These highlights do not include all the information needed to use IOMERVU safely and effectively. See full prescribing information for IOMERVU. IOMERVUTM (iomeprol) injection, for intra-arterial or intravenous use Initial U.S. Approval: 2024

IOMERVU by

Drug Labeling and Warnings

IOMERVU by is a Prescription medication manufactured, distributed, or labeled by BIPSO GmbH, BRACCO DIAGNOSTICS INC, SPIN S.p.A., BioChem Labor für biologishe und chemische Analytik GmbH. Drug facts, warnings, and ingredients follow.

Drug Details [pdf]

IOMERVU- iomeprol injection injection, solution 
BIPSO GmbH

----------

HIGHLIGHTS OF PRESCRIBING INFORMATION

These highlights do not include all the information needed to use IOMERVU safely and effectively. See full prescribing information for IOMERVU.

IOMERVUTM (iomeprol) injection, for intra-arterial or intravenous use
Initial U.S. Approval: 2024

WARNING: RISKS ASSOCIATED WITH INTRATHECAL ADMINISTRATION

Intrathecal administration, even if inadvertent, may cause death, convulsions, cerebral hemorrhage, coma, paralysis, arachnoiditis, acute renal failure, cardiac arrest, seizures, rhabdomyolysis, hyperthermia, and brain edema. IOMERVU is for intra-arterial or intravenous use only. (2.1, 5.1)

INDICATIONS AND USAGE

IOMERVU is a radiographic contrast agent indicated for:
Intra-arterial Procedures† (1.1)

  • Cerebral arteriography, includingintra-arterial digital subtraction angiography (IA-DSA), in adults and pediatric patients
  • Visceral and peripheral arteriography and aortography, including IA-DSA, in adults and pediatric patients
  • Coronary arteriography and cardiac ventriculography in adults
  • Radiographic evaluation of cardiac chambers and related arteries in pediatric patients

Intravenous Procedures† (1.2)

  • Computed tomography (CT) of the head and body in adults and pediatric patients
  • CT angiography of intracranial, visceral, and lower extremity arteries in adults and pediatric patients
  • Coronary CT angiography in adults and pediatric patients
  • CT urography in adults and pediatric patients

†Specific concentrations are recommended for each type of imaging procedure. (2.2, 2.3, 2.4, 2.5)

DOSAGE AND ADMINISTRATION

  • Individualize the volume and concentration according to the specific dosing tables accounting for factors such as age, body weight, vessel size, rate of blood flow within the vessel, and structures or areas to be examined. (2.2, 2.3, 2.4, 2.5)
  • See full prescribing information for complete dosage and administration information. (2)

DOSAGE FORMS AND STRENGTHS

Injection: 250 mg Iodine/mL, 300 mg Iodine/mL, 350 mg Iodine/mL, and 400 mg Iodine/mL in single-dose vials or bottles (3)

CONTRAINDICATIONS

None (4)

WARNINGS AND PRECAUTIONS

  • Hypersensitivity Reactions: Life-threatening or fatal reactions can occur. Always have emergency resuscitation equipment and trained personnel available. (5.2)
  • Acute Kidney Injury: Acute injury including renal failure can occur. Minimize dose and maintain adequate hydration to minimize risk. (5.3)
  • Cardiovascular Adverse Reactions: Hemodynamic disturbances including shock and cardiac arrest may occur during or after administration. (5.4)
  • Thyroid Dysfunction in Pediatric Patients 0 Years to 3 Years of Age: Individualize thyroid function monitoring based on risk factors such as prematurity. (5.8)

ADVERSE REACTIONS

Most common adverse reactions (incidence ≥0.5%) are feeling hot, headache, nausea, chest pain, back pain, and vomiting. (6.1)


To report SUSPECTED ADVERSE REACTIONS, contact Bracco Diagnostics Inc. at 1-800-257-5181 or FDA at 1-800-FDA-1088 or www.fda.gov/medwatch.

USE IN SPECIFIC POPULATIONS

Lactation: A lactating woman may pump and discard breast milk for 10 hours after IOMERVU administration. (8.2)


See 17 for PATIENT COUNSELING INFORMATION.

Revised: 11/2024

FULL PRESCRIBING INFORMATION: CONTENTS*

WARNING: RISKS ASSOCIATED WITH INTRATHECAL ADMINISTRATION

1 INDICATIONS AND USAGE

1.1 Intra-arterial Procedures†

1.2 Intravenous Procedures†

2 DOSAGE AND ADMINISTRATION

2.1 Important Dosing and Administration Information

2.2 Recommended Dosage for Intra-arterial Procedures in Adults

2.3 Recommended Dosage for Intra-arterial Procedures in Pediatric Patients

2.4 Recommended Dosage for Intravenous Procedures in Adults

2.5 Recommended Dosage for Intravenous Procedures in Pediatric Patients

3 DOSAGE FORMS AND STRENGTHS

4 CONTRAINDICATIONS

5 WARNINGS AND PRECAUTIONS

5.1 Risks Associated with Inadvertent Intrathecal Administration

5.2 Hypersensitivity Reactions

5.3 Acute Kidney Injury

5.4 Cardiovascular Adverse Reactions

5.5 Thromboembolic Events

5.6 Extravasation and Injection Site Reactions

5.7 Thyroid Storm in Patients with Hyperthyroidism

5.8 Thyroid Dysfunction in Pediatric Patients 0 Years to 3 Years of Age

5.9 Hypertensive Crisis in Patients with Pheochromocytoma

5.10 Sickle Cell Crisis in Patients with Sickle Cell Disease

5.11 Severe Cutaneous Adverse Reactions

5.12 Interference with Laboratory Tests

6 ADVERSE REACTIONS

6.1 Clinical Trials Experience

6.2 Post Marketing Experience

7 DRUG INTERACTIONS

7.1 Drug-Drug Interactions

7.2 Drug-Laboratory Test Interactions

8 USE IN SPECIFIC POPULATIONS

8.1 Pregnancy

8.2 Lactation

8.4 Pediatric Use

8.5 Geriatric Use

8.6 Renal Impairment

10 OVERDOSAGE

11 DESCRIPTION

12 CLINICAL PHARMACOLOGY

12.1 Mechanism of Action

12.2 Pharmacodynamics

12.3 Pharmacokinetics

13 NONCLINICAL TOXICOLOGY

13.1 Carcinogenesis, Mutagenesis, Impairment of Fertility

14 CLINICAL STUDIES

14.1 Intra-arterial Studies

14.2 Intravenous Studies

16 HOW SUPPLIED/STORAGE AND HANDLING

17 PATIENT COUNSELING INFORMATION

  • * Sections or subsections omitted from the full prescribing information are not listed.
  • FULL PRESCRIBING INFORMATION

    WARNING: RISKS ASSOCIATED WITH INTRATHECAL ADMINISTRATION


    Intrathecal administration, even if inadvertent, may cause death, convulsions, cerebral hemorrhage, coma, paralysis, arachnoiditis, acute renal failure, cardiac arrest, seizures, rhabdomyolysis, hyperthermia, and brain edema. IOMERVU is for intra-arterial or intravenous use only [see Dosage and Administration (2.1) and Warnings and Precautions (5.1)].

    1 INDICATIONS AND USAGE

    1.1 Intra-arterial Procedures†

    IOMERVU is indicated for:

    • Cerebral arteriography, including intra-arterial digital subtraction angiography (IA-DSA), in adults and pediatric patients
    • Visceral and peripheral arteriography and aortography, including IA-DSA, in adults and pediatric patients
    • Coronary arteriography and cardiac ventriculography in adults
    • Radiographic evaluation of cardiac chambers and related arteries in pediatric patients

    1.2 Intravenous Procedures†

    IOMERVU is indicated for:

    • Computed tomography (CT) of the head and body in adults and pediatric patients
    • CT angiography of intracranial, visceral, and lower extremity arteries in adults and pediatric patients
    • Coronary CT angiography in adults and pediatric patients
    • CT urography in adults and pediatric patients

    †Specific concentrations of IOMERVU are recommended for each type of imaging procedure [see Dosage and Administration (2.2, 2.3, 2.4, 2.5)].

    2 DOSAGE AND ADMINISTRATION

    2.1 Important Dosing and Administration Information

    • IOMERVU is for intra-arterial or intravenous use only and must not be administered intrathecally [see Warnings and Precautions (5.1)].
    • Specific concentrations of IOMERVU are recommended for each type of imaging procedure [see Dosage and Administration (2.2, 2.3, 2.4, 2.5)].
    • Individualize the volume, concentration, and injection rate of IOMERVU within the specified ranges [see Dosage and Administration (2.2, 2.3, 2.4, 2.5)]. Consider factors such as age, body weight, vessel size, rate of blood flow within the vessel, anticipated pathology, degree and extent of opacification required, structures or area to be examined, disease processes affecting the patient, and equipment and technique to be employed.
    • Hydrate patients before and after IOMERVU administration [see Warnings and Precautions (5.3)].
    • Use aseptic technique for all handling and administration of IOMERVU.
    • IOMERVU may be administered at either body temperature (37°C, 98.6°F) or room temperature (20°C to 25°C, 68°F to 77°F).
    • Visually inspect IOMERVU for particulate matter or discoloration before administration, whenever the solution and container permit. Do not administer IOMERVU if particulate matter or discoloration is observed.
    • Do not mix IOMERVU with, or inject in intravenous lines containing, other drugs or total nutritional admixtures.
    • Each single-dose container of IOMERVU injection is intended for one procedure only. Discard any unused portion.

    2.2 Recommended Dosage for Intra-arterial Procedures in Adults

    • Recommended doses of IOMERVU in adults for intra-arterial procedures are shown in Table 1.
    • Inject at rates approximately equal to the flow rate in the vessel being injected.
    Table 1. Recommended Concentrations and Volumes of IOMERVU to Administer per Single Injection into Selected Arteries for Intra-arterial Procedures in Adults
    Imaging ProcedureConcentration (mg Iodine/mL)Volume
    (mL)
    Maximum Total Dose (mL)
    Cerebral arteriography300
    • Carotid, subclavian, and vertebral arteries: 6 mL to 12 mL
    • Aortic arch: 30 mL to 50 mL
    200 mL
    Visceral and peripheral arteriography; aortography300
    • Aortography: 30 mL to 70 mL
    • Renal arteries: 10 mL to 12 mL
    • Other major branches of aorta: 20 mL to 60 mL
    200 mL
    Intra-arterial digital subtraction angiography300
    • Carotid, subclavian, and vertebral arteries: 4 mL to 12 mL
    • Aortic arch: 20 mL to 25 mL
    • Aortography: 15 mL to 40 mL
    • Renal arteries: 6 mL to 16 mL
    • Other major branches of aorta: 10 mL to 40 mL
    • Ilio-femoral runoff: 8 mL to 40 mL
    200 mL
    Coronary arteriography and cardiac ventriculography300
    • Coronary arteries: 3 mL to 7 mL
    • Cardiac ventriculography: 30 mL to 45 mL
    286 mL
    350245 mL
    400215 mL

    2.3 Recommended Dosage for Intra-arterial Procedures in Pediatric Patients

    • Recommended doses of IOMERVU in pediatric patients for intra-arterial procedures are shown in Table 2.
    • Inject at rates approximately equal to the flow rate in the vessel being injected.
    Table 2. Recommended Concentrations and Volumes per Body Weight of IOMERVU to Administer per Single Injection for Intra-arterial Procedures in Pediatric Patients
    Imaging ProcedureConcentration (mg Iodine/mL)Volume
    (mL/kg body weight)
    Maximum Total Dose (mL/kg)
    Cerebral arteriography3000.5 mL/kg to
    2 mL/kg
    • 5 mL/kg
    • Do not exceed adult maximum dose (see Table 1)
    Visceral and peripheral arteriography; aortography3000.5 mL/kg to
    2 mL/kg
    Intra-arterial digital subtraction angiography3000.3 mL/kg to
    1 mL/kg
    Radiographic evaluation of cardiac chambers and related arteries300, 350, or 4000.5 mL/kg to
    2 mL/kg

    2.4 Recommended Dosage for Intravenous Procedures in Adults

    Recommended doses of IOMERVU in adults for intravenous procedures are shown in Table 3.

    Table 3. Recommended Concentrations, Volumes, and Injection Rates of IOMERVU for Intravenous Procedures in Adults
    Imaging ProcedureConcentration
    (mg Iodine/mL)
    Volume
    (mL)
    Injection Rate3 (mL/s)
    CT of Head and Body250 or 300100 mL to 190 mL2 mL/s to 4 mL/s
    350 or 40075 mL to 150 mL
    CT Angiography1300, 350, or 40080 mL to 130 mL4 mL/s to 6 mL/s
    Coronary CT Angiography140050 mL to 90 mL4 mL/s to 6 mL/s
    CT Urography235090 mL to 120 mL2.5 mL/s

    1 The IOMERVU volume may be immediately followed by a 40 mL to 50 mL 0.9% sodium chloride injection flush at the same flow rate as the contrast volume.
    2 The IOMERVU volume may be administered either as a single bolus, or for dual-phase protocols as divided doses.
    3 The injection rate of IOMERVU should be determined according to the clinical indication and the location, size, and type of the intravenous access.

    2.5 Recommended Dosage for Intravenous Procedures in Pediatric Patients

    Recommended doses of IOMERVU in pediatric patients for intravenous procedures are shown in Table 4.

    Table 4. Recommended Concentrations, Volumes per Body Weight, and Injection Rates of IOMERVU for Intravenous Procedures in Pediatric Patients
    Imaging ProcedureConcentration (mg Iodine/mL)Volume
    (mL/kg body weight)
    Injection Rate (mL/s)*
    CT of Head and Body250 or 3001.5 mL/kg to 2.5 mL/kg1 mL/s to 2 mL/s
    350 or 4001 mL/kg to 2 mL/kg
    CT Angiography300, 350, or 4001 mL/kg to 2 mL/kg2 mL/s to 3 mL/s
    Coronary CT Angiography300 or 4001 mL/kg to 2 mL/kg2 mL/s to 3 mL/s
    CT Urography3001 mL/kg to 2 mL/kg1 mL/s to 2 mL/s

    * The injection rate of IOMERVU should be determined according to the clinical indication and the location, size, and type of the intravenous access. In neonates and patients <15 kg in whom a 24-gauge angiocatheter is the only option, an injection rate of 1 mL/s is recommended.

    3 DOSAGE FORMS AND STRENGTHS

    Injection: clear, colorless to pale yellow solution available in the following iodine concentrations and configurations:

    Concentration
    (mg Iodine/mL)
    Package SizePackage Type
    250100 mLSingle-dose bottles
    30050 mLSingle-dose vials
    100 mL, 150 mL, and 200 mLSingle-dose bottles
    35050 mLSingle-dose vials
    100 mL, 150 mL, and 200 mLSingle-dose bottles
    40050 mLSingle-dose vials
    100 mL, 150 mL, and 200 mLSingle-dose bottles

    4 CONTRAINDICATIONS

    None.

    5 WARNINGS AND PRECAUTIONS

    5.1 Risks Associated with Inadvertent Intrathecal Administration

    IOMERVU is for intra-arterial or intravenous use only and must not be administered intrathecally [see Dosage and Administration (2.1)]. Intrathecal administration, even if inadvertent, can cause death, convulsions, cerebral hemorrhage, coma, paralysis, arachnoiditis, acute renal failure, cardiac arrest, seizures, rhabdomyolysis, hyperthermia, and brain edema.

    5.2 Hypersensitivity Reactions

    IOMERVU can cause life-threatening or fatal hypersensitivity reactions including anaphylaxis. Manifestations include respiratory arrest, laryngospasm, bronchospasm, angioedema, and shock [see Adverse Reactions (6.2)]. Most severe reactions develop shortly after the start of injection (e.g., within 1 to 3 minutes), but delayed reactions can occur. There is an increased risk in patients with a history of a previous reaction to contrast agents, and known allergic disorders (i.e., bronchial asthma, drug, or food allergies) or other hypersensitivities. Premedication with antihistamines or corticosteroids to minimize possible allergic reactions does not prevent serious life-threatening reactions, but may reduce their incidence and severity.

    Obtain a history of allergy, hypersensitivity, and hypersensitivity reactions to iodinated contrast agents. Always have emergency resuscitation equipment and trained personnel available before use of IOMERVU. Monitor all patients for hypersensitivity reactions.

    5.3 Acute Kidney Injury

    Acute kidney injury, including renal failure, may occur after IOMERVU administration. Risk factors include pre-existing renal impairment, dehydration, diabetes mellitus, heart failure, advanced vascular disease, advanced age, concomitant use of nephrotoxic or diuretic medications, multiple myeloma or other paraproteinemia, and repetitive or large doses of IOMERVU.

    Use the lowest necessary dose of IOMERVU in patients with renal impairment. Adequately hydrate patients prior to and following IOMERVU administration. Do not use laxatives, diuretics, or preparatory dehydration prior to IOMERVU administration.

    5.4 Cardiovascular Adverse Reactions

    IOMERVU increases the circulatory osmotic load and may induce acute or delayed hemodynamic disturbances in patients with heart failure, severely impaired renal function, combined renal and hepatic disease, or combined renal and cardiac disease, particularly when repetitive or large doses are administered.

    Life-threatening or fatal cardiovascular reactions including hypotension, shock, and cardiac arrest have occurred with the use of IOMERVU. Most deaths occur within 10 minutes of injection, with cardiovascular disease as the main underlying factor. Cardiac decompensation, serious arrhythmias, and myocardial ischemia or infarction can occur during coronary arteriography and ventriculography.

    Based upon literature reports, deaths from the administration of iodinated contrast agents range from 6.6 per 1 million (0.00066 percent) to 1 in 10,000 patients (0.01 percent). Use the lowest necessary dose of IOMERVU in patients with heart failure and always have emergency resuscitation equipment and trained personnel available. Monitor all patients for severe cardiovascular reactions.

    5.5 Thromboembolic Events

    Serious, in some cases fatal, thromboembolic events including myocardial infarction and stroke can occur during angiographic procedures with iodinated contrast agents including IOMERVU. During these procedures, increased thrombosis and activation of the complement system can occur. Risk factors for developing thromboembolic events include length of procedure, catheter and syringe material, underlying disease state, and concomitant medications.

    To reduce risk of thromboembolic events, use meticulous angiographic techniques and minimize the length of the procedure. Avoid blood remaining in contact with syringes containing IOMERVU, which increases the risk of clotting. Avoid angiocardiography in patients with homocystinuria because of the risk of inducing thrombosis and embolism.

    5.6 Extravasation and Injection Site Reactions

    Extravasation can occur with IOMERVU administration, particularly in patients with severe arterial or venous disease. Inflammation, blistering, skin necrosis, and compartment syndrome have been reported following extravasation. In addition, injection site reactions such as pain and swelling at the injection site can also occur [see Adverse Reactions (6.1, 6.2)]. Ensure intravascular placement of catheters prior to injection. Monitor patients for extravasation and advise patients to seek medical care for progression of symptoms.

    5.7 Thyroid Storm in Patients with Hyperthyroidism

    Thyroid storm has occurred after the intravascular use of iodinated contrast agents in patients with hyperthyroidism or with an autonomously functioning thyroid nodule. Evaluate the risk in such patients before use of IOMERVU.

    5.8 Thyroid Dysfunction in Pediatric Patients 0 Years to 3 Years of Age

    Thyroid dysfunction characterized by hypothyroidism or transient thyroid suppression has been reported after both single exposure and multiple exposures to iodinated contrast agents in pediatric patients 0 years to 3 years of age.

    Younger age, very low birth weight, prematurity, underlying medical conditions affecting thyroid function, admission to neonatal or pediatric intensive care units, and congenital cardiac conditions are associated with an increased risk of hypothyroidism after iodinated contrast agent exposure. Pediatric patients with congenital cardiac conditions may be at greatest risk given that they often require high doses of contrast during invasive cardiac procedures.

    An underactive thyroid during early life may be harmful for cognitive and neurological development and may require thyroid hormone replacement therapy. After exposure to IOMERVU, individualize thyroid function monitoring based on underlying risk factors, especially in term and preterm neonates.

    5.9 Hypertensive Crisis in Patients with Pheochromocytoma

    Hypertensive crisis has occurred after the use of iodinated contrast agents in patients with pheochromocytoma. Closely monitor patients when administering IOMERVU if pheochromocytoma or catecholamine-secreting paragangliomas are suspected. Inject the minimum amount of IOMERVU necessary, assess blood pressure throughout the procedure, and have measures for treatment of a hypertensive crisis readily available.

    5.10 Sickle Cell Crisis in Patients with Sickle Cell Disease

    Iodinated contrast agents when administered intravascularly may promote sickling in individuals who are homozygous for sickle cell disease. Hydrate patients prior to and following IOMERVU administration and use IOMERVU only if the necessary imaging information cannot be obtained with alternative imaging modalities.

    5.11 Severe Cutaneous Adverse Reactions

    Severe cutaneous adverse reactions (SCAR) may develop from 1 hour to several weeks after intravascular contrast agent administration. These reactions include Stevens-Johnson syndrome and toxic epidermal necrolysis (SJS/TEN), acute generalized exanthematous pustulosis (AGEP), and drug reaction with eosinophilia and systemic symptoms (DRESS). Reaction severity may increase and time to onset may decrease with repeat administration of a contrast agent; prophylactic medications may not prevent or mitigate severe cutaneous adverse reactions. Avoid administering IOMERVU to patients with a history of a severe cutaneous adverse reaction to IOMERVU.

    5.12 Interference with Laboratory Tests

    IOMERVU can interfere with protein-bound iodine tests [see Drug Interactions (7.2)].

    6 ADVERSE REACTIONS

    The following clinically significant adverse reactions are described elsewhere in the labeling:

    • Risks Associated with Intrathecal Administration [see Warnings and Precautions (5.1)]
    • Hypersensitivity Reactions [see Warnings and Precautions (5.2)]
    • Acute Kidney Injury [see Warnings and Precautions (5.3)]
    • Cardiovascular Adverse Reactions [see Warnings and Precautions (5.4)]
    • Thromboembolic Events [see Warnings and Precautions (5.5)]
    • Extravasation and Injection Site Reactions [see Warnings and Precautions (5.6)]
    • Thyroid Dysfunction in Pediatric Patients 0 Years to 3 Years of Age [see Warnings and Precautions (5.8)]
    • Severe Cutaneous Adverse Reactions [see Warnings and Precautions (5.11)]

    6.1 Clinical Trials Experience

    Because clinical trials are conducted under widely varying conditions, adverse reaction rates observed in the clinical trials of a drug cannot be directly compared to rates in the clinical trials of another drug and may not reflect the rates observed in practice.

    Adverse Reactions in Adult Patients

    The safety of IOMERVU was evaluated in 4,621 adult patients who received 1,500 mg to 86,000 mg iodine doses of IOMERVU intra-arterially or intravenously in clinical trials. The average age was 60 years (range 18 years to 99 years), and 34% were female. The racial and ethnic distribution was 83% White, 10% Asian, 1% Black, 1% Hispanic, and 5% patients of other or unspecified groups.

    Table 5 provides a summary of the adverse reactions reported in ≥0.5% of adult patients.

    Table 5: Adverse Reactions Reported in ≥0.5% of 4,621 Adult Patients Receiving Intra-arterial or Intravenous Administration of IOMERVU in Clinical Trials
    Adverse ReactionIncidence (%)
    Feeling hot2
    Headache1.2
    Nausea1
    Chest pain0.6
    Back pain0.5
    Vomiting0.5

    The following adverse reactions were observed in <0.5% of the adult patients receiving IOMERVU:

    Blood and lymphatic system disorders: activated partial thromboplastin time prolonged, prothrombin time prolonged

    Cardiovascular disorders: ventricular fibrillation, hypertensive crisis, coronary arteriospasm, congestive cardiac failure, cardiac flutter, atrioventricular block, right bundle branch block, hypotension, arrhythmia, bradycardia, supraventricular extrasystoles, ventricular extrasystoles, increased blood pressure, flushing

    Ear and labyrinth disorders: vertigo, ear discomfort

    Eye disorder: vision blurred, periorbital edema, photopsia

    Gastrointestinal: esophageal varices hemorrhage, abdominal pain, abdominal distension, alanine aminotransferase (ALT) increased, constipation, diarrhea, dry mouth, salivary hypersecretion, oral paresthesia

    General disorders: pain, injection site reactions (pain, discomfort, or warmth), peripheral edema, chills, asthenia, malaise

    Musculoskeletal and connective tissue disorders: arthralgia, pain in jaw

    Nervous system disorders: cerebrovascular disorder, dysarthria, visual field defect, burning sensation, presyncope, dizziness, dysgeusia, paresthesia

    Psychiatric disorders: delirium, anxiety, insomnia

    Renal and urinary disorders: acute kidney injury, increased blood creatinine, urinary urgency

    Respiratory, thoracic, and mediastinal disorders: respiratory arrest, pulmonary edema, bronchospasm, dyspnea, cough, rhinitis, throat irritation or tightness, sneezing

    Skin and subcutaneous tissue disorders: urticaria, blister, purpura, ecchymosis, rash, pruritus, erythema

    Adverse Reactions in Pediatric Patients

    The safety of IOMERVU was evaluated in 184 pediatric patients who received 1,800 mg to 76,000 mg iodine doses of IOMERVU intra-arterially or intravenously in clinical trials. The average age was 6 years (range 11 days to 17 years), and 47% were female. The racial distribution was 98% White, 1% Black, and 1% patients of other or unspecified groups. The overall character, quality, and severity of adverse reactions reported in pediatric patients were similar to those reported in adult patients.

    6.2 Post Marketing Experience

    The following adverse reactions have been identified during post-approval use of IOMERVU outside the United States. Because these reactions are reported voluntarily from a population of uncertain size, it is not always possible to reliably estimate their frequency or establish a causal relationship to drug exposure.

    Blood and lymphatic system disorders: thrombocytopenia, leukopenia, leukocytosis

    Cardiovascular disorders: cardio-respiratory arrest, circulatory collapse or shock, myocardial infarction, atrial fibrillation, cyanosis, pallor

    Endocrine disorders: hyperthyroidism, hypothyroidism

    Eye disorders: transient blindness, conjunctivitis, increased lacrimation

    Gastrointestinal disorders: salivary gland enlargement, increased aspartate aminotransferase (AST), dysphagia

    General disorders and administration site conditions:injection site swelling (usually due to extravasation)

    Immune system disorders: hypersensitivity reactions including fatal anaphylaxis

    Nervous system disorders: coma, loss of consciousness, encephalopathy, transient ischemic attack, paralysis, convulsion, syncope, amnesia, somnolence

    Psychiatric disorders: confusional state

    Respiratory, thoracic, and mediastinal disorders: acute respiratory distress syndrome (ARDS), laryngeal edema, pharyngeal edema, dysphonia

    Skin and subcutaneous tissue disorders: severe reactions (Stevens-Johnson syndrome and toxic epidermal necrolysis (SJS/TEN), acute generalized exanthematous pustulosis (AGEP), drug reaction with eosinophilia and systemic symptoms (DRESS)) and mild reactions (rash, erythema, pruritus, urticaria, and skin discoloration)

    7 DRUG INTERACTIONS

    7.1 Drug-Drug Interactions

    Metformin

    Stop metformin at the time of, or prior to, IOMERVU administration in patients with an eGFR between 30 and 60 mL/min/1.73 m2; in patients with a history of hepatic impairment, alcoholism, or heart failure; or in patients who will be administered intra-arterial iodinated contrast agents. Re-evaluate eGFR 48 hours after the imaging procedure, and reinstitute metformin only after renal function is stable.

    Metformin can cause lactic acidosis in patients with renal impairment. Iodinated contrast agents appear to increase the risk of metformin-induced lactic acidosis, possibly as a result of worsening renal function.

    Radioactive Iodine

    Avoid thyroid therapy or testing using radioactive iodine for up to 6 weeks post IOMERVU. Administration of IOMERVU may interfere with thyroid uptake of radioactive iodine (I-131 and I-123) and decrease therapeutic and diagnostic efficacy.

    7.2 Drug-Laboratory Test Interactions

    Protein-Bound Iodine Test

    Do not perform a protein-bound iodine test for at least 16 days following administration of IOMERVU.

    Iodinated contrast agents, including IOMERVU, will temporarily increase protein-bound iodine in blood. However, thyroid function tests that do not depend on iodine estimations, e.g., triiodothyronine (T3) resin uptake and total or free thyroxine (T4) assays, are not affected.

    8 USE IN SPECIFIC POPULATIONS

    8.1 Pregnancy

    Risk Summary

    Available data from literature and postmarketing reports on iomeprol use in pregnant women over decades have not identified a drug-associated risk of major birth defects, miscarriage, or other adverse maternal or fetal outcomes. In animal reproduction studies, no adverse developmental outcomes were observed with intravenous administration of iomeprol to pregnant rats and rabbits at doses up to 0.45-times the maximum recommended human dose of 86,000 mg iodine. Animal studies show that iomeprol crosses the placenta (see Data).

    The background risk of major birth defects and miscarriage for the indicated population is unknown. All pregnancies have a background risk of birth defects, loss or other adverse outcomes. In the U.S. general population, the estimated background risk of major birth defects and miscarriage in clinically recognized pregnancies is 2% to 4% and 15% to 20%, respectively.

    Data

    Animal Data

    Embryo-fetal developmental toxicity studies were performed with intravenous administration of iomeprol in rats at daily doses of 600 mg, 1,500 mg, or 4,000 mg iodine/kg (0.07-, 0.17- or 0.45-fold the human equivalent dose (HED, mg/m2) using the maximum human dose of 86,000 mg iodine per administration) from gestation days (GD) 6 to 15 and in rabbits at daily doses of 300 mg, 800 mg, or 2,000 mg iodine/kg (0.07-, 0.18- or 0.45-fold the HED using the maximum human dose of 86,000 mg iodine per administration) from GD 6 to 18. Iomeprol did not result in fetal harm at the highest doses evaluated, 0.45-times the maximum recommended human dose of 86,000 mg iodine.

    A biodistribution study with a single intravenous administration of 1,000 mg iodine/kg (0.11-fold the HED using the maximum human dose of 86,000 mg iodine per administration) of radiolabeled iomeprol to pregnant rats showed that iomeprol crosses the placenta. No accumulation of radioactivity in fetal tissues was observed.

    8.2 Lactation

    Risk Summary

    There are no data on the presence of iomeprol in human milk, the effects on the breastfed infant, or the effects on milk production. Iomeprol is present in animal milk (see Data). When a drug is present in animal milk, it is likely that the drug will be present in human milk. Iodinated contrast agents are excreted unchanged in human milk in very low amounts, with poor absorption from the gastrointestinal tract of a breastfed infant. The developmental and health benefits of breastfeeding should be considered along with the mother’s clinical need for IOMERVU and any potential adverse effects on the breastfed infant from IOMERVU or from the underlying maternal condition.

    Clinical Considerations

    Interruption of breastfeeding after exposure to iodinated contrast agents is not necessary because the potential exposure of the breastfed infant to iodine is small. However, a lactating woman may consider interrupting breastfeeding and pumping and discarding breast milk for 10 hours (approximately 5 elimination half-lives) after IOMERVU administration to minimize any potential drug exposure to a breastfed infant.

    Data

    An animal study with a single intravenous administration of 500 mg iodine/kg (0.06-fold the HED using the maximum human dose of 86,000 mg iodine per administration) of radiolabeled iomeprol to lactating rats showed that iomeprol rapidly distributed into the milk.

    8.4 Pediatric Use

    Intra-arterial Use

    The safety and effectiveness of IOMERVU have been established in pediatric patients for cerebral, visceral, and peripheral arteriography, aortography including intra-arterial digital subtraction angiography, and radiographic evaluation of cardiac chambers and related arteries.

    Use of IOMERVU is supported by evidence from adequate and well-controlled studies of IOMERVU in adults, pharmacokinetic data in pediatric patients aged 3 years to 17 years, pharmacokinetic simulation in pediatric patients younger than 3 years of age, and safety data obtained in 44 pediatric patients including 29 who were < 2 years of age, 14 children (2 years to 11 years), and 1 adolescent (12 years to 17 years). In general, adverse reactions reported in pediatric patients were similar to those in adults [see Adverse Reactions (6.1), Clinical Pharmacology (12.3), and Clinical Studies (14.1)].

    Intravenous Use

    The safety and effectiveness of IOMERVU have been established in pediatric patients for CT of the head and body, CT angiography of intracranial, visceral, and lower extremity arteries, coronary CT angiography, and CT urography.

    Use of IOMERVU is supported by evidence from adequate and well-controlled studies of IOMERVU in adults, pharmacokinetic data in pediatric patients aged 3 years to 17 years, pharmacokinetic simulation in pediatric patients younger than 3 years of age, and safety data obtained in 140 pediatric patients including 22 who were < 2 years of age, 92 children (2 years to 11 years), and 26 adolescents (12 years to 17 years). In general, adverse reactions reported in pediatric patients were similar to those in adults [see Adverse Reactions (6.1), Clinical Pharmacology (12.3), and Clinical Studies (14.2)].

    Intra-arterial and Intravenous Use

    Pediatric patients at higher risk of experiencing an adverse reaction during and after administration of any contrast agent may include those with asthma, sensitivity to medication and/or allergens, cyanotic and acyanotic heart disease, heart failure, or serum creatinine greater than 1.5 mg/dL, or those less than 12 months of age. Pediatric patients with immature renal function or dehydration may be at increased risk for adverse events due to slower elimination of iodinated contrast agents [See Clinical Pharmacology (12.3)].

    Thyroid function tests indicative of thyroid dysfunction, characterized by hypothyroidism or transient thyroid suppression have been reported following iodinated contrast agent administration in pediatric patients, including term and preterm neonates. Some patients were treated for hypothyroidism. After exposure to iodinated contrast agents, individualize thyroid function monitoring in pediatric patients 0 years to 3 years of age based on underlying risk factors, especially in term and preterm neonates [See Warnings and Precautions (5.8) and Adverse Reactions (6.2)].

    8.5 Geriatric Use

    Of the total number of subjects in clinical studies of IOMERVU, 1,977 (43%) patients were 65 years and older, while 629 (14%) patients were 75 years and older. No overall differences in safety or effectiveness were observed between these patients and younger patients.

    Iomeprol is excreted by the kidneys, and the risk of adverse reactions to IOMERVU is greater in patients with renal impairment. Because elderly patients are more likely to have renal impairment, care should be taken in dose selection, and it may be useful to monitor renal function [see Warnings and Precautions (5.3) and Use in Specific Populations (8.6)].

    8.6 Renal Impairment

    Preexisting renal impairment increases the risk for acute kidney injury. Renal impairment reduces the rate of elimination of iomeprol. Iomeprol can be removed by dialysis [see Warnings and Precautions (5.3) and Clinical Pharmacology (12.3)].

    10 OVERDOSAGE

    The adverse effects of overdosage are life-threatening and affect mainly the pulmonary and cardiovascular systems. Treatment of an overdosage is directed toward the support of all vital functions and prompt institution of symptomatic therapy. Iomeprol can be removed by dialysis [see Clinical Pharmacology (12.3)].

    11 DESCRIPTION

    IOMERVU (iomeprol) injection is a tri-iodinated, non-ionic radiographic contrast agent for intra-arterial or intravenous use. It is provided as a sterile, nonpyrogenic, clear, colorless to pale yellow solution.

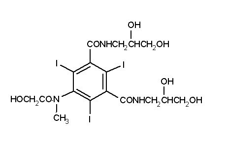
    The chemical name for iomeprol is N,N’-bis(2,3-dihydroxypropyl)-5-[(hydroxyacetyl)-methylamino]-2,4,6-tri-iodo-1,3-benzenedicarboxamide. Iomeprol has a molecular formula of C17H22I3N3O8, a molecular weight of 777.09 (iodine content of 49%), and the following structural formula:  

    iomeprol-structure

    IOMERVU injection is available in four iodine concentrations:  

    • IOMERVU 250 mg Iodine/mL: Each mL contains 510 mg iomeprol (providing 250 mg bound iodine) and 1 mg tromethamine.
    • IOMERVU 300 mg Iodine/mL: Each mL contains 612 mg iomeprol (providing 300 mg bound iodine) and 1 mg tromethamine.
    • IOMERVU 350 mg Iodine/mL: Each mL contains 714 mg iomeprol (providing 350 mg bound iodine) and 1 mg tromethamine.
    • IOMERVU 400 mg Iodine/mL: Each mL contains 816 mg iomeprol (providing 400 mg bound iodine) and 1 mg tromethamine.

    The pH of IOMERVU has been adjusted to 6.5 to 7.2 with hydrochloric acid.

    Physical characteristics are noted in Table 6. IOMERVU has osmolalities approximately 1.5 to 2.5 times that of plasma (285 mOsm/kg water) as shown in the table below and are hypertonic under conditions of use.

    Table 6. Physical Characteristics of IOMERVU
    Concentration
    (mg Iodine/mL)
    Density
    (d204 ± 0.0002)
    Osmolality
    (mOsmol/kg)
    Viscosity
    (mPa·s)
    37°C20°C37°C
    2501.2784354.92.9
    3001.3345218.14.5
    3501.39061814.57.5
    4001.44672627.512.6

    12 CLINICAL PHARMACOLOGY

    12.1 Mechanism of Action

    Iomeprol is a radiographic iodinated contrast agent that opacifies the vessels and body structures where the contrast agent is present following intravenous or intra-arterial administration, permitting radiographic visualization of the internal structures through attenuation of X-ray photons.

    In imaging of the body, iodinated contrast agents diffuse from the vessels into the extravascular space. In normal brain with an intact blood-brain barrier, the contrast agent does not diffuse into the extravascular space and contrast enhancement is generally due to the presence of contrast within the vascular space. In patients with a disrupted blood-brain barrier, the contrast agent accumulates in the extravascular space in the region of disruption.

    12.2 Pharmacodynamics

    The degree of radiographic enhancement by iomeprol is related to the iodine concentration in the tissue of interest following the administration of IOMERVU. However, the exposure-response relationships and time course of pharmacodynamic response of iomeprol have not been fully characterized.

    12.3 Pharmacokinetics

    The pharmacokinetic parameters of iomeprol are presented as mean (standard deviation, SD) unless otherwise specified.

    The maximum concentration (Cmax) and area under the concentration-time curve (AUC) are dose-proportional across the dose range of 250 mg iodine/kg to 1,250 mg iodine/kg body weight.

    Distribution
    The volume of distribution of iomeprol is 0.28 (0.05) L/kg. Iomeprol does not bind to plasma proteins.

    Elimination
    The elimination half-life of iomeprol is 1.8 (0.33) hours and the total body clearance is 0.10 (0.01) L/hr/kg.

    Metabolism
    Iomeprol does not undergo significant metabolism.

    Excretion
    Approximately 90% of the iomeprol dose is excreted unchanged in urine within 24 hours.

    Specific Populations

    Pediatric Patients

    No clinically significant differences in the pharmacokinetics of iomeprol were observed in pediatric patients aged 3 years to 17 years compared to adult patients who received IOMERVU. No clinically significant differences in Cmax and concentration of iomeprol within 5 minutes after IOMERVU administration between pediatric patients younger than 3 years of age and adults are expected based on pharmacokinetic simulations.

    Patients with Renal Impairment
    The renal clearance of iomeprol decreased by 28% in patients with mild (GFR 51 − 75 mL/min, estimated by inulin clearance (CLinulin)), 66% with moderate (GFR 26 − 50 mL/min, by CLinulin), and 84% with severe (GFR ≤ 25 mL/min, by CLinulin) renal impairment. Similarly, mean half-life increased 1.6-fold in mild, 2.9-fold in moderate, and 6.4-fold in severe renal impairment.

    Iomeprol is dialyzable. Iomeprol plasma concentrations decreased by 83% in patients with severe renal impairment who underwent hemodialysis 2 hours after a single administration of a 20,000 mg iodine dose of IOMERVU by intravenous route.

    13 NONCLINICAL TOXICOLOGY

    13.1 Carcinogenesis, Mutagenesis, Impairment of Fertility

    Carcinogenesis
    No carcinogenicity studies of iomeprol have been conducted.

    Mutagenesis
    Iomeprol did not demonstrate mutagenic or clastogenic potential in an in vitro bacterial reverse mutation assay (Ames test) or in an in vivo rat bone marrow micronucleus assay.

    Impairment of Fertility

    Iomeprol did not impair the fertility of male or female rats when intravenously administered at doses up to 0.45-times the maximum recommended human dose.

    14 CLINICAL STUDIES

    14.1 Intra-arterial Studies

    Cerebral arteriography was evaluated in one blinded read study incorporating two prospective, randomized, double-blind, multi-center clinical studies of 61 adult patients (35 male, 26 female) who were administered IOMERVU 300 mg Iodine/mL by intra-arterial route. The mean age was 52 years (range 17 years to 86 years), and 23% of patients were ≥65 years old. The mean total iodine dose administered was 29,000 mg. The racial and ethnic representations were 62% White, 15% Black, 20% Hispanic, and 3% Asian. Visualization was independently assessed as adequate or inadequate by three blinded readers. Visualization was rated as adequate in 100% of patients.

    Visceral and peripheral arteriography were evaluated in one blinded read study incorporating two prospective, randomized, double-blind, multi-center clinical studies of 60 adult patients (36 male, 24 female) who were administered IOMERVU 300 mg Iodine/mL by intra-arterial route. The mean age was 67 years (range 29 years to 95 years) and 62% of patients were ≥65 years old. The mean total iodine dose administered was 48,000 mg. The racial and ethnic representations were 92% White, 7% Black, and 1% Hispanic. Visualization was independently assessed as adequate or inadequate by three blinded readers. Visualization was rated as adequate in 98% of patients.

    Similar cerebral arteriography, visceral arteriography, and peripheral arteriography studies with digital subtraction angiography (DSA) were completed with comparable findings.

    Coronary arteriography and cardiac ventriculography were evaluated in one blinded read study incorporating four prospective, randomized, double-blind, multi-center clinical studies of 59 adult patients (41 male, 18 female) who were administered IOMERVU 400 mg Iodine/mL, and 59 adult patients (43 male, 16 female) who were administered IOMERVU 300 mg Iodine/mL by intra-arterial route. The mean age was 60 years (range 22 years to 85 years), and 42% of patients were ≥65 years old. The mean total iodine dose administered was 45,000 mg. The racial and ethnic representations were 75% White, 15% Black, 6% Hispanic, 1% Asian, and 3% other racial or ethnic groups. Visualization was independently assessed as adequate or inadequate by three blinded readers. Visualization was rated as adequate in 93% - 100% of patients for both concentrations.

    14.2 Intravenous Studies

    CT of the head and body was evaluated in one blinded read study incorporating four prospective, randomized, double-blind, multi-center clinical studies of 59 adult patients (22 male, 37 female) who were administered IOMERVU 400 mg Iodine/mL and 59 adult patients (26 male, 33 female) who were administered IOMERVU 250 mg Iodine/mL by intravenous route. The mean age was 55 years (range 19 years to 80 years), and 30% of patients were ≥65 years old. The mean total iodine dose administered was 41,000 mg. The racial and ethnic representations were 78% White, 16% Black, 4% Hispanic, 1% Asian, and 1% other racial or ethnic groups. Visualization was independently assessed as adequate or inadequate by three blinded readers. Visualization was rated as adequate in 98% - 100% of patients for both concentrations.

    CT angiography was evaluated in two prospective, single-center clinical studies enrolling a total of 262 adult patients (202 male, 60 female) with suspected or known peripheral arterial disease who were administered IOMERVU 400 mg Iodine/mL by intravenous route. The mean age was 62 years (range 36 years to 88 years). Both studies assessed the diagnostic performance for detection of significant stenosis at the arterial segment level using digital subtraction angiography as the reference standard. In the first study, 212 patients (7,392 segments, 42% positive by reference standard) were independently evaluated by three blinded readers. The reported segment-level sensitivity and specificity (95% confidence interval) for the detection of ≥70% stenosis were 99% (98%, 99%) and 97% (96%, 97%), respectively. In the second study, 50 patients (929 to 933 lesions, 34% positive by reference standard) were evaluated by two blinded readers. The reported lesion-level sensitivity and specificity (95% confidence interval) for the detection of >50% stenosis were 93% (91%, 96%) and 97% (95%, 98%), respectively, for reader 1 and 90% (87%, 93%) and 96% (94%, 97%), respectively, for reader 2.

    Coronary CT angiography was evaluated in two prospective, single-center clinical studies enrolling a total of 301 adult patients (259 male, 42 female) with suspected coronary artery disease who were administered IOMERVU 400 mg Iodine/mL by intravenous route. The mean age was 64 years. Both studies assessed the diagnostic performance for detection of ≥50% stenosis at the coronary artery segment level using invasive coronary angiography as the reference standard. In the first study, 210 patients (2,532 segments, 22% positive by reference standard) were independently evaluated by two blinded readers with discrepancies resolved by consensus. The segment-level sensitivity and specificity (95% confidence interval) were 84% (81%, 87%) and 94% (92%, 95%), respectively. In the second study, 91 patients (1,456 segments, 18% positive by reference standard) were independently evaluated by two blinded readers with discrepancies resolved by a third reader. The segment-level sensitivity and specificity (95% confidence interval) were 97% (95%, 99%) and 91% (89%, 92%), respectively.

    CT urography was evaluated in two retrospective, single-center clinical studies of 185 adult patients (130 male, 55 female) who were administered IOMERVU 350 mg Iodine/mL by intravenous route. The mean age was 55 years (range 20 years to 89 years). In the first study, two readers assessed parenchymal image quality on a 3-point scale (inadequate, diagnostic, or very good or excellent) as very good or excellent in 64% to 98% of the patients depending on scan protocol. In the second study, two blinded readers assessed visualization quality for the urinary system overall (calyces, renal pelvis, ureter, and bladder), on a scale of 0 (absence of visualization) to 5 (excellent visualization), with the mean score (SD) for reader 1 being 4.2 (1.4) and for reader 2 being 4.1 (1.5).

    16 HOW SUPPLIED/STORAGE AND HANDLING

    How Supplied

    IOMERVU (iomeprol) injection is a clear, colorless to pale yellow solution supplied in clear glass single-dose vials or bottles in the following configurations:

    Concentration
    (mg Iodine/mL)
    Packages SizePackage TypeSale UnitNDC
    250100 mLSingle-dose bottlesCarton of 100270-7013-14
    30050 mLSingle-dose vialsCarton of 100270-7016-15
    100 mLSingle-dose bottlesCarton of 100270-7016-17
    150 mLCarton of 100270-7016-18
    200 mLCarton of 100270-7016-19
    35050 mLSingle-dose vialsCarton of 100270-7017-20
    100 mLSingle-dose bottlesCarton of 100270-7017-21
    150 mLCarton of 100270-7017-24
    200 mLCarton of 100270-7017-25
    40050 mLSingle-dose vialsCarton of 100270-7018-26
    100 mLSingle-dose bottlesCarton of 100270-7018-27
    150 mLCarton of 100270-7018-28
    200 mLCarton of 100270-7018-29

    Storage and Handling

    Store at 20°C to 25°C (68°F to 77°F) [see USP Controlled Room Temperature]. Keep in original carton with the cover closed to protect from light. Do not freeze.

    17 PATIENT COUNSELING INFORMATION

    Hypersensitivity Reactions

    Advise the patient concerning the risk of hypersensitivity reactions that can occur both during and after IOMERVU administration. Advise the patient to report any signs or symptoms of hypersensitivity reactions during the procedure and to seek immediate medical attention for any signs or symptoms experienced after discharge [see Warnings and Precautions (5.2)].

    Advise patients to inform their physician if they develop a rash after receiving IOMERVU [see Warnings and Precautions (5.11)].

    Acute Kidney Injury

    Advise the patient concerning appropriate hydration to decrease the risk of kidney injury [see Warnings and Precautions (5.3)].

    Extravasation

    If extravasation occurs during injection, advise patients to seek medical care for progression of symptoms [see Warnings and Precautions (5.6)].

    Thyroid Dysfunction

    Advise parents or caregivers about the risk of developing thyroid dysfunction after IOMERVU administration. Advise parents or caregivers about when to seek medical care for their child to monitor for thyroid dysfunction [see Warnings and Precautions (5.8)].

    Lactation

    Advise a lactating woman that interruption of breastfeeding is not necessary, however, to avoid any exposure a lactating woman may consider pumping and discarding breast milk for 10 hours after IOMERVU administration [see Use in Specific Populations (8.2)].

    Manufactured for
    Bracco Diagnostic Inc.
    Princeton, NJ 08540

    Manufactured by
    BIPSO GmbH
    78224 Singen (Germany)

    Iomervu Labels

    iomervu-ia-iv-350-50ml-internal
    iomervu-ia-iv-350-100ml-internal
    iomervu-ia-iv-350-150ml-internal
    iomervu-ia-iv-350-200ml-internal
    iomervu-ia-iv-350-10X50ml-external
    iomervu-ia-iv-350-10X100ml-external
    iomervu-ia-iv-350-10X150ml-external
    iomervu-ia-iv-350-10X200ml-external
    iomervu-ia-iv-400-50ml-internal
    iomervu-ia-iv-400-100ml-internal
    iomervu-ia-iv-400-150ml-internal
    iomervu-ia-iv-400-200ml-internal
    iomervu-ia-iv-400-10X50ml-external
    iomervu-ia-iv-400-10X100ml-external
    iomervu-ia-iv-400-10X150ml-external
    iomervu-ia-iv-400-10X200ml-external
    IOMERVU 
    iomeprol injection injection, solution
    Product Information
    Product TypeHUMAN PRESCRIPTION DRUGItem Code (Source)NDC: 76381-017
    Route of AdministrationINTRA-ARTERIAL, INTRAVENOUS
    Active Ingredient/Active Moiety
    Ingredient NameBasis of StrengthStrength
    IOMEPROL (UNII: 17E17JBP8L) (IOMEPROL - UNII:17E17JBP8L) IOMEPROL714 mg  in 1 mL
    Inactive Ingredients
    Ingredient NameStrength
    TROMETHAMINE (UNII: 023C2WHX2V) 1 mg  in 1 mL
    Product Characteristics
    ColorYELLOWScore    
    ShapeSize
    FlavorImprint Code
    Contains    
    Packaging
    #Item CodePackage DescriptionMarketing Start DateMarketing End Date
    1NDC: 76381-017-2010 in 1 CASE01/01/2027
    150 mL in 1 VIAL, GLASS; Type 0: Not a Combination Product
    2NDC: 76381-017-2110 in 1 CASE01/01/2026
    2100 mL in 1 BOTTLE, GLASS; Type 0: Not a Combination Product
    3NDC: 76381-017-2410 in 1 CASE01/01/2027
    3150 mL in 1 BOTTLE, GLASS; Type 0: Not a Combination Product
    4NDC: 76381-017-2510 in 1 CASE01/01/2026
    4200 mL in 1 BOTTLE, GLASS; Type 0: Not a Combination Product
    Marketing Information
    Marketing CategoryApplication Number or Monograph CitationMarketing Start DateMarketing End Date
    NDANDA21601601/01/2026
    IOMERVU 
    iomeprol injection injection, solution
    Product Information
    Product TypeHUMAN PRESCRIPTION DRUGItem Code (Source)NDC: 76381-018
    Route of AdministrationINTRA-ARTERIAL, INTRAVENOUS
    Active Ingredient/Active Moiety
    Ingredient NameBasis of StrengthStrength
    IOMEPROL (UNII: 17E17JBP8L) (IOMEPROL - UNII:17E17JBP8L) IOMEPROL816 mg  in 1 mL
    Inactive Ingredients
    Ingredient NameStrength
    TROMETHAMINE (UNII: 023C2WHX2V) 1 mg  in 1 mL
    Product Characteristics
    ColorYELLOWScore    
    ShapeSize
    FlavorImprint Code
    Contains    
    Packaging
    #Item CodePackage DescriptionMarketing Start DateMarketing End Date
    1NDC: 76381-018-2610 in 1 CASE01/01/2027
    150 mL in 1 VIAL, GLASS; Type 0: Not a Combination Product
    2NDC: 76381-018-2710 in 1 CASE01/01/2026
    2100 mL in 1 BOTTLE, GLASS; Type 0: Not a Combination Product
    3NDC: 76381-018-2810 in 1 CASE01/01/2027
    3150 mL in 1 BOTTLE, GLASS; Type 0: Not a Combination Product
    4NDC: 76381-018-2910 in 1 CASE01/01/2026
    4200 mL in 1 BOTTLE, GLASS; Type 0: Not a Combination Product
    Marketing Information
    Marketing CategoryApplication Number or Monograph CitationMarketing Start DateMarketing End Date
    NDANDA21601601/01/2026
    Labeler - BIPSO GmbH (342104149)
    Registrant - BRACCO DIAGNOSTICS INC (849234661)
    Establishment
    NameAddressID/FEIBusiness Operations
    BIPSO GmbH342104149MANUFACTURE(76381-017, 76381-018) , ANALYSIS(76381-017, 76381-018)
    Establishment
    NameAddressID/FEIBusiness Operations
    SPIN S.p.A.434967237API MANUFACTURE(76381-017, 76381-018)
    Establishment
    NameAddressID/FEIBusiness Operations
    BioChem Labor für biologishe und chemische Analytik GmbH318354230ANALYSIS(76381-017, 76381-018)

    Revised: 2/2026
    Â

    Trademark Results [IOMERVU]

    Mark Image

    Registration | Serial
    Company
    Trademark
    Application Date
    IOMERVU
    IOMERVU
    79404602 not registered Live/Pending
    Bracco Suisse SA,
    2024-07-11

    © 2026 FDA.report
    This site is not affiliated with or endorsed by the FDA.