hydrocortisone valerate cream by is a Prescription medication manufactured, distributed, or labeled by Bryant Ranch Prepack. Drug facts, warnings, and ingredients follow.
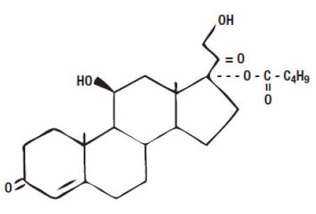
Hydrocortisone valerate cream USP, 0.2% contain hydrocortisone valerate, 11,21-dihydroxy-17-[(1-oxopentyl)oxy]-(11β)-pregn-4-ene-3,20-dione, a synthetic corticosteroid for topical dermatologic use. The corticosteroids constitute a class of primarily synthetic steroids used topically as anti-inflammatory and antipruritic agents. Chemically, hydrocortisone valerate is C26H38O6. It has the following structural formula:

Hydrocortisone valerate has a molecular weight of 446.58. It is a white, crystalline solid, soluble in ethanol and methanol, sparingly soluble in propylene glycol and insoluble in water.
Each gram of hydrocortisone valerate cream USP, 0.2% contains 2 mg hydrocortisone valerate in a hydrophilic base composed of carbomer homopolymer type C, dibasic sodium phosphate, methylparaben, sodium lauryl sulfate, polyoxyethylene (100) stearyl ether, stearyl alcohol, white petrolatum, polyoxyl 2 stearyl ether, purified water and propylene glycol.
Like other topical corticosteroids, hydrocortisone valerate has anti-inflammatory, antipruritic and vasoconstrictive properties. The mechanism of the anti-inflammatory activity of the topical steroids, in general, is unclear. However, corticosteroids are thought to act by the induction of phospholipase A2 inhibitory proteins, collectively called lipocortins. It is postulated that these proteins control the biosynthesis of potent mediators of inflammation such as prostaglandins and leukotrienes by inhibiting the release of their common precursor arachidonic acid. Arachidonic acid is released from membrane phospholipids by phospholipase A2.
Pharmacokinetics
The extent of percutaneous absorption of topical corticosteroids is determined by many factors including the vehicle and the integrity of the epidermal barrier. Occlusive dressings with hydrocortisone for up to 24 hours have not been demonstrated to increase penetration; however, occlusion of hydrocortisone for 96 hours markedly enhances penetration. Topical corticosteroids can be absorbed from normal intact skin. Inflammation and/or other disease processes in the skin may increase percutaneous absorption.
Studies performed with hydrocortisone valerate cream USP, 0.2% indicate that it is in the medium range of potency as compared with other topical corticosteroids.
Systemic absorption of topical corticosteroids can produce reversible hypothalamic-pituitary-adrenal (HPA) axis suppression with the potential for glucocorticosteroid insufficiency after withdrawal of treatment. Manifestations of Cushing's syndrome, hyperglycemia, and glucosuria can also be produced in some patients by systemic absorption of topical corticosteroids while on treatment.
Patients applying a topical steroid to a large surface area or to areas under occlusion should be evaluated periodically for evidence of HPA axis suppression. This may be done by using the ACTH stimulation, A.M. plasma cortisol, and urinary free cortisol tests.
Hydrocortisone valerate cream USP, 0.2% have produced mild, reversible adrenal suppression in adult patients when used under occlusion for 5 days, 15 grams twice a day over 25 to 60% body surface area or when used three times a day over 20 to 30% body surface area to treat psoriasis for 3-4 weeks.
If HPA axis suppression is noted, an attempt should be made to withdraw the drug, to reduce the frequency of application, or to substitute a less potent corticosteroid. Recovery of HPA axis function is generally prompt upon discontinuation of topical corticosteroids. Infrequently, signs and symptoms of glucocorticosteroid insufficiency may occur, requiring supplemental systemic corticosteroids. For information on systemic supplementation, see prescribing information for these products.
Pediatric patients may be more susceptible to systemic toxicity from equivalent doses due to their larger skin surface to body mass ratios. (See PRECAUTIONS -- Pediatric Use).
If irritation develops, hydrocortisone valerate cream USP, 0.2% should be discontinued and appropriate therapy instituted. Allergic contact dermatitis with corticosteroids is usually diagnosed by observing a failure to heal rather than noting a clinical exacerbation, as with most topical products not containing corticosteroids. Such an observation should be corroborated with appropriate diagnostic patch testing.
If concomitant skin infections are present or develop, an appropriate antifungal or antibacterial agent should be used. If a favorable response does not occur promptly, use of hydrocortisone valerate cream USP, 0.2% should be discontinued until the infection has been adequately controlled.
Patients using topical corticosteroids should receive the following information and instructions:
The following tests may be helpful in evaluating patients for HPA axis suppression:
ACTH stimulation test
A.M plasma cortisol test
Urinary free cortisol test
Long-term animal studies have not been performed to evaluate the carcinogenic potential of hydrocortisone valerate. Hydrocortisone valerate cream USP, 0.2% was shown to be non-mutagenic in the Ames-Salmonella/Microsome Plate Test. There are no studies which assess the effects of hydrocortisone valerate on fertility and general reproductiveperformance.
Teratogenic Effects
Corticosteroids have been shown to be teratogenic in laboratory animals when administered systemically at relatively low dosage levels. Some corticosteroids have been shown to be teratogenic after dermal application in laboratory animals.
Dermal embryofetal developmental studies were conducted in rabbits and rats with hydrocortisone valerate cream, 0.2%. Hydrocortisone valerate cream, 0.2%, was administered topically for 4 hours/day, rather than the preferred 24 hours/day, during the period of organogenesis in rats (gestational days 5-16) and rabbits (gestational days 6-19). Topical doses of hydrocortisone valerate up to 9 mg/kg/day (54 mg/m2/day) were administered to rats and 5 mg/kg/day (60 mg/m2/day) were administered to rabbits. In the absence of maternal toxicity, a significant increase in delayed skeletal ossification in foetuses was noted at 9 mg/kg/day [2.5× the Maximum Recommended Human Dose (MRHD) based on body surface area (BSA) comparisons] in the rat study. No malformations in the fetuses were noted at 9 mg/kg/day (2.5× MRHD based on BSA comparisons) in the rat study. Indicators of embryofetal toxicity, significant decrease in fetal weight at 2 mg/kg/day (1× MRHD based on BSA) and a significant increase in post-implantation loss and embryo resorption at 5 mg/kg (3× MRHD based on BSA), were noted in the rabbit study. A significant increase in delayed skeletal ossification in fetuses was noted at 5 mg/kg/day (3× the MRHD based on BSA comparisons) in the rabbit study. Increased numbers of fetal malformations (e.g., cleft palate, omphalocele and clubbed feet) were noted at 5 mg/kg/day (3× MRHD based on BSA comparisons) in the rabbit study.
There are no adequate and well-controlled studies in pregnant women. Hydrocortisone valerate cream USP, 0.2% should be used during pregnancy only if the potential benefit justifies the potential risk to the fetus.
Systemically administered corticosteroids appear in human milk and could suppress growth, interfere with endogenous corticosteroid production, or cause other untoward effects. It is not known whether topical administration of corticosteroids could result in sufficient systemic absorption to produce detectable quantities in human milk. Because many drugs are excreted in human milk, caution should be exercised when hydrocortisone valerate cream USP, 0.2% is administered to a nursing woman.
Safety of this product in pediatric patients has not been established. There is no data on adrenal suppression and/or growth suppression.
Because of a higher ratio of skin surface area to body mass, pediatric patients are at a greater risk than adults of HPA axis suppression and Cushing's syndrome when they are treated with topical corticosteroids. They are therefore also at a greater risk of adrenal insufficiency during and/or after withdrawal of treatment. Adverse effects including striae have been reported with inappropriate use of topical corticosteroids in infants and children (See PRECAUTIONS).
HPA axis suppression, Cushing's syndrome, linear growth retardation, delayed weight gain, and intracranial hypertension have been reported in children receiving topical corticosteroids.Manifestations of adrenal suppression in children include low plasma cortisol levels, and an absence of response to ACTH stimulation. Manifestations of intracranial hypertension include bulging fontanelles, headaches, and bilateral papilledema.
Clinical studies of hydrocortisone valerate cream USP, 0.2% did not include sufficient numbers of subjects aged 65 and over to determine whether they respond differently from younger subjects. Other reported clinical experience has not identified differences in responses between the elderly and younger patients.
Hydrocortisone Valerate Cream USP, 0.2%
The following local adverse reactions have been reported with topical corticosteroids, and they may occur more frequently with the use of occlusive dressings. These reactions are listed in an approximate decreasing order of occurrence: burning, itching, irritation, dryness, folliculitis, hypertrichosis, acneiform eruptions, hypopigmentation, perioral dermatitis, allergic contact dermatitis, maceration of the skin, secondary infection, skin atrophy, striae, and miliaria.
In controlled clinical studies involving pediatric patients one month to 2 years of age (n=29), the incidence of adverse experiences, regardless of relationship to the use of hydrocortisone valerate cream USP, 0.2%, was approximately 21%. Reported reactions included stinging (10%), eczema (7%), fungal infection (3%), and gastrointestinal disorder (3%).
In controlled clinical studies involving pediatric patients 2 to 12 years of age (n=153), the incidence of adverse experiences, regardless of relationship to the use of hydrocortisone valerate cream USP, 0.2%, was approximately 10%. Reported reactions included stinging (3%), burning skin (2%), infection (Body as a Whole) (2%). Skin irritation, eczema, pruritus, application site reaction, rash, rash maculopapular, and dry skin were all reported at incidences of approximately 1%.
To report SUSPECTED ADVERSE REACTIONS, contact Encube Ethicals Private Limited al 1-833-285-4151 or FDA at 1-800-FDA- 1088 or www.fda.gov/medwatch.
Topically applied hydrocortisone valerate cream USP, 0.2% can be absorbed in sufficient amounts to produce systemic effects (see PRECAUTIONS).
Hydrocortisone valerate cream USP, 0.2% should be applied to the affected area as a thin film two or three times daily depending on the severity of the condition.
As with other corticosteroids, therapy should be discontinued when control is achieved. If no improvement is seen within 2 weeks, reassessment of the diagnosis may be necessary.
Hydrocortisone valerate cream USP, 0.2% should not be used with occlusive dressings unless directed by a physician. Hydrocortisone valerate cream USP, 0.2% should not be applied in the diaper area if the patient requires diapers or plastic pants as these garments may constitute occlusive dressing.
Hydrocortisone Valerate Cream USP, 0.2%, is supplied in:
STORAGE
Store at 20° – 25°C (68° – 77°F) [see USP Controlled Room Temperature].
Repackaged/Relabeled by:
Bryant Ranch Prepack, Inc.
Burbank, CA 91504
| HYDROCORTISONE VALERATE CREAM
hydrocortisone valerate cream cream |
||||||||||||||||||||||||||||||||||||||||
|
||||||||||||||||||||||||||||||||||||||||
|
||||||||||||||||||||||||||||||||||||||||
|
||||||||||||||||||||||||||||||||||||||||
|
||||||||||||||||||||||||||||||||||||||||
|
||||||||||||||||||||||||||||||||||||||||
|
||||||||||||||||||||||||||||||||||||||||
| Labeler - Bryant Ranch Prepack (171714327) |
| Registrant - Bryant Ranch Prepack (171714327) |
| Establishment | |||
| Name | Address | ID/FEI | Business Operations |
|---|---|---|---|
| Bryant Ranch Prepack | 171714327 | REPACK(72162-2301) , RELABEL(72162-2301) | |