Valsartan by is a Prescription medication manufactured, distributed, or labeled by Northwind Pharmaceuticals, LLC. Drug facts, warnings, and ingredients follow.
Valsartan tablets are an angiotensin II receptor blocker (ARB) indicated for:
Hypertension, to lower blood pressure in adults and children 1 year and older. Lowering blood pressure reduces the risk of fatal and nonfatal cardiovascular events, primarily strokes and myocardial infarctions (
1.1)
Heart failure (NYHA class II to IV), to reduce hospitalization for heart failure in adults (
1.2)
Post-myocardial infarction, for the reduction of cardiovascular mortality in clinically stable patients with left ventricular failure or left ventricular dysfunction following myocardial infarction in adults (
1.3)
|
Indication
|
Starting Dose
|
Dose Range*
|
| Hypertension
Adults ( 2.2) | 80 to 160 mg once daily
| 80 to 320 mg once daily
|
| 1 to 16 years (
2.3)
| 1 mg/kg once daily
Up to 40 mg daily | 1 to 4 mg/kg once daily
Up to 160 mg daily |
| Heart Failure (
2.4)
| 40 mg twice daily
| 40 to 160 mg twice daily
|
| Post-Myocardial Infarction (
2.5)
| 20 mg twice daily
| 20 to 160 mg twice daily
|
*As tolerated by patient
Tablets (mg): 40 (scored), 80, 160, 320 ( 3)
Known hypersensitivity to any component. Do not coadminister aliskiren with valsartan tablets in patients with diabetes ( 4)
Hypertension: Most common adverse reactions are headache, dizziness, viral infection, fatigue and abdominal pain (
6.1)
Heart Failure: Most common adverse reactions are dizziness, hypotension, diarrhea, arthralgia, back pain, fatigue and hyperkalemia (
6.1)
Post-Myocardial Infarction: Most common adverse reactions which caused patients to discontinue therapy are hypotension, cough and increased blood creatinine (
6.1)
To report SUSPECTED ADVERSE REACTIONS, contact Hetero Labs Limited at 1-866-495-1995 or FDA at 1-800-FDA-1088 or www.fda.gov/medwatch.
Potassium-sparing diuretics, potassium supplements or salt substitutes may lead to increases in serum potassium, and in heart failure patients, increases in serum creatinine (
7.1)
Non-Steroidal Anti-Inflammatory Drug (NSAID) use may lead to increased risk of renal impairment and loss of antihypertensive effect (
7.2)
Dual inhibition of the Renin-Angiotensin System (RAS): Increased risk of renal impairment, hypotension, and hyperkalemia (
7.3)
Lithium: Increases in serum lithium level and lithium toxicity (
7.4)
See 17 for PATIENT COUNSELING INFORMATION.
Revised: 2/2023
Valsartan tablets are indicated for the treatment of hypertension, to lower blood pressure in adults and pediatric patients one year of age and older. Lowering blood pressure reduces the risk of fatal and nonfatal cardiovascular events, primarily strokes and myocardial infarctions. These benefits have been seen in controlled trials of antihypertensive drugs from a wide variety of pharmacologic classes, including the class to which valsartan principally belongs. There are no controlled trials in hypertensive patients demonstrating risk reduction with valsartan tablets.
Control of high blood pressure should be part of comprehensive cardiovascular risk management, including, as appropriate, lipid control, diabetes management, antithrombotic therapy, smoking cessation, exercise, and limited sodium intake. Many patients will require more than one drug to achieve blood pressure goals. For specific advice on goals and management, see published guidelines, such as those of the National High Blood Pressure Education Program’s Joint National Committee on Prevention, Detection, Evaluation, and Treatment of High Blood Pressure (JNC).
Numerous antihypertensive drugs, from a variety of pharmacologic classes and with different mechanisms of action, have been shown in randomized controlled trials to reduce cardiovascular morbidity and mortality, and it can be concluded that it is blood pressure reduction, and not some other pharmacologic property of the drugs, that is largely responsible for those benefits. The largest and most consistent cardiovascular outcome benefit has been a reduction in the risk of stroke, but reductions in myocardial infarction and cardiovascular mortality also have been seen regularly.
Elevated systolic or diastolic pressure causes increased cardiovascular risk, and the absolute risk increase per mmHg is greater at higher blood pressures, so that even modest reductions of severe hypertension can provide substantial benefit. Relative risk reduction from blood pressure reduction is similar across populations with varying absolute risk, so the absolute benefit is greater in patients who are at higher risk independent of their hypertension (e.g., patients with diabetes or hyperlipidemia), and such patients would be expected to benefit from more aggressive treatment to a lower blood pressure goal.
Some antihypertensive drugs have smaller blood pressure effects (as monotherapy) in black patients, and many antihypertensive drugs have additional approved indications and effects (e.g., on angina, heart failure, or diabetic kidney disease). These considerations may guide selection of therapy.
Valsartan tablets may be used alone or in combination with other antihypertensive agents.
Valsartan tablets are indicated to reduce the risk of hospitalization for heart failure in adult patients with heart failure (NYHA class II to IV). There is no evidence that valsartan tablets provides added benefits when it is used with an adequate dose of an angiotensin converting enzyme (ACE) inhibitor [see Clinical Studies ( 14.2)].
In clinically stable adult patients with left ventricular failure or left ventricular dysfunction following myocardial infarction, valsartan tablets are indicated to reduce the risk of cardiovascular mortality [see Clinical Studies ( 14.3)].
Valsartan tablets and oral suspension are not substitutable on a milligram-per-milligram basis. Do not combine two dosage forms to achieve the total dose. The systemic exposure to valsartan (AUC) is 60% higher with the suspension compared to tablets [see Clinical Pharmacology ( 12.3)].
Use of the
oral suspension is recommended:
in
pediatric patients aged 1 to 5 years
in
patients >5 years of age who cannot swallow tablets and
in
pediatric patients for whom the calculated dose (mg/kg) does not correspond to the available tablet strengths of valsartan.
When switching between suspension and tablets, the dose of valsartan may need to be adjusted.
Preparation of Suspension (for 160 mL of a 4 mg/mL suspension)
Add 80 mL of Ora-Plus
®* oral suspending vehicle to an amber glass bottle containing 8 valsartan 80 mg tablets and shake for a minimum of 2 minutes.
Allow the suspension to stand for a minimum of 1 hour.
After the standing time, shake the suspension for a minimum of 1 additional minute.
Add 80 mL of Ora-Sweet SF
®* oral sweetening vehicle to the bottle and shake the suspension for at least 10 seconds to disperse the ingredients.
The suspension is homogenous and can be stored for either up to 30 days at room temperature (below 30ºC/86ºF) or up to 75 days at refrigerated conditions (2ºC to 8ºC/35ºF to 46ºF) in the glass bottle with a child-resistant screw-cap closure.
Shake the bottle well (at least 10 seconds) prior to dispensing the suspension.
*Ora-Sweet SF ® and Ora-Plus ® are registered trademarks of Paddock Laboratories, Inc.
The recommended starting dose of valsartan tablets is 80 mg or 160 mg once daily when used as monotherapy in patients who are not volume-depleted. Patients requiring greater reductions may be started at the higher dose. Valsartan tablets may be used over a dose range of 80 mg to 320 mg daily, administered once a day.
The antihypertensive effect is substantially present within 2 weeks and maximal reduction is generally attained after 4 weeks. If additional antihypertensive effect is required over the starting dose range, the dose may be increased to a maximum of 320 mg or a diuretic may be added. Addition of a diuretic has a greater effect than dose increases beyond 80 mg.
Valsartan tablets may be administered with other antihypertensive agents.
The usual recommended starting dose is 1 mg/kg once daily (up to 40 mg total). A higher starting dose of 2 mg/kg may be considered in selected cases when a greater reduction of blood pressure is needed. The dosage should be adjusted according to blood pressure response and tolerability, up to a maximum dose of 4 mg/kg once daily (maximum daily dose 160 mg).
No data are available in pediatric patients either undergoing dialysis or with a glomerular filtration rate < 30 mL/min/1.73 m 2[see Use in Specific Populations ( 8.4)].
Use of valsartan tablets is not recommended in children less than 1 year of age [see Adverse Reactions ( 6.1), Pediatric Use in Specific Populations ( 8.4), Nonclinical Toxicology ( 13.2)].
The recommended starting dose of valsartan tablets is 40 mg twice daily. Uptitrate to 80 mg and 160 mg twice daily or to the highest dose tolerated by the patient. Consider reducing the dose of concomitant diuretics. The maximum daily dose administered in clinical trials is 320 mg in divided doses.
Valsartan tablets may be initiated as early as 12 hours after a myocardial infarction. The recommended starting dose of valsartan tablets is 20 mg twice daily. Patients may be uptitrated within 7 days to 40 mg twice daily, with subsequent titrations to a target maintenance dose of 160 mg twice daily, as tolerated by the patient. If symptomatic hypotension or renal dysfunction occurs, consider dosage reduction. Valsartan tablets may be given with other standard post-myocardial infarction treatment, including thrombolytics, aspirin, beta-blockers, and statins.
40 mg are yellow colored, capsule shaped, biconvex, film coated tablets, debossed with ‘H’ on one side and ‘182’ on the other side, 18 and 2 separated by a score line.
80 mg are pink colored, round shaped, biconvex, film coated tablets, debossed with ‘183’ on one side and ‘H’ on the other side.
160 mg are yellowish brown colored, oval shaped, biconvex, film coated tablets, debossed with ‘184’ on one side and 'H' on the other side.
320 mg are dark grey-violet colored, capsule shaped, biconvex, film coated tablets, debossed with ‘185’ on one side and 'H' on the other side.
Do not use in patients with known hypersensitivity to any component.
Do not coadminister aliskiren with valsartan tablets in patients with diabetes
[see Drug Interactions (
7.3)].
Valsartan can cause fetal harm when administered to a pregnant woman. Use of drugs that act on the renin-angiotensin system during the second and third trimesters of pregnancy reduces fetal renal function and increases fetal and neonatal morbidity and death. Resulting oligohydramnios can be associated with fetal lung hypoplasia and skeletal deformations. Potential neonatal adverse effects include skull hypoplasia, anuria, hypotension, renal failure, and death. When pregnancy is detected, discontinue valsartan as soon as possible [see Use in Specific Populations ( 8.1)].
Excessive hypotension was rarely seen (0.1%) in patients with uncomplicated hypertension treated with valsartan alone. In patients with an activated renin-angiotensin system, such as volume- and/or salt-depleted patients receiving high doses of diuretics, symptomatic hypotension may occur. This condition should be corrected prior to administration of valsartan, or the treatment should start under close medical supervision.
Patients with heart failure or post-myocardial infarction patients given valsartan commonly have some reduction in blood pressure, but discontinuation of therapy because of continuing symptomatic hypotension usually is not necessary when dosing instructions are followed. In controlled trials in heart failure patients, the incidence of hypotension in valsartan-treated patients was 5.5% compared to 1.8% in placebo-treated patients. In the VALsartan In Acute myocardial iNfarcTion trial (VALIANT), hypotension in post-myocardial infarction patients led to permanent discontinuation of therapy in 1.4% of valsartan-treated patients and 0.8% of captopril-treated patients.
If excessive hypotension occurs, place the patient in the supine position and, if necessary, give intravenous normal saline. A transient hypotensive response is not a contraindication to further treatment, which usually can be continued without difficulty once the blood pressure has stabilized.
Changes in renal function including acute renal failure can be caused by drugs that inhibit the renin-angiotensin system and by diuretics. Patients whose renal function may depend in part on the activity of the renin-angiotensin system (e.g., patients with renal artery stenosis, chronic kidney disease, severe congestive heart failure, or volume depletion) may be at particular risk of developing acute renal failure on valsartan. Monitor renal function periodically in these patients. Consider withholding or discontinuing therapy in patients who develop a clinically significant decrease in renal function on valsartan [see Drug Interactions ( 7)].
Some patients with heart failure have developed increases in potassium. These effects are usually minor and transient, and they are more likely to occur in patients with pre-existing renal impairment. Dosage reduction and/or discontinuation of valsartan may be required [see Adverse Reactions ( 6.1)].
Because clinical studies are conducted under widely varying conditions, adverse reaction rates observed in the clinical studies of a drug cannot be directly compared to rates in the clinical studies of another drug and may not reflect the rates observed in practice.
Adult Hypertension
Valsartan has been evaluated for safety in more than 4,000 patients, including over 400 treated for over 6 months, and more than 160 for over 1 year. Adverse reactions have generally been mild and transient in nature and have only infrequently required discontinuation of therapy. The overall incidence of adverse reactions with valsartan was similar to placebo.
The overall frequency of adverse reactions was neither dose-related nor related to gender, age, race, or regimen. Discontinuation of therapy due to side effects was required in 2.3% of valsartan patients and 2.0% of placebo patients. The most common reasons for discontinuation of therapy with valsartan were headache and dizziness.
The adverse reactions that occurred in placebo-controlled clinical trials in at least 1% of patients treated with valsartan and at a higher incidence in valsartan (n=2,316) than placebo (n=888) patients included viral infection (3% vs. 2%), fatigue (2% vs. 1%), and abdominal pain (2% vs. 1%).
In trials in which valsartan was compared to an ACE inhibitor with or without placebo, the incidence of dry cough was significantly greater in the ACE-inhibitor group (7.9%) than in the groups who received valsartan (2.6%) or placebo (1.5%). In a 129-patient trial limited to patients who had had dry cough when they had previously received ACE inhibitors, the incidences of cough in patients who received valsartan, HCTZ, or lisinopril were 20%, 19%, and 69% respectively (p < 0.001).
Dose-related orthostatic effects were seen in less than 1% of patients. An increase in the incidence of dizziness was observed in patients treated with valsartan 320 mg (8%) compared to 10 to 160 mg (2% to 4%).
Pediatric Hypertension
Valsartan has been evaluated for safety in 290 pediatric patients aged 1 to less than 6 years and over 400 patients aged 6 to 17 years. No relevant differences were identified between the adverse experience profile for pediatric patients and that previously reported for adult patients. Hyperkalemia was more frequently observed in pediatric patients aged 1 to 17 years with underlying chronic kidney disease (CKD).
Cases of elevated ALT and/or AST have been reported in pediatric patients 1 to less than 6 years of age. These events occurred in a study population which frequently had significant comorbidities; hence, a causal relationship to valsartan could not be established.
Heart Failure
In the Valsartan Heart Failure Trial (Val-HeFT), comparing valsartan in total daily doses up to 320 mg (n=2,506) to placebo (n=2,494), 10% of valsartan patients discontinued for adverse reactions vs. 7% of placebo patients.
The table shows adverse reactions in double-blind short-term heart failure trials, including the first 4 months of the Valsartan Heart Failure Trial, with an incidence of at least 2% that were more frequent in valsartan-treated patients than in placebo-treated patients. All patients received standard drug therapy for heart failure, frequently as multiple medications, which could include diuretics, digitalis, beta-blockers. About 93% of patients received concomitant ACE inhibitors.
|
|
Valsartan (n=3,282)
|
Placebo (n=2,740)
|
| Dizziness
| 17%
| 9%
|
| Hypotension
| 7%
| 2%
|
| Diarrhea
| 5%
| 4%
|
| Arthralgia
| 3%
| 2%
|
| Fatigue
| 3%
| 2%
|
| Back Pain
| 3%
| 2%
|
| Dizziness, postural
| 2%
| 1%
|
| Hyperkalemia
| 2%
| 1%
|
| Hypotension, postural
| 2%
| 1%
|
Discontinuations occurred in 0.5% of valsartan-treated patients and 0.1% of placebo patients for each of the following: elevations in creatinine and elevations in potassium.
Other adverse reactions with an incidence greater than 1% and greater than placebo included headache, nausea, renal impairment, syncope, blurred vision, upper abdominal pain and vertigo.
From the long-term data in the Valsartan Heart Failure Trial, there did not appear to be any significant adverse reactions not previously identified.
Post-Myocardial Infarction
The table shows the percentage of patients discontinued in the valsartan and captopril-treated groups in the VALsartan In Acute myocardial iNfarcTion trial (VALIANT) with a rate of at least 0.5% in either of the treatment groups.
Discontinuations due to renal dysfunction occurred in 1.1% of valsartan-treated patients and 0.8% of captopril-treated patients.
|
|
Valsartan (n=4,885)
|
Captopril (n=4,879)
|
| Discontinuation for adverse reaction
| 5.8%
| 7.7%
|
| Adverse reactions
|
|
|
| Hypotension NOS
| 1.4%
| 0.8%
|
| Cough
| 0.6%
| 2.5%
|
| Blood creatinine increased
| 0.6%
| 0.4%
|
| Rash NOS
| 0.2%
| 0.6%
|
Clinical Laboratory Test Findings
Creatinine: In heart failure trials, greater than 50% increases in creatinine were observed in 3.9% of valsartan-treated patients compared to 0.9% of placebo-treated patients. In post-myocardial infarction patients, doubling of serum creatinine was observed in 4.2% of valsartan-treated patients and 3.4% of captopril-treated patients.
Neutropenia: Neutropenia was observed in 1.9% of patients treated with valsartan and 0.8% of patients treated with placebo.
Blood Urea Nitrogen (BUN): In heart failure trials, greater than 50% increases in BUN were observed in 16.6% of valsartan-treated patients compared to 6.3% of placebo-treated patients [see Warnings and Precautions ( 5.3)].
The following additional adverse reactions have been reported in postmarketing use of valsartan. Because these reactions are reported voluntarily from a population of uncertain size, it is not always possible to reliably estimate their frequency or establish a causal relationship to drug exposure.
Hypersensitivity: Angioedema has been reported. Some of these patients previously experienced angioedema with other drugs, including ACE inhibitors. Valsartan should not be re-administered to patients who have had angioedema.
Digestive: Elevated liver enzymes and very rare reports of hepatitis
Musculoskeletal: Rhabdomyolysis
Renal: Impaired renal function, renal failure
Dermatologic: Alopecia, bullous dermatitis
Blood and Lymphatic: Thrombocytopenia
Vascular: Vasculitis
Concomitant use of valsartan with other agents that block the renin-angiotensin system, potassium-sparing diuretics (e.g., spironolactone, triamterene, amiloride), potassium supplements, salt substitutes containing potassium or other drugs that may increase potassium levels (e.g., heparin) may lead to increases in serum potassium and in heart failure patients to increases in serum creatinine. If co-medication is considered necessary, monitoring of serum potassium is advisable.
In patients who are elderly, volume-depleted (including those on diuretic therapy), or with compromised renal function, coadministration of NSAIDs, including selective COX-2 inhibitors, with angiotensin II receptor antagonists, including valsartan, may result in deterioration of renal function, including possible acute renal failure. These effects are usually reversible. Monitor renal function periodically in patients receiving valsartan and NSAID therapy.
The antihypertensive effect of angiotensin II receptor antagonists, including valsartan, may be attenuated by NSAIDs, including selective COX-2 inhibitors.
Dual blockade of the RAS with angiotensin receptor blockers, ACE inhibitors, or aliskiren is associated with increased risks of hypotension, hyperkalemia, and changes in renal function (including acute renal failure) compared to monotherapy. Most patients receiving the combination of two RAS inhibitors do not obtain any additional benefit compared to monotherapy
[see Clinical Studies (
14.3)].
In general, avoid combined use of RAS inhibitors. Closely monitor blood pressure, renal function and electrolytes in patients on valsartan and other agents that affect the RAS.
Do not coadminister aliskiren with valsartan in patients with diabetes. Avoid use of aliskiren with valsartan in patients with renal impairment (GFR < 60 mL/min).
Risk Summary
Valsartan can cause fetal harm when administered to a pregnant woman. Use of drugs that act on the renin-angiotensin system during the second and third trimesters of pregnancy reduces fetal renal function and increases fetal and neonatal morbidity and death. Most epidemiologic studies examining fetal abnormalities after exposure to antihypertensive use in the first trimester have not distinguished drugs affecting the renin-angiotensin system from other antihypertensive agents. Published reports include cases of anhydramnios and oligohydramnios in pregnant women treated with valsartan (
see Clinical Considerations).
When pregnancy is detected, consider alternative drug treatment and discontinue valsartan as soon as possible.
The estimated background risk of major birth defects and miscarriage for the indicated population is unknown. All pregnancies have a background risk of birth defect, loss, or other adverse outcomes. In the U.S. general population, the estimated background risk of major birth defects and miscarriage in clinically recognized pregnancies is 2% to 4% and 15% to 20%, respectively.
Clinical Considerations
Disease-associated maternal and/or embryo/fetal risk
Hypertension in pregnancy increases the maternal risk for pre-eclampsia, gestational diabetes, premature delivery, and delivery complications (e.g., need for cesarean section, and post-partum hemorrhage). Hypertension increases the fetal risk for intrauterine growth restriction and intrauterine death. Pregnant women with hypertension should be carefully monitored and managed accordingly.
Fetal/Neonatal Adverse Reactions
Oligohydramnios in pregnant women who use drugs affecting the renin-angiotensin system in the second and third trimesters of pregnancy can result in the following: reduced fetal renal function leading to anuria and renal failure, fetal lung hypoplasia, skeletal deformations, including skull hypoplasia, hypotension and death. In the unusual case that there is no appropriate alternative to therapy with drugs affecting the renin-angiotensin system for a particular patient, apprise the mother of the potential risk to the fetus.
In patients taking valsartan during pregnancy, perform serial ultrasound examinations to assess the intra-amniotic environment. Fetal testing may be appropriate, based on the week of gestation. Patients and physicians should be aware, however, that oligohydramnios may not appear until after the fetus has sustained irreversible injury. If oligohydramnios is observed, consider alternative drug treatment. Closely observe neonates with histories of
in utero exposure to valsartan for hypotension, oliguria, and hyperkalemia. In neonates with a history of
in utero exposure to valsartan, if oliguria or hypotension occurs, support blood pressure and renal perfusion. Exchange transfusions or dialysis may be required as a means of reversing hypotension and replacing renal function.
Data
Animal Data
No teratogenic effects were observed when valsartan was administered to pregnant mice and rats at oral doses of up to 600 mg/kg/day (9 and 18 times the maximum recommended human dose (MRHD) on a mg/m
2 basis) and to pregnant rabbits at oral doses of up to 10 mg/kg/day.
In rats, oral valsartan administered at maternally toxic doses (600 mg/kg/day) during organogenesis or late gestation and lactation, resulted in decreased fetal and pup weight, pup survival and delayed developmental milestones. In rabbits administered maternally toxic doses of 5 and 10 mg/kg/day, fetotoxicity was observed.
Risk Summary
There is no information regarding the presence of valsartan in human milk, the effects on the breastfed infant, or the effects on milk production. Valsartan is present in rat milk. Because of the potential for serious adverse reactions in breastfed infants from exposure to valsartan, advise a nursing woman that breastfeeding is not recommended during treatment with valsartan.
Data
Valsartan was detected in the milk of lactating rats 15 minutes after oral administration of a 3 mg/kg dose.
The antihypertensive effects of valsartan have been evaluated in 5 clinical studies in pediatric patients from 1 to 16 years of age [see Clinical Studies ( 14.1)]. The pharmacokinetics of valsartan have been evaluated in pediatric patients 1 to 16 years of age [see Clinical Pharmacology ( 12.3)]. The adverse experience profile of valsartan was similar to that described for adults [see Adverse Reactions ( 6.1)].
In children and adolescents with hypertension where underlying renal abnormalities may be more common, renal function and serum potassium should be closely monitored as clinically indicated.
Use of valsartan is not recommended in children less than 1 year of age. [see Nonclinical Toxicology ( 13.2)]. It is not known whether post-natal use of valsartan, before maturation of renal function is complete, has a long-term deleterious effect on the kidney.
No data are available in pediatric patients either undergoing dialysis or with a glomerular filtration rate less than 30 mL/min/1.73 m 2.
In the controlled clinical trials of valsartan, 1,214 (36.2%) hypertensive patients treated with valsartan were ≥ 65 years and 265 (7.9%) were ≥ 75 years. No overall difference in the efficacy or safety of valsartan was observed in this patient population, but greater sensitivity of some older individuals cannot be ruled out. Exposure [measured by area under the curve (AUC)] to valsartan is higher by 70% in the elderly than in the young, however no dosage adjustment is necessary [see Clinical Pharmacology ( 12.3)].
Of the 2,511 patients with heart failure randomized to valsartan in the Valsartan Heart Failure Trial, 45% (1,141) were 65 years of age or older. In the VALsartan In Acute myocardial iNfarcTion trial (VALIANT), 53% (2,596) of the 4,909 patients treated with valsartan and 51% (2,515) of the 4,885 patients treated with valsartan + captopril were 65 years of age or older. There were no notable differences in efficacy or safety between older and younger patients in either trial.
Safety and effectiveness of valsartan in patients with severe renal impairment (glomerular filtration rate less than 30 mL/min/1.73 m 2) have not been established. No dose adjustment is required in patients with mild (glomerular filtration rate 60 to 90 mL/min/1.73 m 2) or moderate (glomerular filtration rate 30 to 60 mL/min/1.73 m 2) renal impairment.
Limited data are available related to overdosage in humans. The most likely manifestations of overdosage would be hypotension and tachycardia; bradycardia could occur from parasympathetic (vagal) stimulation. Depressed level of consciousness, circulatory collapse and shock have been reported. If symptomatic hypotension should occur, institute supportive treatment.
Valsartan is not removed from the plasma by hemodialysis.
Valsartan was without grossly observable adverse effects at single oral doses up to 2000 mg/kg in rats and up to 1000 mg/kg in marmosets, except for salivation and diarrhea in the rat and vomiting in the marmoset at the highest dose (60 and 31 times, respectively, the MRHD dose on a mg/m 2 basis) (Calculations assume an oral dose of 320 mg/day and a 60-kg patient).
Valsartan is a nonpeptide, orally active, and specific angiotensin II receptor blocker acting on the AT 1 receptor subtype.
Valsartan is chemically described as L-valine, N-(1-oxopentyl)- N-[[2′-(1 H-tetrazol-5-yl) [1,1′-biphenyl]-4-yl]methyl]-. Its empirical formula is C 24H 29N 5O 3, its molecular weight is 435.52, and its structural formula is

Valsartan, USP is a white to an off-white powder. It is soluble in ethanol and methanol and insoluble in water.
Valsartan is available as tablets for oral administration, containing 40 mg, 80 mg, 160 mg or 320 mg of valsartan USP. The inactive ingredients of the tablets are croscarmellose sodium, hypromellose, magnesium stearate, mannitol, microcrystalline cellulose, polyethylene glycol, povidone, and titanium dioxide. In addition to this 40 mg contains iron oxide yellow, 80 mg contains iron oxide red, 160 mg contains iron oxides (yellow and red) and 320 mg contains iron oxides (yellow, red and black). Meets USP dissolution test 2.
Angiotensin II is formed from angiotensin I in a reaction catalyzed by angiotensin-converting enzyme (ACE, kininase II). Angiotensin II is the principal pressor agent of the renin-angiotensin system, with effects that include vasoconstriction, stimulation of synthesis and release of aldosterone, cardiac stimulation, and renal reabsorption of sodium. Valsartan blocks the vasoconstrictor and aldosterone-secreting effects of angiotensin II by selectively blocking the binding of angiotensin II to the AT1 receptor in many tissues, such as vascular smooth muscle and the adrenal gland. Its action is therefore independent of the pathways for angiotensin II synthesis.
There is also an AT 2 receptor found in many tissues, but AT 2 is not known to be associated with cardiovascular homeostasis. Valsartan has much greater affinity (about 20,000-fold) for the AT 1 receptor than for the AT 2 receptor. The increased plasma levels of angiotensin II following AT 1 receptor blockade with valsartan may stimulate the unblocked AT 2 receptor. The primary metabolite of valsartan is essentially inactive with an affinity for the AT 1 receptor about one-200 th (1/200 th) that of valsartan itself.
Blockade of the renin-angiotensin system with ACE inhibitors, which inhibit the biosynthesis of angiotensin II from angiotensin I, is widely used in the treatment of hypertension. ACE inhibitors also inhibit the degradation of bradykinin, a reaction also catalyzed by ACE. Because valsartan does not inhibit ACE (kininase II), it does not affect the response to bradykinin. Whether this difference has clinical relevance is not yet known. Valsartan does not bind to or block other hormone receptors or ion channels known to be important in cardiovascular regulation.
Blockade of the angiotensin II receptor inhibits the negative regulatory feedback of angiotensin II on renin secretion, but the resulting increased plasma renin activity and angiotensin II circulating levels do not overcome the effect of valsartan on blood pressure.
Valsartan inhibits the pressor effect of angiotensin II infusions. An oral dose of 80 mg inhibits the pressor effect by about 80% at peak with approximately 30% inhibition persisting for 24 hours. No information on the effect of larger doses is available.
Removal of the negative feedback of angiotensin II causes a 2- to 3-fold rise in plasma renin and consequent rise in angiotensin II plasma concentration in hypertensive patients. Minimal decreases in plasma aldosterone were observed after administration of valsartan; very little effect on serum potassium was observed.
In multiple-dose studies in hypertensive patients with stable renal insufficiency and patients with renovascular hypertension, valsartan had no clinically significant effects on glomerular filtration rate, filtration fraction, creatinine clearance, or renal plasma flow.
In multiple-dose studies in hypertensive patients, valsartan had no notable effects on total cholesterol, fasting triglycerides, fasting serum glucose, or uric acid.
Absorption
In healthy volunteers, valsartan peak plasma concentration is reached 2 to 4 hours after dosing. Valsartan shows bi-exponential decay kinetics following intravenous administration, with an average elimination half-life of about 6 hours. Absolute bioavailability for valsartan is about 25% (range 10% to 35%). The bioavailability of the suspension
[see Dosage and Administration (
2.2)]
is 1.6 times as great as with the tablet. AUC and C
max values of valsartan increase approximately linearly with increasing dose over the clinical dosing range (80 to 320 mg). Valsartan does not accumulate appreciably in plasma following repeated administration of 200 mg once daily.
In heart failure patients, the average time to peak plasma concentration and elimination half-life of valsartan are similar to those observed in healthy volunteers. The average accumulation factor is about 1.7 in heart failure patients following repeated administration of 160 mg twice daily. AUC and C max values of valsartan increase linearly and are almost proportional with increasing dose from 40 to 160 mg twice a day.
Effect of Food
With the tablet, food decreases the exposure (as measured by AUC) to valsartan by about 40% and peak plasma concentration (C
max) by about 50%. Valsartan can be administered with or without food.
Distribution:
The steady state volume of distribution of valsartan after intravenous administration is small (17 L), indicating that valsartan does not distribute into tissues extensively. Valsartan is highly bound to serum proteins (95%), mainly serum albumin.
Metabolism:
The primary metabolite, accounting for about 9% of dose, is valeryl 4-hydroxy valsartan
. In vitro metabolism studies involving recombinant CYP 450 enzymes indicated that the CYP 2C9 isoenzyme is responsible for the formation of valeryl-4-hydroxy valsartan. Valsartan does not inhibit CYP 450 isozymes at clinically relevant concentrations. CYP 450 mediated drug interaction between valsartan and coadministered drugs are unlikely because of the low extent of metabolism.
Excretion
Valsartan, when administered as an oral solution, is primarily recovered in feces (about 83% of dose) and urine (about 13% of dose). The recovery is mainly as unchanged drug, with only about 20% of dose recovered as metabolites.
Following intravenous administration, plasma clearance of valsartan is about 2 L/h and its renal clearance is 0.62 L/h (about 30% of total clearance).
The apparent clearance of valsartan following oral administration is approximately 4.5 L/h in heart failure patients. Age does not affect the apparent clearance in heart failure patients.
Specific Populations:
Geriatric: Exposure (measured by AUC) to valsartan is higher by 70% and the half-life is longer by 35% in the elderly than in the young
[see Use in Specific Populations (
8.5)].
Pediatric: In a study of pediatric hypertensive patients (n=26, 1 to 16 years of age) given single doses of a suspension of valsartan (mean: 0.9 to 2 mg/kg), the clearance (L/h/kg) of valsartan for children was similar to that of adults receiving the same formulation. Valsartan pharmacokinetics have not been investigated in pediatric patients less than 1 year of age.
Gender: Pharmacokinetics of valsartan does not differ significantly between males and females.
Renal Insufficiency: There is no apparent correlation between renal function (measured by creatinine clearance) and exposure (measured by AUC) to valsartan in patients with different degrees of renal impairment (down to creatinine clearance of 10 mL/min). Valsartan is not removed from the plasma by hemodialysis [see Use in Specific Populations ( 8.6)].
Hepatic Insufficiency: On average, patients with mild-to-moderate chronic liver disease have twice the exposure (measured by AUC values) to valsartan of healthy volunteers (matched by age, sex, and weight) [see Use in Specific Populations ( 8.7)].
Drug Interaction Studies
No clinically significant pharmacokinetic interactions were observed when valsartan was coadministered with amlodipine, atenolol, cimetidine, digoxin, furosemide, glyburide, hydrochlorothiazide, or indomethacin. The valsartan-atenolol combination was more antihypertensive than either component, but it did not lower the heart rate more than atenolol alone.
Coadministration of valsartan and warfarin did not change the pharmacokinetics of valsartan or the time-course of the anticoagulant properties of warfarin.
Transporters: The results from an
in vitro study with human liver tissue indicate that valsartan is a substrate of the hepatic uptake transporter OATP1B1 and the hepatic efflux transporter MRP2. Coadministration of inhibitors of the uptake transporter (rifampin, cyclosporine) or efflux transporter (ritonavir) may increase the systemic exposure to valsartan.
There was no evidence of carcinogenicity when valsartan was administered in the diet to mice and rats for up to 2 years at doses up to 160 and 200 mg/kg/day, respectively. These doses in mice and rats are about 2.6 and 6 times, respectively, the MRHD on a mg/m 2 basis (Calculations assume an oral dose of 320 mg/day and a 60-kg patient).
Mutagenicity assays did not reveal any valsartan-related effects at either the gene or chromosome level. These assays included bacterial mutagenicity tests with Salmonella (Ames) and E coli; a gene mutation test with Chinese hamster V79 cells; a cytogenetic test with Chinese hamster ovary cells; and a rat micronucleus test.
Valsartan had no adverse effects on the reproductive performance of male or female rats at oral doses up to 200 mg/kg/day. This dose is 6 times the MRHD on a mg/m 2 basis (Calculations assume an oral dose of 320 mg/day and a 60-kg patient).
Daily oral dosing of neonatal/juvenile rats with valsartan at doses as low as 1 mg/kg/day (about 10% of the maximum recommended pediatric dose on a mg/m 2 basis) from postnatal day 7 to postnatal day 70 produced persistent, irreversible kidney damage. These kidney effects in neonatal rats represent expected exaggerated pharmacological effects that are observed if rats are treated during the first 13 days of life. This period coincides with 36 weeks of gestation in humans, which could occasionally extend up to 44 weeks after conception in humans. In humans, nephrogenesis is thought to be complete around birth; however, maturation of other aspects of kidney function (such as glomerular filtration and tubular function) may continue until approximately 2 years of age. It is unknown whether post-natal use of valsartan before maturation of renal function is complete has long-term deleterious effects on the kidney [see Use in Specific Populations ( 8.4)].
Adult Hypertension
The antihypertensive effects of valsartan were demonstrated principally in 7 placebo-controlled, 4- to 12-week trials (1 in patients over 65 years) of dosages from 10 to 320 mg/day in patients with baseline diastolic blood pressures of 95 to 115 mmHg. The studies allowed comparison of once-daily and twice-daily regimens of 160 mg/day; comparison of peak and trough effects; comparison (in pooled data) of response by gender, age, and race; and evaluation of incremental effects of hydrochlorothiazide.
Administration of valsartan to patients with essential hypertension results in a significant reduction of sitting, supine, and standing systolic and diastolic blood pressure, usually with little or no orthostatic change.
In most patients, after administration of a single oral dose, onset of antihypertensive activity occurs at approximately 2 hours, and maximum reduction of blood pressure is achieved within 6 hours. The antihypertensive effect persists for 24 hours after dosing, but there is a decrease from peak effect at lower doses (40 mg) presumably reflecting loss of inhibition of angiotensin II. At higher doses, however (160 mg), there is little difference in peak and trough effect. During repeated dosing, the reduction in blood pressure with any dose is substantially present within 2 weeks, and maximal reduction is generally attained after 4 weeks. In long-term follow-up studies (without placebo control), the effect of valsartan appeared to be maintained for up to 2 years. The antihypertensive effect is independent of age, gender or race. The latter finding regarding race is based on pooled data and should be viewed with caution, because antihypertensive drugs that affect the renin-angiotensin system (that is, ACE inhibitors and angiotensin-II blockers) have generally been found to be less effective in low-renin hypertensives (frequently blacks) than in high-renin hypertensives (frequently whites). In pooled, randomized, controlled trials of valsartan that included a total of 140 blacks and 830 whites, valsartan and an ACE-inhibitor control were generally at least as effective in blacks as whites. The explanation for this difference from previous findings is unclear.
Abrupt withdrawal of valsartan has not been associated with a rapid increase in blood pressure.
The blood pressure-lowering effect of valsartan and thiazide-type diuretics are approximately additive.
The 7 studies of valsartan monotherapy included over 2,000 patients randomized to various doses of valsartan and about 800 patients randomized to placebo. Doses below 80 mg were not consistently distinguished from those of placebo at trough, but doses of 80, 160 and 320 mg produced dose-related decreases in systolic and diastolic blood pressure, with the difference from placebo of approximately 6 to 9/3 to 5 mmHg at 80 to 160 mg and 9/6 mmHg at 320 mg. In a controlled trial the addition of HCTZ to valsartan 80 mg resulted in additional lowering of systolic and diastolic blood pressure by approximately 6/3 and 12/5 mmHg for 12.5 and 25 mg of HCTZ, respectively, compared to valsartan 80 mg alone.
Patients with an inadequate response to 80 mg once daily were titrated to either 160 mg once daily or 80 mg twice daily, which resulted in a similar response in both groups.
In controlled trials, the antihypertensive effect of once-daily valsartan 80 mg was similar to that of once-daily enalapril 20 mg or once-daily lisinopril 10 mg.
There are no trials of valsartan demonstrating reductions in cardiovascular risk in patients with hypertension, but at least one pharmacologically similar drug has demonstrated such benefits.
There was essentially no change in heart rate in valsartan-treated patients in controlled trials.
Pediatric Hypertension
Children Between 1 to Less Than 6 Years of Age
The antihypertensive effect of valsartan in 290 children aged between 1 to less than 6 years of age has been evaluated in three randomized, double-blind clinical studies. In the first study in 90 patients, patients who weighed less than 18 kg received 5, 20 or 40 mg of valsartan daily (low, medium and high doses), and patients who weighed greater than or equal to 18 kg received 10, 40, and 80 mg of valsartan daily (low, medium and high doses). At the end of 2 weeks, the three dose levels of valsartan (low, medium and high) reduced systolic blood pressure from the baseline by 8.4, 8.3, and 8.6 mmHg, respectively, but a dose response could not be demonstrated. In the second study of 74 patients, higher doses (1 mg/kg and 4 mg/kg daily) of valsartan were associated with numerically greater blood pressure reductions than the lowest dose (0.25 mg/kg) at the end of 6-¬ weeks treatment. The third study was a 6 week, randomized double-blind study to evaluate the dose response of valsartan in 126 children 1 to 5 years of age with hypertension, with or without chronic kidney disease (CKD) randomized to receive either valsartan 0.25 mg/kg or 4 mg/kg daily. At the end of 6 weeks, dose dependent reductions in mean systolic blood pressure (MSBP) were observed. The reduction in MSBP was 8.5 mmHg with valsartan 4 mg/kg and 4.1 mmHg with valsartan 0.25 mg/kg. Similarly, the CKD subgroup showed reductions in MSBP with valsartan 4 mg/kg compared to 0.25 mg/kg (9.2 mmHg vs 1.2 mmHg).
Children Between 6 to 16 Years of Age
In a clinical study involving 261 hypertensive pediatric patients 6 to 16 years of age, patients who weighed less than 35 kg received 10, 40 or 80 mg of valsartan daily (low, medium and high doses), and patients who weighed greater than or equal to 35 kg received 20, 80, and 160 mg of valsartan daily (low, medium and high doses). Renal and urinary disorders, and essential hypertension with or without obesity were the most common underlying causes of hypertension in children enrolled in this study. At the end of 2 weeks, valsartan reduced both systolic and diastolic blood pressure in a dose-dependent manner. Overall, the three dose levels of valsartan (low, medium and high) significantly reduced systolic blood pressure by 8, 10, and 12 mm Hg from the baseline, respectively. Patients were re-randomized to either continue receiving the same dose of valsartan or were switched to placebo. In patients who continued to receive the medium and high doses of valsartan, systolic blood pressure at trough was 4 and 7 mm Hg lower than patients who received the placebo treatment. In patients receiving the low dose of valsartan, systolic blood pressure at trough was similar to that of patients who received the placebo treatment. Overall, the dose-dependent antihypertensive effect of valsartan was consistent across all the demographic subgroups.
The Valsartan Heart Failure Trial (Val-HeFT) was a multinational, double-blind study in which 5,010 patients with NYHA class II (62%) to IV (2%) heart failure and LVEF less than 40%, on baseline therapy chosen by their physicians, were randomized to placebo or valsartan (titrated from 40 mg twice daily to the highest tolerated dose or 160 mg twice daily) and followed for a mean of about 2 years. Although Val-HeFT’s primary goal was to examine the effect of valsartan when added to an ACE inhibitor, about 7% were not receiving an ACE inhibitor. Other background therapy included diuretics (86%), digoxin (67%), and beta-blockers (36%). The population studied was 80% male, 46% 65 years or older and 89% Caucasian. At the end of the trial, patients in the valsartan group had a blood pressure that was 4 mmHg systolic and 2 mmHg diastolic lower than the placebo group. There were two primary end points, both assessed as time to first event: all-cause mortality and heart failure morbidity, the latter defined as all-cause mortality, sudden death with resuscitation, hospitalization for heart failure, and the need for intravenous inotropic or vasodilatory drugs for at least 4 hours. These results are summarized in the following table.
|
|
Placebo
(N=2,499) |
Valsartan
(N=2,511) |
Hazard Ratio
(95% CI*) |
Nominal
p-value |
| All-cause mortality
| 484
(19.4%) | 495
(19.7%) | 1.02
(0.90-1.15) | 0.8
|
| HF morbidity
| 801
(32.1%) | 723
(28.8%) | 0.87
(0.79-0.97) | 0.009
|
| *CI = Confidence Interval
|
||||
Although the overall morbidity result favored valsartan, this result was largely driven by the 7% of patients not receiving an ACE inhibitor, as shown in the following table.
|
|
Without ACE Inhibitor
|
With ACE Inhibitor
|
||
|
|
Placebo
(N=181) |
Valsartan
(N=185) |
Placebo
(N=2,318) |
Valsartan
(N=2,326) |
| Events (%)
| 77 (42.5%)
| 46 (24.9%)
| 724 (31.2%)
| 677 (29.1%)
|
| Hazard ratio (95% CI)
| 0.51 (0.35, 0.73)
| 0.92 (0.82, 1.02)
|
||
| p-value
| 0.0002
| 0.0965
|
||
The modest favorable trend in the group receiving an ACE inhibitor was largely driven by the patients receiving less than the recommended dose of ACE inhibitor. Thus, there is little evidence of further clinical benefit when valsartan is added to an adequate dose of ACE inhibitor.
Secondary end points in the subgroup not receiving ACE inhibitors were as follows.
|
|
Placebo
(N=181) |
Valsartan
(N=185) |
Hazard Ratio
(95% CI) |
| Components of HF morbidity
|
|
|
|
| All-cause mortality
| 49 (27.1%)
| 32 (17.3%)
| 0.59 (0.37, 0.91)
|
| Sudden death with resuscitation
| 2 (1.1%)
| 1 (0.5%)
| 0.47 (0.04, 5.20)
|
| CHF therapy
| 1 (0.6%)
| 0 (0.0%)
| –
|
| CHF hospitalization
| 48 (26.5%)
| 24 (13.0%)
| 0.43 (0.27, 0.71)
|
| Cardiovascular mortality
| 40 (22.1%)
| 29 (15.7%)
| 0.65 (0.40, 1.05)
|
| Non-fatal morbidity
| 49 (27.1%)
| 24 (13.0%)
| 0.42 (0.26, 0.69)
|
In patients not receiving an ACE inhibitor, valsartan-treated patients had an increase in ejection fraction and reduction in left ventricular internal diastolic diameter (LVIDD).
Effects were generally consistent across subgroups defined by age and gender for the population of patients not receiving an ACE inhibitor. The number of black patients was small and does not permit a meaningful assessment in this subset of patients.
The VALsartan In Acute myocardial iNfarcTion trial (VALIANT) was a randomized, controlled, multinational, double-blind study in 14,703 patients with acute myocardial infarction and either heart failure (signs, symptoms or radiological evidence) or left ventricular systolic dysfunction (ejection fraction ≤ 40% by radionuclide ventriculography or ≤ 35% by echocardiography or ventricular contrast angiography). Patients were randomized within 12 hours to 10 days after the onset of myocardial infarction symptoms to one of three treatment groups: valsartan (titrated from 20 or 40 mg twice daily to the highest tolerated dose up to a maximum of 160 mg twice daily), the ACE inhibitor, captopril (titrated from 6.25 mg three times daily to the highest tolerated dose up to a maximum of 50 mg three times daily), or the combination of valsartan plus captopril. In the combination group, the dose of valsartan was titrated from 20 mg twice daily to the highest tolerated dose up to a maximum of 80 mg twice daily; the dose of captopril was the same as for monotherapy. The population studied was 69% male, 94% Caucasian, and 53% were 65 years of age or older. Baseline therapy included aspirin (91%), beta-blockers (70%), ACE inhibitors (40%), thrombolytics (35%) and statins (34%). The mean treatment duration was 2 years. The mean daily dose of valsartan in the monotherapy group was 217 mg.
The primary endpoint was time to all-cause mortality. Secondary endpoints included (1) time to cardiovascular (CV) mortality, and (2) time to the first event of cardiovascular mortality, reinfarction, or hospitalization for heart failure. The results are summarized in the following table.
|
Valsartan vs. Captopril |
Valsartan + Captopril vs. Captopril |
|||||
|
|
(N=4,909) |
(N=4,909) |
(N=4,885) |
(N=4,909) |
||
|
|
No. of Deaths Valsartan/Captopril |
Hazard Ratio CI |
p-value |
No. of Deaths Comb/Captopril |
Hazard Ratio CI |
p-value |
| All-cause mortality | 979 (19.9%)
/958 (19.5%) | 1.001
(0.902, 1.111) | 0.98 | 941 (19.3%)
/958 (19.5%) | 0.984
(0.886, 1.093) | 0.73 |
| CV mortality | 827 (16.8%)
/830 (16.9%) | 0.976
(0.875, 1.090) | ||||
| CV mortality, hospitalization for HF, and recurrent non-fatal MI | 1,529 (31.1%)
/1,567 (31.9%) | 0.955
(0.881, 1.035) | ||||
There was no difference in overall mortality among the three treatment groups. There was thus no evidence that combining the ACE inhibitor captopril and the angiotensin II blocker valsartan was of value.
The data were assessed to see whether the effectiveness of valsartan could be demonstrated by showing in a non-inferiority analysis that it preserved a fraction of the effect of captopril, a drug with a demonstrated survival effect in this setting. A conservative estimate of the effect of captopril (based on a pooled analysis of 3 post-infarction studies of captopril and 2 other ACE inhibitors) was a 14% to 16% reduction in mortality compared to placebo. Valsartan would be considered effective if it preserved a meaningful fraction of that effect and unequivocally preserved some of that effect. As shown in the table, the upper bound of the CI for the hazard ratio (valsartan/captopril) for overall or CV mortality is 1.09 to 1.11, a difference of about 9% to 11%, thus making it unlikely that valsartan has less than about half of the estimated effect of captopril and clearly demonstrating an effect of valsartan. The other secondary endpoints were consistent with this conclusion.
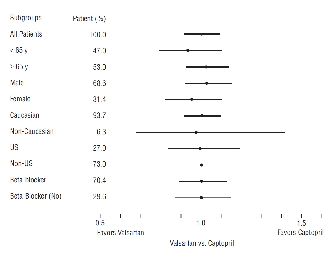
Effects on Mortality Amongst Subgroups in VALIANT

There were no clear differences in all-cause mortality based on age, gender, race, or baseline therapies, as shown in the figure above.
Valsartan is available as tablets containing valsartan160 mg. All strengths are packaged in bottles and unit dose blister packages as described below.
Valsartan Tablets USP, 160 mg are yellowish brown colored, oval shaped, biconvex, film coated tablets, debossed with ‘184’ on one side and ‘H’ on the other side. They are supplied as
Bottle of 30 Tablets NDC: 51655-834-52
Store at 20° to 25°C (68° to 77°F) [see USP Controlled Room Temperature].
Protect from moisture.
Dispense in tight container (USP).
Advise the patient to read the FDA-approved patient labeling (Patient Information).
Pregnancy: Advise female patients of childbearing age about the consequences of exposure to valsartan tablets during pregnancy. Discuss treatment options with women planning to become pregnant. Ask patients to report pregnancies to their healthcare provider as soon as possible [see Warnings and Precautions ( 5.1), Use in Specific Populations ( 8.1)].
Lactation: Advise women not to breastfeed during treatment with valsartan tablets [see Use in Specific Populations ( 8.2)].
Symptomatic Hypotension: Advise patients that lightheadedness can occur, especially during the first days of therapy, and that it should be reported to their healthcare provider. Tell patients that if syncope occurs to discontinue valsartan tablets until the physician has been consulted. Caution all patients that inadequate fluid intake, excessive perspiration, diarrhea, or vomiting can lead to an excessive fall in blood pressure, with the same consequences of lightheadedness and possible syncope [see Warnings and Precautions ( 5.2)].
Hyperkalemia: Advise patients not to use salt substitutes without consulting their healthcare provider [see Drug Interactions ( 7.1)].
Manufactured for:
Camber Pharmaceuticals, Inc.
Piscataway, NJ 08854
By: HETERO
TM
Hetero Labs Limited, Unit V, Polepally,
Jadcherla, Mahabubnagar-509 301, India.
Revised: 07/2021
Valsartan Tablets, USP
(val sar’ tan)
What is the most important information I should know about valsartan tablets?
Valsartan tablets can cause harm or death to an unborn baby.
Talk to your healthcare provider about other ways to lower your blood pressure if you plan to become pregnant.
If you become pregnant during treatment with valsartan tablets, stop taking valsartan and tell your healthcare provider right away.
What are valsartan tablets?
Valsartan tablets are a prescription medicine used in:
adults and children 1 year of age and older to lower high blood pressure (hypertension). Valsartan tablets may be used alone or in combination with other blood pressure medicines.
adults to treat heart failure. Valsartan tablets may help decrease your need for hospitalization that happens with heart failure.
adults with certain types of heart failure, to increase the chance of living longer after a heart attack (myocardial infarction).
Valsartan tablets should not be used to treat high blood pressure in children less than 1 year of age.
It is not known if valsartan tablets are safe and effective in children with certain kidney problems.
Do not take valsartan tablets if you:
are allergic to any of the ingredients in valsartan tablets. See the end of this leaflet for a complete list of ingredients in valsartan tablets.
have diabetes and are also taking aliskiren. Talk to your healthcare provider if you are not sure.
Before taking valsartan tablets, tell your healthcare provider about all of your medical conditions including, if you:
have heart problems
have kidney problems
are pregnant or plan to become pregnant. See “What is the most important information I should know about valsartan tablets?
are breastfeeding or plan to breastfeed. It is not known if valsartan passes into your breast milk. You should not breastfeed during treatment with valsartan tablets. Talk with your healthcare provider about the best way to feed your baby during your treatment with valsartan tablets.
Tell your healthcare provider about all the medicines you take including prescription and over- the-counter medicines, vitamins and herbal supplements. Valsartan tablets may affect the way other medicines work.
Especially tell your healthcare provider if you take:
other medicines for high blood pressure or a heart problem
water pills (also called “diuretics”)
potassium-containing medicines, potassium supplements or salt substitutes containing potassium. Your healthcare provider may check the amount of potassium in your blood regularly.
nonsteroidal anti-inflammatory drugs (NSAIDs)
Lithium. Your healthcare provider will check the amount of lithium in your blood regularly.
Know the medicines you take. Keep a list of your medicines with you to show to your healthcare provider and pharmacist when a new medicine is prescribed. Talk to your healthcare provider or pharmacist before you start taking any new medicine.
How should I take valsartan tablets?
Take valsartan tablets exactly as prescribed by your healthcare provider.
For treatment of high blood pressure, take valsartan tablets 1 time each day
For children: Your pharmacist will mix valsartan tablets as a liquid suspension for your child, if:
o your child is 1 to 5 years of age, or
o your child is older than 5 years of age and cannot swallow tablets, or
o if tablets are not available in the prescribed strength needed for your child
If your child switches between taking the tablet and the suspension, your healthcare provider will adjust the dose as needed.
o Shake the bottle of suspension well for at least 10 seconds before pouring the dose of medicine to give to your child.
For adults with heart failure or who have had a heart attack, take valsartan tablets 2 times each day. Your healthcare provider may start you on a low dose of valsartan tablets and may increase the dose during your treatment.
Valsartan tablets can be taken with or without food.
If you miss a dose, take it as soon as you remember. If it is close to your next dose, do not take the missed dose. Take the next dose at your regular time.
If you take too much valsartan tablets, call your healthcare provider, or go to the nearest hospital emergency room.
What are the possible side effects of valsartan tablets?
Valsartan tablets can cause serious side effects, including: See “What is the most important information I should know about valsartan tablets?”
Low blood pressure (hypotension).
Low blood pressure can happen with valsartan tablets, especially when you first start taking it and can cause you to feel lightheaded. Feeling lightheaded is most likely to happen if you:
o take water pills o are dehydrated (decreased body fluids) due to vomiting and diarrhea
o are on a low-salt diet o you sweat excessively
o get dialysis treatments o have heart problems
o do not drink enough liquids
Lie down, if you feel lightheaded, dizzy or faint. Call your healthcare provider right away.
Kidney problems. Kidney problems may get worse in people that already have kidney disease or heart problems. Your doctor may do blood tests to check for this.
Increased potassium in your blood. Some people may develop increased potassium in the blood during treatment with valsartan tablets. Your doctor may do a blood test to check your potassium levels as needed.
The most common side effects of valsartan tablets when used to treat people with high blood pressure include:
headache
dizziness
flu symptoms
tiredness
stomach (abdominal) pain
The most common side effects of valsartan tablets when used to treat people with heart failure include:
dizziness
low blood pressure
diarrhea
joint and back pain
tiredness
high blood potassium
The most common side effects of valsartan tablets when used to treat people after a heart attack that cause them to stop taking valsartan tablets include:
low blood pressure
cough
high blood creatinine (decreased kidney function)
You should not stop taking valsartan tablets without talking to your healthcare provider. These are not all of the possible side effects of valsartan tablets. For more information, ask your healthcare provider or pharmacist. Call your doctor for medical advice about side effects. You may report side effects to FDA at 1-800-FDA-1088.
How should I store valsartan tablets?
Store valsartan tablets at room temperature between 68° to 77°F (20° to 25°C).
Keep valsartan tablets container tightly closed and in a dry place to protect from moisture.
Valsartan suspension is provided in a glass bottle with a child-resistant screw-cap closure.
Store bottles of valsartan suspension at room temperature less than 86ºF (30ºC) for up to 30 days, or refrigerate between 35ºF to 46ºF (2ºC to 8ºC) for up to 75 days.
Keep valsartan tablets and all medicines out of the reach of children.
General information about the safe and effective use of valsartan tablets
Medicines are sometimes prescribed for purposes other than those listed in a Patient Information Leaflet. Do not use valsartan tablets for a condition for which it was not prescribed. Do not give valsartan tablets to other people, even if they have the same symptoms you have. It may harm them.
You can ask your healthcare provider or pharmacist for information about valsartan tablets that is written for health professionals.
For more information, call 1-866-495-1995.
What are the ingredients in valsartan tablets?
Active ingredient: valsartan, USP
Inactive ingredients: croscarmellose sodium, hypromellose, magnesium stearate, mannitol, microcrystalline cellulose, polyethylene glycol, povidone, and titanium dioxide. In addition to this 40 mg contains iron oxide yellow, 80 mg contains iron oxide red, 160 mg contains iron oxides (yellow and red) and 320 mg contains iron oxides (yellow, red and black).
This Patient Information has been approved by the U.S. Food and Drug Administration.
Patient Information available at http://www.camberpharma.com/medication-guides

Manufactured for:
Camber Pharmaceuticals, Inc.
Piscataway, NJ 08854
By:
HETERO
TM
Hetero Labs Limited, Unit V, Polepally,
Jadcherla, Mahabubnagar-509 301, India.
Revised: 07/2021
| VALSARTAN
valsartan tablet, film coated |
||||||||||||||||||||||||
|
||||||||||||||||||||||||
|
||||||||||||||||||||||||
|
||||||||||||||||||||||||
|
||||||||||||||||||||||||
|
||||||||||||||||||||||||
|
||||||||||||||||||||||||
| Labeler - Northwind Health Company, LLC (036986393) |
| Registrant - Northwind Health Company, LLC (036986393) |
| Establishment | |||
| Name | Address | ID/FEI | Business Operations |
|---|---|---|---|
| Northwind Health Company, LLC | 036986393 | repack(51655-834) | |