Tobramycin by is a Prescription medication manufactured, distributed, or labeled by Sportpharm LLC. Drug facts, warnings, and ingredients follow.
Tobramycin ophthalmic solution 0.3% is a sterile topical ophthalmic antibiotic formulation prepared specifically for topical therapy of external ophthalmic infections.
Each mL of Tobramycin ophthalmic solution USP, 0.3% contains: Active:tobramycin 0.3% (3 mg). Preservative:benzalkonium chloride 0.01% (0.1 mg). Inactives:boric acid, sodium sulfate, sodium chloride, tyloxapol, sodium hydroxide and/or sulfuric acid (to adjust pH) and water for injection. Tobramycin ophthalmic solution 0.3% has a pH range between 7.0 and 8.0 and an osmolality of 260-320 mOsm/kg.
Tobramycin is a water-soluble aminoglycoside antibiotic active against a wide variety of gram- negative and gram-positive ophthalmic pathogens.
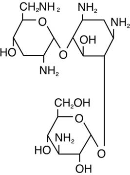
The chemical structure of tobramycin is:
Molecular Weight = 467.52 Molecular Formula:
C 18H 37N 5O 9

0-{3-amino-3-deoxy-α-D-gluco-pyranosyl (1→4) }-0-{2,6-diamino-2,3,6-trideoxy
α-D-ribohexo-pyranosyl-(1→6) }-2 deoxystreptamine.
In Vitro Data: In vitrostudies have demonstrated tobramycin is active against susceptible strains of the following microorganisms: Staphylococci, including S. aureusand S. epidermidis(coagulase-positive and coagulase-negative), including penicillin-resistant strains.
Streptococci, including some of the Group A-beta-hemolytic species, some nonhemolytic species, and some Streptococcus pneumoniae.
Pseudomonas aeruginosa, Escherichia coli, Klebsiella pneumoniae, Enterobacter aerogenes, Proteus mirabilis, Morganella morganii, most Proteus vulgarisstrains, Haemophilus influenzaeand H. aegyptius, Moraxella lacunata, Acinetobacter calcoaceticusand some Neisseriaspecies.
Bacterial susceptibility studies demonstrate that in some cases, microorganisms resistant to gentamicin retain susceptibility to tobramycin.
Tobramycin ophthalmic solution 0.3% is a topical antibiotic indicated in the treatment of external infections of the eye and its adnexa caused by susceptible bacteria. Appropriate monitoring of bacterial response to topical antibiotic therapy should accompany the use of tobramycin ophthalmic solution 0.3%. Clinical studies have shown tobramycin to be safe and effective for use in children.
FOR TOPICAL OPHTHALMIC USE. NOT FOR INJECTION INTO THE EYE. Sensitivity to topically applied aminoglycosides may occur in some patients. Severity of hypersensitivity reactions may vary from local effects to generalized reactions such as erythema, itching, urticaria, skin rash, anaphylaxis, anaphylactoid reactions, or bullous reactions. If a sensitivity reaction to tobramycin ophthalmic solution 0.3% occurs, discontinue use.
General:As with other antibiotic preparations, prolonged use may result in overgrowth of nonsusceptible organisms, including fungi. If superinfection occurs, appropriate therapy should be initiated.
Cross-sensitivity to other aminoglycoside antibiotics may occur; if hypersensitivity develops with this product, discontinue use and institute appropriate therapy. Patients should be advised not to wear contact lenses if they have signs and symptoms of bacterial ocular infection.
Information for Patients:Do not touch dropper tip to any surface, as this may contaminate the solution.
Pregnancy:Reproduction studies in 3 types of animals at doses up to 33 times the normal human systemic dose have revealed no evidence of impaired fertility or harm to the fetus due to tobramycin. There are, however, no adequate and well-controlled studies in pregnant women. Because animal studies are not always predictive of human response, this drug should be used during pregnancy only if clearly needed.
Nursing Mothers:Because of the potential for adverse reactions in nursing infants from tobramycin ophthalmic solution 0.3%, a decision should be made whether to discontinue nursing the infant or discontinue the drug, taking into account the importance of the drug to the mother.
Pediatric Use:Safety and effectiveness in pediatric patients below the age of 2 months has not been established.
Geriatric Use:No overall differences in safety or effectiveness have been observed between elderly and younger patients.
The most frequent adverse reactions to tobramycin ophthalmic solution 0.3% are hypersensitivity and localized ocular toxicity, including lid itching and swelling, and conjunctival erythema. These reactions occur in less than three of 100 patients treated with tobramycin ophthalmic solution 0.3%.
Postmarketing Experience:Additional adverse reactions identified from post-marketing use include anaphylactic reaction, Stevens-Johnson syndrome, and erythema multiforme.
The following additional adverse reactions have been reported with systemic aminoglycosides:
Neurotoxicity, ototoxicity and nephrotoxicity have occurred in patients receiving systemic aminoglycoside therapy. Aminoglycosides may aggravate muscle weakness in patients with known or suspected neuromuscular disorders, such as myasthenia gravis or Parkinson's disease, because of their potential effect on neuromuscular function.
Tobramycin ophthalmic solution USP, 0.3% is supplied as a 5 mL sterile solution, packaged in a 10 mL white LDPE bottle and natural LDPE nozzle and White HDPE cap as follows:
5 mL containing tobramycin 0.3% (3 mg/mL) NDC 85766-189-05 (relabeled from NDC: 70069-131-01).
Storage:Store at 2° to 25°C (36° to 77°F).
After opening, tobramycin ophthalmic solution 0.3% can be used until the expiration date on the bottle.
Distributed by:
Sportpharm LLC
379 Van Ness Ave 1401,
Torrance, CA 90501
Relabeled by:
Enovachem PHARMACEUTICALS
Torrance, CA 90501
| TOBRAMYCIN
tobramycin solution/ drops |
||||||||||||||||||||
|
||||||||||||||||||||
|
||||||||||||||||||||
|
||||||||||||||||||||
|
||||||||||||||||||||
|
||||||||||||||||||||
|
||||||||||||||||||||
| Labeler - Sportpharm LLC (125298538) |