Warnings and Precautions (5.4)].

    Hypersensitivity Reactions

    Inform patients that allergic reactions have been reported during postmarketing use of sitagliptin. If symptoms of allergic reactions (including rash, hives, and swelling of the face, lips, tongue, and throat that may cause difficulty in breathing or swallowing) occur, patients must stop taking sitagliptin and seek medical advice promptly [see Warnings and Precautions (5.5)].

    Severe and Disabling Arthralgia

    Inform patients that severe and disabling joint pain may occur with this class of drugs. The time to onset of symptoms can range from one day to years. Instruct patients to seek medical advice if severe joint pain occurs [see Warnings and Precautions (5.6)].

    Bullous Pemphigoid

    Inform patients that bullous pemphigoid may occur with this class of drugs. Instruct patients to seek medical advice if blisters or erosions occur [see Warnings and Precautions (5.7)].

    Manufactured by Sandoz Private Limited, India

    for Sandoz Inc., Princeton, NJ 08540

  • Medication Guide

    Medication Guide

    Sitagliptin (sit-ah-GLIP-ten)

    Tablets, USP, for oral use

    Read this Medication Guide carefully before you start taking sitagliptin tablets and each time you get a refill. There may be new information. This information does not take the place of talking with your doctor about your medical condition or your treatment. If you have any questions about sitagliptin tablets, ask your doctor or pharmacist.

    What is the most important information I should know about sitagliptin tablets?

    Sitagliptin tablets can cause serious side effects, including:

    • Inflammation of the pancreas (pancreatitis) which may be severe and lead to death. Certain medical problems make you more likely to get pancreatitis. Before you start taking sitagliptin tablets, tell your doctor if you have ever had:

      pancreatitis stones in your gallbladder a history of alcoholism

      (gallstones)

      high blood triglyceride levelskidney problems

      Stop taking sitagliptin tablets and call your doctor right away if you have pain in your stomach area (abdomen) that is severe and will not go away. The pain may be felt going from your abdomen through to your back. The pain may happen with or without vomiting. These may be symptoms of pancreatitis.

    What are sitagliptin tablets?

    • Sitagliptin tablets are a prescription medicine used along with diet and exercise to lower blood sugar in adults with type 2 diabetes.
    • Sitagliptin tablets are not for people with type 1 diabetes.
    • If you have had pancreatitis (inflammation of the pancreas) in the past, it is not known if you have a higher chance of getting pancreatitis while you take sitagliptin tablets.
    • The safety and effectiveness of sitagliptin tablets have not been established in pediatric patients.

    Who should not take sitagliptin tablets?

    Do not take sitagliptin tablets if:

    • you are allergic to any of the ingredients in sitagliptin tablets. See the end of this Medication Guide for a complete list of ingredients in sitagliptin tablets.

    Symptoms of a serious allergic reaction to sitagliptin tablets may include rash, raised red patches on your skin (hives), or swelling of the face, lips, tongue, and throat that may cause difficulty in breathing or swallowing.

    What should I tell my doctor before taking sitagliptin tablets?

    Before you take sitagliptin tablets, tell your doctor about all of your medical conditions, including if you:

    • have or have had inflammation of your pancreas (pancreatitis).
    • have kidney problems.
    • have heart failure.
    • are pregnant or plan to become pregnant. It is not known if sitagliptin tablets will harm your unborn baby. If you are pregnant, talk with your doctor about the best way to control your blood sugar while you are pregnant.
    • are breastfeeding or plan to breastfeed. It is not known if sitagliptin will pass into your breast milk. Talk with your doctor about the best way to feed your baby if you are taking sitagliptin tablets.

    Tell your doctor about all the medicines you take, including prescription and over-the-counter medicines, vitamins, and herbal supplements.

    Know the medicines you take. Keep a list of your medicines and show it to your doctor and pharmacist when you get a new medicine.

    How should I take sitagliptin tablets?

    • Take sitagliptin tablets 1 time each day exactly as your doctor tells you.
    • You can take sitagliptin tablets with or without food.
    • Your doctor will do blood tests to check how well your kidneys are working before and during your treatment with sitagliptin tablets.
    • Your doctor may tell you to take sitagliptin tablets along with other diabetes medicines. Low blood sugar can happen more often when sitagliptin tablets are taken with certain other diabetes medicines. See "What are the possible side effects of sitagliptin tablets?"
    • If you miss a dose, take it as soon as you remember. If you do not remember until it is time for your next dose, skip the missed dose and go back to your regular schedule. Do not take two doses of sitagliptin tablets at the same time.
    • If you take too much sitagliptin tablets, call your doctor or local Poison Control Center right away.
    • When your body is under some types of stress, such as fever, trauma (such as a car accident), infection or surgery, the amount of diabetes medicine that you need may change. Tell your doctor right away if you have any of these conditions and follow your doctor’s instructions.
    • Check your blood sugar as your doctor tells you to.
    • Stay on your prescribed diet and exercise program while taking sitagliptin tablets.
    • Talk to your doctor about how to prevent, recognize and manage low blood sugar (hypoglycemia), high blood sugar (hyperglycemia), and problems you have because of your diabetes.
    • Your doctor will check your diabetes with regular blood tests, including your blood sugar levels and your hemoglobin A1C.

    What are the possible side effects of sitagliptin tablets?

    Sitagliptin tablets may cause serious side effects, including:

    • See "What is the most important information I should know about sitagliptin tablets?"
    • Kidney problems, sometimes requiring dialysis.
    • Low blood sugar (hypoglycemia). If you take sitagliptin tablets with another medicine that can cause low blood sugar, such as a sulfonylurea or insulin, your risk of getting low blood sugar is higher. The dose of your sulfonylurea medicine or insulin may need to be lowered while you use sitagliptin tablets. Signs and symptoms of low blood sugar may include:

    ○ headache ○ irritability ○ dizziness ○ sweating ○ weakness

    ○ drowsiness ○ hunger ○ confusion ○ feeling jittery ○ fast heart beat

    • Serious allergic reactions. If you have any symptoms of a serious allergic reaction, stop taking sitagliptin tablets and call your doctor right away or get emergency medical help. See “Who should not take sitagliptin tablets?”. Your doctor may give you a medicine for your allergic reaction and prescribe a different medicine for your diabetes.
    • Joint pain. Some people who take medicines called DPP-4 inhibitors like sitagliptin tablets, may develop joint pain that can be severe. Call your doctor if you have severe joint pain.
    • Skin reaction. Some people who take medicines called DPP-4 inhibitors like sitagliptin tablets may develop a skin reaction called bullous pemphigoid that can require treatment in a hospital. Tell your doctor right away if you develop blisters or the breakdown of the outer layer of your skin (erosion). Your doctor may tell you to stop taking sitagliptin tablets.

    The most common side effects of sitagliptin tablets include upper respiratory infection, stuffy or runny nose and sore throat, and headache.

    Sitagliptin tablets may have other side effects, including stomach upset and diarrhea, swelling of the hands or legs, when sitagliptin tablets are used with metformin and rosiglitazone (Avandia®). Rosiglitazone is another type of diabetes medicine. Tell your doctor if you have any side effect that bothers you or does not go away.

    These are not all the possible side effects of sitagliptin tablets. For more information, ask your doctor or pharmacist.

    Call your doctor for medical advice about side effects. You may report side effects to FDA at 1-800-FDA-1088.

    How should I store sitagliptin tablets?

    Store sitagliptin tablets at room temperature, between 68°F to 77°F (20°C to 25°C).

    Keep sitagliptin tablets and all medicines out of the reach of children.

    General information about the safe and effective use of sitagliptin tablets.

    Medicines are sometimes prescribed for purposes other than those listed in a Medication Guide. Do not use sitagliptin tablets for a condition for which it was not prescribed. Do not give sitagliptin tablets to other people, even if they have the same symptoms you have. It may harm them.

    This Medication Guide summarizes the most important information about sitagliptin tablets. If you would like to know more information, talk with your doctor. You can ask your doctor or pharmacist for information about sitagliptin tablets that is written for health professionals.

    What are the ingredients in sitagliptin tablets?

    Active ingredient: sitagliptin

    Inactive ingredients: anhydrous dibasic calcium phosphate, croscarmellose sodium, colloidal silicon dioxide, low-substituted hydroxypropyl cellulose, magnesium stearate, microcrystalline cellulose, and sodium stearyl fumarate.

    The film coating contains the following inactive ingredients: ferric oxide red, ferric oxide yellow, hypromellose, hydroxypropyl cellulose, polyethylene glycol, talc, and titanium dioxide. In addition, the 100 mg tablets contains ferric oxide black.

    For more information, call 1-800-525-8747.

    Trademarks are the property of their respective owners.

    Manufactured by Sandoz Private Limited, India

    for Sandoz Inc., Princeton, NJ 08540

    This Medication Guide has been approved by the U.S. Food and Drug Administration. Revised: 09/2025

  • PACKAGE/LABEL PRINCIPAL DISPLAY PANEL

    NDC: 0781-5766-37

    Sitagliptin Tablets, USP

    25 mg

    PHARMACIST: Dispense the accompanying Medication Guide to each patient.

    Rx Only

    30 Tablets

    sita-25-mg
  • PACKAGE/LABEL PRINCIPAL DISPLAY PANEL

    NDC: 0781-5768-31

    Sitagliptin Tablets, USP

    50 mg

    PHARMACIST: Dispense the accompanying Medication Guide to each patient.

    Rx Only

    30 Tablets

    sita-50-mg
  • PACKAGE/LABEL PRINCIPAL DISPLAY PANEL

    NDC: 0781-5770-31

    Sitagliptin Tablets, USP

    100 mg

    PHARMACIST: Dispense the accompanying Medication Guide to each patient.

    Rx Only

    30 Tablets

    sita-100-mg
  • INGREDIENTS AND APPEARANCE
    SITAGLIPTIN PHOSPHATE 
    sitagliptin phosphate tablet, film coated
    Product Information
    Product TypeHUMAN PRESCRIPTION DRUGItem Code (Source)NDC: 0781-5766
    Route of AdministrationORAL
    Active Ingredient/Active Moiety
    Ingredient NameBasis of StrengthStrength
    SITAGLIPTIN PHOSPHATE (UNII: TS63EW8X6F) (SITAGLIPTIN - UNII:QFP0P1DV7Z) SITAGLIPTIN25 mg
    Inactive Ingredients
    Ingredient NameStrength
    ANHYDROUS DIBASIC CALCIUM PHOSPHATE (UNII: L11K75P92J)  
    CROSCARMELLOSE SODIUM (UNII: M28OL1HH48)  
    SILICON DIOXIDE (UNII: ETJ7Z6XBU4)  
    LOW-SUBSTITUTED HYDROXYPROPYL CELLULOSE, UNSPECIFIED (UNII: 2165RE0K14)  
    MAGNESIUM STEARATE (UNII: 70097M6I30)  
    MICROCRYSTALLINE CELLULOSE (UNII: OP1R32D61U)  
    SODIUM STEARYL FUMARATE (UNII: 7CV7WJK4UI)  
    FERRIC OXIDE RED (UNII: 1K09F3G675)  
    FERRIC OXIDE YELLOW (UNII: EX438O2MRT)  
    HYPROMELLOSE, UNSPECIFIED (UNII: 3NXW29V3WO)  
    HYDROXYPROPYL CELLULOSE (1600000 WAMW) (UNII: RFW2ET671P)  
    POLYETHYLENE GLYCOL, UNSPECIFIED (UNII: 3WJQ0SDW1A)  
    TALC (UNII: 7SEV7J4R1U)  
    TITANIUM DIOXIDE (UNII: 15FIX9V2JP)  
    Product Characteristics
    ColorPINK (dark) Scoreno score
    ShapeROUNDSize6mm
    FlavorImprint Code SZ;215
    Contains    
    Packaging
    #Item CodePackage DescriptionMarketing Start DateMarketing End Date
    1NDC: 0781-5766-3130 in 1 BOTTLE; Type 0: Not a Combination Product01/14/2026
    2NDC: 0781-5766-9290 in 1 BOTTLE; Type 0: Not a Combination Product01/14/2026
    Marketing Information
    Marketing CategoryApplication Number or Monograph CitationMarketing Start DateMarketing End Date
    ANDAANDA20238701/14/2026
    SITAGLIPTIN PHOSPHATE 
    sitagliptin phosphate tablet, extended release
    Product Information
    Product TypeHUMAN PRESCRIPTION DRUGItem Code (Source)NDC: 0781-5768
    Route of AdministrationORAL
    Active Ingredient/Active Moiety
    Ingredient NameBasis of StrengthStrength
    SITAGLIPTIN PHOSPHATE (UNII: TS63EW8X6F) (SITAGLIPTIN - UNII:QFP0P1DV7Z) SITAGLIPTIN50 mg
    Inactive Ingredients
    Ingredient NameStrength
    ANHYDROUS DIBASIC CALCIUM PHOSPHATE (UNII: L11K75P92J)  
    CROSCARMELLOSE SODIUM (UNII: M28OL1HH48)  
    SILICON DIOXIDE (UNII: ETJ7Z6XBU4)  
    LOW-SUBSTITUTED HYDROXYPROPYL CELLULOSE, UNSPECIFIED (UNII: 2165RE0K14)  
    MAGNESIUM STEARATE (UNII: 70097M6I30)  
    MICROCRYSTALLINE CELLULOSE (UNII: OP1R32D61U)  
    SODIUM STEARYL FUMARATE (UNII: 7CV7WJK4UI)  
    FERRIC OXIDE RED (UNII: 1K09F3G675)  
    FERRIC OXIDE YELLOW (UNII: EX438O2MRT)  
    HYPROMELLOSE, UNSPECIFIED (UNII: 3NXW29V3WO)  
    HYDROXYPROPYL CELLULOSE (1600000 WAMW) (UNII: RFW2ET671P)  
    POLYETHYLENE GLYCOL, UNSPECIFIED (UNII: 3WJQ0SDW1A)  
    TALC (UNII: 7SEV7J4R1U)  
    TITANIUM DIOXIDE (UNII: 15FIX9V2JP)  
    Product Characteristics
    ColorPINKScoreno score
    ShapeROUNDSize8mm
    FlavorImprint Code SZ;216
    Contains    
    Packaging
    #Item CodePackage DescriptionMarketing Start DateMarketing End Date
    1NDC: 0781-5768-3130 in 1 BOTTLE; Type 0: Not a Combination Product01/14/2026
    2NDC: 0781-5768-9290 in 1 BOTTLE; Type 0: Not a Combination Product01/14/2026
    Marketing Information
    Marketing CategoryApplication Number or Monograph CitationMarketing Start DateMarketing End Date
    ANDAANDA20238701/14/2026
    SITAGLIPTIN PHOSPHATE 
    sitagliptin phosphate tablet, film coated
    Product Information
    Product TypeHUMAN PRESCRIPTION DRUGItem Code (Source)NDC: 0781-5770
    Route of AdministrationORAL
    Active Ingredient/Active Moiety
    Ingredient NameBasis of StrengthStrength
    SITAGLIPTIN PHOSPHATE (UNII: TS63EW8X6F) (SITAGLIPTIN - UNII:QFP0P1DV7Z) SITAGLIPTIN100 mg
    Inactive Ingredients
    Ingredient NameStrength
    ANHYDROUS DIBASIC CALCIUM PHOSPHATE (UNII: L11K75P92J)  
    CROSCARMELLOSE SODIUM (UNII: M28OL1HH48)  
    SILICON DIOXIDE (UNII: ETJ7Z6XBU4)  
    LOW-SUBSTITUTED HYDROXYPROPYL CELLULOSE, UNSPECIFIED (UNII: 2165RE0K14)  
    MAGNESIUM STEARATE (UNII: 70097M6I30)  
    MICROCRYSTALLINE CELLULOSE (UNII: OP1R32D61U)  
    SODIUM STEARYL FUMARATE (UNII: 7CV7WJK4UI)  
    FERROSOFERRIC OXIDE (UNII: XM0M87F357)  
    FERRIC OXIDE RED (UNII: 1K09F3G675)  
    FERRIC OXIDE YELLOW (UNII: EX438O2MRT)  
    HYPROMELLOSE, UNSPECIFIED (UNII: 3NXW29V3WO)  
    HYDROXYPROPYL CELLULOSE (1600000 WAMW) (UNII: RFW2ET671P)  
    POLYETHYLENE GLYCOL, UNSPECIFIED (UNII: 3WJQ0SDW1A)  
    TALC (UNII: 7SEV7J4R1U)  
    TITANIUM DIOXIDE (UNII: 15FIX9V2JP)  
    Product Characteristics
    ColorBROWNScoreno score
    ShapeROUNDSize10mm
    FlavorImprint Code SZ;217
    Contains    
    Packaging
    #Item CodePackage DescriptionMarketing Start DateMarketing End Date
    1NDC: 0781-5770-3130 in 1 BOTTLE; Type 0: Not a Combination Product01/14/2026
    2NDC: 0781-5770-9290 in 1 BOTTLE; Type 0: Not a Combination Product01/14/2026
    3NDC: 0781-5770-101000 in 1 BOTTLE; Type 0: Not a Combination Product01/14/2026
    Marketing Information
    Marketing CategoryApplication Number or Monograph CitationMarketing Start DateMarketing End Date
    ANDAANDA20238701/14/2026
    Labeler - Sandoz Inc (005387188)

  • © 2026 FDA.report
    This site is not affiliated with or endorsed by the FDA.