TAPENTADOL HYDROCHLORIDE tablet, film coated

Tapentadol Hydrochloride by

Drug Labeling and Warnings

Tapentadol Hydrochloride by is a Prescription medication manufactured, distributed, or labeled by EPIC PHARMA LLC, Humanwell Pharmaceutical US, Inc. Drug facts, warnings, and ingredients follow.

Drug Details [pdf]

  • BOXED WARNING (What is this?)

    WARNING: SERIOUS AND LIFE-THREATENING RISKS FROM USE OF TAPENTADOL TABLETS

    Addiction, Abuse, and Misuse

    Because the use of tapentadol tablets exposes patients and other users to the risks of opioid addiction, abuse, and misuse, which can lead to overdose and death, assess each patient’s risk prior to prescribing and reassess all patients regularly for the development of these behaviors and conditions [see Warnings and Precautions (5.1)].

    Life-Threatening Respiratory Depression

    Serious, life-threatening, or fatal respiratory depression may occur with use of tapentadol tablets, especially during initiation or following a dosage increase. To reduce the risk of respiratory depression, proper dosing and titration of tapentadol tablets are essential [see Warnings and Precautions (5.2)].

    Accidental Ingestion

    Accidental ingestion of even one dose of tapentadol tablets, especially by children, can result in a fatal overdose of tapentadol [see Warnings and Precautions (5.2)].

    Risks From Concomitant Use With Benzodiazepines Or Other CNS Depressants

    Concomitant use of opioids with benzodiazepines or other central nervous system (CNS) depressants, including alcohol, may result in profound sedation, respiratory depression, coma, and death. Reserve concomitant prescribing of tapentadol tablets and benzodiazepines or other CNS depressants for use in patients for whom alternative treatment options are inadequate [see Warnings and Precautions (5.3), Drug Interactions (7)].

    Neonatal Opioid Withdrawal Syndrome (NOWS)

    Advise pregnant women using opioids for an extended period of time of the risk of Neonatal Opioid Withdrawal Syndrome, which may be life-threatening if not recognized and treated. Ensure that management by neonatology experts will be available at delivery [see Warnings and Precautions (5.4)].

    Opioid Analgesic Risk Evaluation and Mitigation Strategy (REMS)

    Healthcare providers are strongly encouraged to complete a REMS-compliant education program and to counsel patients and caregivers on serious risks, safe use, and the importance of reading the Medication Guide with each prescription [see Warnings and Precautions (5.5)].

  • 1 INDICATIONS AND USAGE

    Tapentadol tablets are indicated for the management of acute pain severe enough to require an opioid analgesic and for which alternative treatments are inadequate in adults.

    Limitations of Use

    Because of the risks of addiction, abuse, misuse, overdose, and death, which can occur at any dose or duration [see Warnings and Precautions (5.1)], and persist over the course of therapy, reserve opioid analgesics, including tapentadol tablets for use in patients for whom alternative treatment options are ineffective, not tolerated, or would be otherwise inadequate to provide sufficient management of pain.

    Pediatric use information is approved for Collegium Pharmaceutical, Inc.’s NUCYNTA tablets. However, due to Collegium Pharmaceutical, Inc.’s marketing exclusivity rights, this drug product is not labeled with that information.

  • 2 DOSAGE AND ADMINISTRATION

    2.1 Important Dosage and Administration Instructions

    • Tapentadol tablets should be prescribed only by healthcare professionals who are knowledgeable about the use of opioids and how to mitigate the associated risks.
    • Use the lowest effective dosage for the shortest duration of time consistent with individual patient treatment goals [see Warnings and Precautions (5)]. Because the risk of overdose increases as opioid doses increase, reserve titration to higher doses of tapentadol tablets for patients in whom lower doses are insufficiently effective and in whom the expected benefits of using a higher dose opioid clearly outweigh the substantial risks.
    • Many acute pain conditions (e.g., the pain that occurs with a number of surgical procedures or acute musculoskeletal injuries) require no more than a few days of an opioid analgesic. Clinical guidelines on opioid prescribing for some acute pain conditions are available.
    • There is variability in the opioid analgesic dose and duration needed to adequately manage pain due both to the cause of pain and to individual patient factors. Initiate the dosing regimen for each patient individually, taking into account the patient's underlying cause and severity of pain, prior analgesic treatment and response, and risk factors for addiction, abuse, and misuse [see Warnings and Precautions (5.1)].
    • Respiratory depression can occur at any time during opioid therapy, especially when initiating and following dosage increases with tapentadol tablets. Consider this risk when selecting an initial dose and when making dose adjustments [see Warnings and Precautions (5)].
    • Tapentadol tablets can be taken with or without food [see Clinical Pharmacology (12.3)].

    2.2 Patient Access to an Opioid Overdose Reversal Agent for the Emergency Treatment of Opioid Overdose

    Inform patients and caregivers about opioid overdose reversal agents (e.g., naloxone, nalmefene).

    Discuss the importance of having access to an opioid overdose reversal agent, especially if the patient

    has risk factors for overdose (e.g., concomitant use of CNS depressants, a history of opioid use disorder,

    or prior opioid overdose) or if there are household members (including children) or other close contacts

    at risk for accidental ingestion or opioid overdose. The presence of risk factors for overdose should not

    prevent the management of pain in any patient [see Warnings and Precautions (5.1, 5.2, 5.3)].

    Discuss the options for obtaining an opioid overdose reversal agent (e.g., prescription, over-the-counter,

    or as part of a community-based program) [see Warnings and Precautions (5.3)].

    There are important differences among the opioid overdose reversal agents, such as route of administration, product strength, approved patient age range, and pharmacokinetics. Be familiar with these differences, as outlined in the approved labeling for those products, prior to recommending or prescribing such an agent.

    2.3 Initial Dosage in Adults

    Initiating Treatment with Tapentadol Tablets

    Initiate treatment with tapentadol tablets in a dosing range of 50 mg to 100 mg every 4 to 6 hours as needed for pain, and at the lowest dose necessary to achieve adequate analgesia. Titrate the dose based upon the individual patient’s response to their initial dose of tapentadol tablets.

    On the first day of dosing, the second dose may be administered as soon as one hour after the first dose, if adequate pain relief is not attained with the first dose. Subsequent dosing is 50 mg, 75 mg, or 100 mg every 4 to 6 hours and should be adjusted to maintain adequate analgesia with acceptable tolerability.

    Daily doses greater than 700 mg on the first day of therapy and 600 mg on subsequent days have not been studied and are not recommended.

    Tapentadol tablets may be given with or without food [see Clinical Pharmacology (12.3)].

    Conversion from Tapentadol Tablets to Tapentadol Extended-Release Tablets

    Patients can be converted from tapentadol tablets to tapentadol extended-release tablets using the equivalent total daily dose of tapentadol tablets and dividing it into two equal doses of tapentadol extended-release tablets separated by approximately 12-hour intervals. As an example, a patient receiving 50 mg of tapentadol tablets four times per day (200 mg/day) may be converted to 100 mg tapentadol extended-release tablets twice a day. Conversion to tapentadol extended-release tablets may lead to increased risk of excessive sedation and respiratory depression.

    Pediatric use information is approved for Collegium Pharmaceutical, Inc.’s NUCYNTA tablets. However, due to Collegium Pharmaceutical, Inc.’s marketing exclusivity rights, this drug product is not labeled with that information.

    2.5 Dosage Modifications in Adult Patients with Hepatic Impairment

    The safety and efficacy of tapentadol tablets have not been studied in patients with severe hepatic impairment (Child-Pugh Score 10-15) and use in this population is not recommended [see Warnings and Precautions (5.17)].

    Initiate treatment of patients with moderate hepatic impairment (Child-Pugh Score 7 to 9) with 50 mg no more frequently than once every 8 hours (maximum of three doses in 24 hours). Further treatment should reflect maintenance of analgesia with acceptable tolerability, to be achieved by either shortening or lengthening the dosing interval. Regularly evaluate patients for respiratory and central nervous system depression [see Clinical Pharmacology (12.3)].

    No dosage adjustment is recommended in patients with mild hepatic impairment (Child-Pugh Score 5 to 6) [see Clinical Pharmacology (12.3)].

    2.6 Titration and Maintenance of Therapy

    Individually titrate tapentadol tablets to a dose that provides adequate analgesia and minimizes adverse reactions. Continually reevaluate patients receiving tapentadol tablets to assess the maintenance of pain control, signs and symptoms of opioid withdrawal, and other adverse reactions, as well as reassess for the development of addiction, abuse, or misuse [see Warnings and Precautions (5.1, 5.14)]. Frequent communication is important among the prescriber, other members of the healthcare team, the patient, and the caregiver/family during periods of changing analgesic requirements, including initial titration.

    If the level of pain increases after dosage stabilization, attempt to identify the source of increased pain before increasing the tapentadol tablets dosage. If after increase the dosage, unacceptable opioid-related adverse reactions are observed (including an increase in pain after a dosage increase), consider reducing the dosage. Adjust the dosage to obtain an appropriate balance between management of pain and opioid-related adverse reactions.

    2.7 Safe Reduction or Discontinuation of Tapentadol Tablets

    Do not rapidly reduce or abruptly discontinue tapentadol tablets in patients who may be physically dependent on opioids. Rapid reduction or abrupt discontinuation of opioid analgesics in patients who are physically dependent on opioids has resulted in serious withdrawal symptoms, uncontrolled pain, and suicide. Rapid reduction or abrupt discontinuation has also been associated with attempts to find other sources of opioid analgesics, which may be confused with drug-seeking for abuse. Patients may also attempt to treat their pain or withdrawal symptoms with illicit opioids, such as heroin, and other substances.

    When a decision has been made to decrease the dose or discontinue therapy in an opioid-dependent patient taking tapentadol tablets, there are a variety of factors that should be considered, including the total daily dose of opioid (including tapentadol tablets) the patient has been taking, the duration of treatment, the type of pain being treated, and the physical and psychological attributes of the patient. It is important to ensure ongoing care of the patient and to agree on an appropriate tapering schedule and follow-up plan so that patient and provider goals and expectations are clear and realistic. When opioid analgesics are being discontinued due to a suspected substance use disorder, evaluate and treat the patient, or refer for evaluation and treatment of the substance use disorder. Treatment should include evidence-based approaches, such as medication assisted treatment of opioid use disorder. Complex patients with co-morbid pain and substance use disorders may benefit from referral to a specialist.

    There are no standard opioid tapering schedules that are suitable for all patients. Good clinical practice dictates a patient-specific plan to taper the dose of the opioid gradually. For patients on tapentadol tablets who are physically opioid-dependent, initiate the taper by a small enough increment (e.g., no greater than 10% to 25% of the total daily dose) to avoid withdrawal symptoms, and proceed with dose-lowering at an interval of every 2 to 4 weeks. Patients who have been taking opioids for briefer periods of time may tolerate a more rapid taper.

    It may be necessary to provide the patient with lower dosage strengths to accomplish a successful taper. Reassess the patient frequently to manage pain and withdrawal symptoms, should they emerge. Common withdrawal symptoms include restlessness, lacrimation, rhinorrhea, yawning, perspiration, chills, myalgia, and mydriasis. Other signs and symptoms also may develop, including irritability, anxiety, backache, joint pain, weakness, abdominal cramps, insomnia, nausea, anorexia, vomiting, diarrhea, or increased blood pressure, respiratory rate, or heart rate. If withdrawal symptoms arise, it may be necessary to pause the taper for a period of time or raise the dose of the opioid analgesic to the previous dose, and then proceed with a slower taper. In addition, evaluate patients for any changes in mood, emergence of suicidal thoughts, or use of other substances.

    When managing patients taking opioid analgesics, particularly those who have been treated for an extended period of time and/or with high doses for chronic pain, ensure that a multimodal approach to pain management, including mental health support (if needed), is in place prior to initiating an opioid analgesic taper. A multimodal approach to pain management may optimize the treatment of chronic pain, as well as assist with the successful tapering of the opioid analgesic [see Warnings and Precautions (5.14), Drug Abuse and Dependence (9.3)].

  • 3 DOSAGE FORMS AND STRENGTHS

    Tablets: 50 mg, 75 mg, 100 mg.

    50 mg: round biconvex, beige film-coated tablet debossed "50" above “ imprint.jpg ” on one side and plain on the other side.

    75 mg: round biconvex, pink-orange film-coated tablet debossed "75" above “ imprint.jpg ” on one side and plain on the other side.

    100 mg: round biconvex, orange film-coated tablet debossed "100" above “ imprint.jpg ” on one side and plain on the other side.

  • 4 CONTRAINDICATIONS

    Tapentadol tablets are contraindicated in patients with:

  • 5 WARNINGS AND PRECAUTIONS

    5.1 Addiction, Abuse, and Misuse

    Tapentadol tablets contain tapentadol, a Schedule II controlled substance. As an opioid, tapentadol tablets expose users to the risks of addiction, abuse, and misuse [see Drug Abuse and Dependence (9)].

    Although the risk of addiction in any individual is unknown, it can occur in patients appropriately prescribed tapentadol tablets. Addiction can occur at recommended dosages and if the drug is misused or abused. The risk of opioid-related overdose or overdose-related death is increased with higher opioid doses, and this risk persists over the course of therapy. In postmarketing studies, addiction, abuse, misuse, and fatal and non-fatal opioid overdose were observed in patients with long-term opioid use [see Adverse Reactions (6.2)].

    Assess each patient’s risk for opioid addiction, abuse, or misuse prior to prescribing tapentadol tablets and reassess all patients receiving tapentadol tablets for the development of these behaviors and conditions. Risks are increased in patients with a personal or family history of substance abuse (including drug or alcohol abuse or addiction) or mental illness (e.g., major depression). The potential for these risks should not, however, prevent the proper management of pain in any given patient. Patients at increased risk may be prescribed opioids such as tapentadol tablets, but use in such patients necessitates intensive counseling about the risks and proper use of tapentadol tablets along with frequent reevaluation for signs of addiction, abuse, and misuse. Consider recommending or prescribing an opioid overdose reversal agent [see Dosage and Administration (2.2), Warnings and Precautions (5.2)].

    Opioids are sought for non-medical use and are subject to diversion from legitimate prescribed use. Consider these risks when prescribing or dispensing tapentadol tablets. Strategies to reduce these risks include prescribing the drug in the smallest appropriate quantity and advising the patient on careful storage of the drug during the course of treatment and on the proper disposal of unused drug -. Contact local state professional licensing board or state-controlled substances authority for information on how to prevent and detect abuse or diversion of this product.

    5.2 Life-Threatening Respiratory Depression

    Serious, life-threatening, or fatal respiratory depression has been reported with the use of opioids, even when used as recommended. Respiratory depression, if not immediately recognized and treated, may lead to respiratory arrest and death. Management of respiratory depression may include close observation, supportive measures, and use of opioid overdose reversal agents, depending on the patient’s clinical status [see Overdosage (10)]. Carbon dioxide (CO2) retention from opioid-induced respiratory depression can exacerbate the sedating effects of opioids.

    While serious, life-threatening, or fatal respiratory depression can occur at any time during the use of tapentadol tablets, the risk is greatest during the initiation of therapy or following a dosage increase.

    To reduce the risk of respiratory depression, proper dosing and titration of tapentadol tablets are essential [see Dosage and Administration (2.3)]. Overestimating the tapentadol tablets dosage when converting patients from another opioid product can result in a fatal overdose with the first dose.

    Accidental ingestion of even one dose of tapentadol tablets, especially by children, can result in respiratory depression and death due to an overdose of tapentadol.

    Educate patients and caregivers on how to recognize respiratory depression and emphasize the importance of calling 911 or getting emergency medical help right away in the event of a known or suspected overdose.

    Opioids can cause sleep-related breathing disorders including central sleep apnea (CSA) and sleep-related hypoxemia. Opioid use increases the risk of CSA in a dose-dependent fashion. In patients who present with CSA, consider decreasing the opioid dosage using best practices for opioid taper [see Dosage and Administration (2.6)].

    Patient Access to an Opioid Overdose Reversal Agent for the Emergency Treatment of Opioid Overdose

    Inform patients and caregivers about opioid overdose reversal agents (e.g., naloxone, nalmefene). Discuss the importance of having access to an opioid overdose reversal agent, especially if the patient has risk factors for overdose (e.g., concomitant use of CNS depressants, a history of opioid use disorder, or prior opioid overdose) or if there are household members (including children) or other close contacts at risk for accidental ingestion or opioid overdose. The presence of risk factors for overdose should not prevent the management of pain in any patient [see Warnings and Precautions (5.1, 5.3)].

    Discuss the options for obtaining an opioid overdose reversal agent (e.g., prescription, over-the-counter, or as part of a community-based program). There are important differences among the opioid overdose reversal agents, such as route of administration, product strength, approved patient age range, and pharmacokinetics. Be familiar with these differences, as outlined in the approved labeling for those products, prior to recommending or prescribing such an agent.

    Educate patients and caregivers on how to recognize respiratory depression, and how to use an opioid overdose reversal agent for the emergency treatment of opioid overdose. Emphasize the importance of calling 911 or getting emergency medical help, even if an opioid overdose reversal agent is administered [see Dosage and Administration (2.2), Warnings and Precautions (5.1, 5.3), Overdosage (10)].

    5.3 Risks from Concomitant Use with Benzodiazepines or Other CNS Depressants

    Profound sedation, respiratory depression, coma, and death may result from the concomitant use of tapentadol tablets with benzodiazepines and/or other CNS depressants including alcohol (e.g., non-benzodiazepine sedatives/hypnotics, anxiolytics, tranquilizers, muscle relaxants, general anesthetics, antipsychotics, gabapentinoids [gabapentin or pregabalin], and other opioids). Because of these risks, reserve concomitant prescribing of these drugs for use in patients for whom alternative treatment options are inadequate.

    Observational studies have demonstrated that concomitant use of opioid analgesics and benzodiazepines increases the risk of drug-related mortality compared to use of opioid analgesics alone. Because of similar pharmacological properties, it is reasonable to expect similar risk with the concomitant use of other CNS depressant drugs with opioid analgesics [see Drug Interactions (7)].

    If the decision is made to prescribe a benzodiazepine or other CNS depressant concomitantly with an opioid analgesic, prescribe the lowest effective dosages and minimum durations of concomitant use. In patients already receiving an opioid analgesic, prescribe a lower initial dose of the benzodiazepine or other CNS depressant than indicated in the absence of an opioid, and titrate based on clinical response. If an opioid analgesic is initiated in a patient already taking a benzodiazepine or other CNS depressant, prescribe a lower initial dose of the opioid analgesic, and titrate based on clinical response. Inform patients and caregivers of this potential interaction and educate them on the signs and symptoms of respiratory depression (including sedation).

    If concomitant use is warranted, consider recommending or prescribing an opioid overdose reversal agent [see Dosage and Administration (2.2), Warnings and Precautions (5.2), Overdosage (10)].

    Advise both patients and caregivers about the risks of respiratory depression and sedation when tapentadol tablets are used with benzodiazepines or other CNS depressants (including alcohol and illicit drugs). Advise patients not to drive or operate heavy machinery until the effects of concomitant use of the benzodiazepine or other CNS depressant have been determined. Screen patients for risk of substance use disorders, including opioid abuse and misuse, and warn them of the risk for overdose and death associated with the use of additional CNS depressants including alcohol and illicit drugs [see Drug Interactions (7)].

    5.4 Neonatal Opioid Withdrawal Syndrome

    Use of tapentadol tablets for an extended period of time during pregnancy can result in withdrawal in the neonate. Neonatal opioid withdrawal syndrome, unlike opioid withdrawal syndrome in adults, may be life-threatening if not recognized and treated, and requires management according to protocols developed by neonatology experts. Observe newborns for signs of neonatal opioid withdrawal syndrome and manage accordingly. Advise pregnant women using opioids for an extended period of time of the risk of neonatal opioid withdrawal syndrome and ensure that appropriate treatment will be available [see Use in Specific Populations (8.1) ].

    5.5 Opioid Analgesic Risk Evaluation and Mitigation Strategy (REMS)

    To ensure that the benefits of opioid analgesics outweigh the risks of addiction, abuse, and misuse, the Food and Drug Administration (FDA) has required a Risk Evaluation and Mitigation Strategy (REMS) for these products. Under the requirements of the REMS, drug companies with approved opioid analgesic products must make REMS-compliant education programs available to healthcare providers. Healthcare providers are strongly encouraged to do all of the following:

    • Complete a REMS-compliant education program offered by an accredited provider of continuing education (CE) or another education program that includes all the elements of the FDA Education Blueprint for Health Care Providers Involved in the Management or Support of Patients with Pain.
    • Discuss the safe use, serious risks, and proper storage and disposal of opioid analgesics with patients and/or their caregivers every time these medicines are prescribed. The Patient Counseling Guide (PCG) can be obtained at this link: www.fda.gov/OpioidAnalgesicREMSPCG.
    • Emphasize to patients and their caregivers the importance of reading the Medication Guide that they will receive from their pharmacist every time an opioid analgesic is dispensed to them.
    • Consider using other tools to improve patient, household, and community safety, such as patient-prescriber agreements that reinforce patient-prescriber responsibilities.

    To obtain further information on the opioid analgesic REMS and for a list of accredited REMS CME/CE, call 1-800-503-0784, or log on to www.opioidanalgesicrems.com. The FDA Blueprint can be found at www.fda.gov/OpioidAnalgesicREMSBlueprint.

    5.6 Opioid-Induced Hyperalgesia and Allodynia

    Opioid-Induced Hyperalgesia (OIH) occurs when an opioid analgesic paradoxically causes an increase in pain, or an increase in sensitivity to pain. This condition differs from tolerance, which is the need for increasing doses of opioids to maintain a defined effect [see Dependence 9.3]. Symptoms of OIH include (but may not be limited to) increased levels of pain upon opioid dosage increase, decreased levels of pain upon opioid dosage decrease, or pain from ordinarily non-painful stimuli (allodynia). These symptoms may suggest OIH only if there is no evidence of underlying disease progression, opioid tolerance, opioid withdrawal, or addictive behavior.

    Cases of OIH have been reported, both with short-term and longer-term use of opioid analgesics. Though the mechanism of OIH is not fully understood, multiple biochemical pathways have been implicated. Medical literature suggests a strong biologic plausibility between opioid analgesics and OIH and allodynia. If a patient is suspected to be experiencing OIH, carefully consider appropriately decreasing the dose of the current opioid analgesic, or opioid rotation (safely switching the patient to a different opioid moiety) [see Dosage and Administration (2.7), Warnings and Precautions (5.13)].

    5.7 Serotonin Syndrome with Concomitant Use of Serotonergic Drugs

    Cases of serotonin syndrome, a potentially life-threatening condition, have been reported during concomitant use of tapentadol with serotonergic drugs. Serotonergic drugs include selective serotonin reuptake inhibitors (SSRIs), serotonin and norepinephrine reuptake inhibitors (SNRIs), tricyclic antidepressants (TCAs), triptans, 5-HT3 receptor antagonists, drugs that affect the serotonergic neurotransmitter system (e.g. mirtazapine, trazodone, tramadol), certain muscle relaxants (i.e., cyclobenzaprine, metaxalone), and drugs that impair metabolism of serotonin (including monoamine oxidase inhibitors, both those intended to treat psychiatric disorders and also others, such as linezolid and intravenous methylene blue) [see Drug Interactions (7)]. This may occur within the recommended dosage range.

    Serotonin syndrome symptoms may include mental-status changes (e.g., agitation, hallucinations, coma), autonomic instability (e.g., tachycardia, labile blood pressure, hyperthermia), neuromuscular aberrations (e.g., hyperreflexia, incoordination) and/or gastrointestinal symptoms (e.g., nausea, vomiting, diarrhea) and can be fatal. The onset of symptoms generally occurs within several hours to a few days of concomitant use but may occur later than that. Discontinue tapentadol tablets if serotonin syndrome is suspected.

    5.8 Life-Threatening Respiratory Depression in Patients with Chronic Pulmonary Disease or in Elderly, Cachectic, or Debilitated Patients

    The use of tapentadol tablets in patients with acute or severe bronchial asthma in an unmonitored setting or in the absence of resuscitative equipment is contraindicated.

    Patients with Chronic Pulmonary Disease: Tapentadol tablets-treated patients with significant chronic obstructive pulmonary disease or cor pulmonale, and those with a substantially decreased respiratory reserve, hypoxia, hypercapnia, or pre-existing respiratory depression are at increased risk of decreased respiratory drive including apnea, even at recommended dosages of tapentadol tablets [see Warnings and Precautions (5.2)].

    Elderly, Cachectic, or Debilitated Patients: Life-threatening respiratory depression is more likely to occur in elderly, cachectic, or debilitated patients because they may have altered pharmacokinetics or altered clearance compared to younger, healthier patients [see Warnings and Precautions (5.2)].

    Regularly evaluate such patients closely, particularly when initiating and titrating tapentadol tablets and when tapentadol tablets are given concomitantly with other drugs that depress respiration [see Warnings and Precautions (5.2, 5.3), Drug Interactions (7)]. Alternatively, consider the use of non-opioid analgesics in these patients.

    5.9 Adrenal Insufficiency

    Cases of adrenal insufficiency have been reported with opioid use, more often following greater than one month of use. Presentation of adrenal insufficiency may include non-specific symptoms and signs including nausea, vomiting, anorexia, fatigue, weakness, dizziness, and low blood pressure. If adrenal insufficiency is suspected, confirm the diagnosis with diagnostic testing as soon as possible. If adrenal insufficiency is diagnosed, treat with physiologic replacement doses of corticosteroids. Wean the patient off of the opioid to allow adrenal function to recover and continue corticosteroid treatment until adrenal function recovers. Other opioids may be tried as some cases reported use of a different opioid without recurrence of adrenal insufficiency. The information available does not identify any particular opioids as being more likely to be associated with adrenal insufficiency.

    5.10 Severe Hypotension

    Tapentadol tablets may cause severe hypotension including orthostatic hypotension and syncope in ambulatory patients. There is increased risk in patients whose ability to maintain blood pressure has already been compromised by a reduced blood volume or concurrent administration of certain CNS depressant drugs (e.g., phenothiazines or general anesthetics) [see Drug Interactions (7)]. Regularly evaluate these patients for signs of hypotension after initiating or titrating the dosage of tapentadol tablets. In patients with circulatory shock, tapentadol tablets may cause vasodilation that can further reduce cardiac output and blood pressure. Avoid the use of tapentadol tablets in patients with circulatory shock.

    5.11 Risks of Use in Patients with Increased Intracranial Pressure, Brain Tumors, Head Injury, or Impaired Consciousness

    In patients who may be susceptible to the intracranial effects of CO2 retention (e.g., those with evidence of increased intracranial pressure or brain tumors), tapentadol tablets may reduce respiratory drive, and the resultant CO2 retention can further increase intracranial pressure. Monitor such patients for signs of sedation and respiratory depression, particularly when initiating therapy with tapentadol tablets.

    Opioids may also obscure the clinical course in a patient with a head injury. Avoid the use of tapentadol tablets in patients with impaired consciousness or coma.

    5.12 Risks of Gastrointestinal Complications

    Tapentadol tablets are contraindicated in patients with known or suspected gastrointestinal obstruction, including paralytic ileus.

    The tapentadol in tapentadol tablets may cause spasm of the sphincter of Oddi. Opioids may cause increases in serum amylase. Regularly evaluate patients with biliary tract disease, including acute pancreatitis for worsening symptoms.

    Cases of opioid-induced esophageal dysfunction (OIED) have been reported in patients taking opioids. The risk of OIED may increase as the dose and/or duration of opioids increases. Regularly evaluate patients for signs and symptoms of OIED (e.g., dysphagia, regurgitation, non-cardiac chest pain) and, if necessary, adjust opioid therapy as clinically appropriate [see Clinical Pharmacology (12.2)].

    5.13 Increased Risk of Seizures in Patients with Seizure Disorders

    The tapentadol in tapentadol tablets may increase the frequency of seizures in patients with seizure disorders, and may increase the risk of seizures occurring in other clinical settings associated with seizures. Regularly evaluate patients with a history of seizure disorders for worsened seizure control during tapentadol tablets therapy.

    5.14 Withdrawal

    Do not rapidly reduce or abruptly discontinue tapentadol tablets in a patient physically dependent on opioids. When discontinuing tapentadol tablets in a physically dependent patient, gradually taper the dosage. Rapid tapering of tapentadol in a patient physically dependent on opioids may lead to a withdrawal syndrome and return of pain [see Dosage and Administration (2.7), Drug Abuse and Dependence (9.3)].

    Additionally, avoid the use of mixed agonist/antagonist (e.g., pentazocine, nalbuphine, and butorphanol) or partial agonist (e.g., buprenorphine) analgesics in patients who are receiving a full opioid agonist analgesic, including tapentadol tablets. In these patients, mixed agonist/antagonist and partial agonist analgesics may reduce the analgesic effect and/or precipitate withdrawal symptoms [see Drug Interactions (7)].

    5.15 Risks of Driving and Operating Machinery

    Tapentadol tablets may impair the mental or physical abilities needed to perform potentially hazardous activities such as driving a car or operating machinery. Warn patients not to drive or operate dangerous machinery unless they are tolerant to the effects of tapentadol tablets and know how they will react to the medication.

    5.16 Interactions with Alcohol, Other Opioids, and Drugs of Abuse

    Due to its mu-opioid agonist activity, tapentadol tablets may be expected to have additive effects when used in conjunction with alcohol, other opioids, or illicit drugs that cause central nervous system depression, respiratory depression, hypotension, and profound sedation, coma or death [see Drug Interactions (7)]. Instruct patients not to consume alcoholic beverages or use prescription or non-prescription products containing alcohol, other opioids, or drugs of abuse while on tapentadol tablets therapy [see Drug Interactions (7)].

    5.17 Risk of Toxicity in Patients with Hepatic Impairment

    A study with tapentadol tablets in subjects with hepatic impairment showed higher serum concentrations of tapentadol than in those with normal hepatic function. Avoid use of tapentadol tablets in patients with severe hepatic impairment. Reduce the dose of tapentadol tablets in patients with moderate hepatic impairment [see Dosage and Administration (2.4) and Clinical Pharmacology (12.3)]. Regularly evaluate patients with moderate hepatic impairment for respiratory and central nervous system depression when receiving tapentadol tablets.

    5.18 Risk of Toxicity in Patients with Renal Impairment

    Use of tapentadol tablets in patients with severe renal impairment is not recommended due to accumulation of a metabolite formed by glucuronidation of tapentadol. The clinical relevance of the elevated metabolite is not known [see Clinical Pharmacology (12.3)].

  • 6 ADVERSE REACTIONS

    The following adverse reactions are discussed, or described in greater detail, in other sections:

    6.1 Clinical Trials Experience

    Adults

    Because clinical trials are conducted under widely varying conditions, adverse reaction rates observed in the clinical trials of a drug cannot be directly compared to rates in the clinical trials of another drug and may not reflect the rates observed in practice.

    Based on data from nine Phase 2/3 studies that administered multiple doses (seven placebo- and/or active-controlled, one noncontrolled and one Phase 3 active-controlled safety study) the most common adverse reactions (reported by ≥10% in any tapentadol tablets dose group) were: nausea, dizziness, vomiting and somnolence.

    The most common reasons for discontinuation due to adverse reactions in the studies described above (reported by ≥1% in any tapentadol tablets dose group) were dizziness (2.6% vs. 0.5%), nausea (2.3% vs. 0.6%), vomiting (1.4% vs. 0.2%), somnolence (1.3% vs. 0.2%) and headache (0.9% vs. 0.2%) for tapentadol- and placebo-treated patients, respectively.

    Seventy-six percent of tapentadol-treated patients from the nine studies experienced adverse events.

    Tapentadol tablets were studied in multiple-dose, active- or placebo-controlled studies, or noncontrolled studies (n = 2178), in single-dose studies (n = 870), in open-label study extension (n = 483) and in Phase 1 studies (n = 597). Of these, 2034 patients were treated with doses of 50 mg to 100 mg of tapentadol tablets dosed every 4 to 6 hours.

    The data described below reflect exposure to tapentadol tablets in 3161 patients, including 449 exposed for 45 days. Tapentadol tablets were studied primarily in placebo- and active- controlled studies (n = 2266, and n = 2944, respectively). The population was 18 to 85 years old (mean age 46 years), 68% were female, 75% white and 67% were postoperative. Most patients received tapentadol tablets doses of 50 mg, 75 mg, or 100 mg every 4 to 6 hours.

    •   Table 1 Adverse Reactions Reported by ≥1% of Tapentadol-Treated Patients In Seven Phase 2/3 Placebo- and/or Oxycodone-Controlled, One Non-controlled, and One Phase 3 Oxycodone-Controlled Safety, Multiple-Dose Clinical Studies

    System Organ Class

    MedDRA Preferred Term

    •   Tapentadol
    •   21 mg – 120 mg
    •   (n = 2178)
    •   %
    •   Placebo
    •   (n = 619)
    •   %

    Gastrointestinal Disorders

    •   Nausea
    •   30

    13

    •   Vomiting
    •   18

    4

    •   Constipation
    •   8

    3

    •   Dry mouth
    •   4

    <1

    •   Dyspepsia
    •   2

    <1

    General disorders and

    administration site conditions

    •   Fatigue
    •   3

    <1

    •   Feeling hot
    •   1

    <1

    Infections and infestations

    •   Nasopharyngitis
    •   1

    <1

    •   Upper respiratory tract
    •   infection
    •   1

    <1

    •   Urinary tract infection
    •   1

    <1

    Metabolism and nutrition

    disorders

    •   Decreased appetite
    •   2

    0

    Nervous system disorders

    •   Dizziness
    •   24

    8

    •   Somnolence
    •   15

    3

    •   Tremor
    •   1

    <1

    •   Lethargy
    •   1

    <1

    Psychiatric disorders

    •   Insomnia
    •   2

    <1

    •   Confusional state
    •   1

    0

    •   Abnormal dreams
    •   1

    <1

    •   Anxiety
    •   1

    <1

    Skin and subcutaneous tissue

    disorders

    •   Pruritus
    •   5

    1

    •   Hyperhidrosis
    •   3

    <1

    •   Pruritus generalized
    •   3

    <1

    •   Rash
    •   1

    <1

    Vascular disorders

    •   Hot flush
    •   1

    <1

    The following adverse drug reactions occurred in less than 1% of tapentadol-treated patients in the pooled safety data from nine Phase 2/3 clinical studies:

    Cardiac disorders: heart rate increased, heart rate decreased

    Eye disorders: visual disturbance

    Gastrointestinal disorders: abdominal discomfort, impaired gastric emptying

    General disorders and administration site conditions: irritability, edema, drug withdrawal syndrome, feeling drunk

    Immune system disorders: hypersensitivity

    Investigations: gamma-glutamyltransferase increased, alanine aminotransferase increased, aspartate aminotransferase increased

    Musculoskeletal and connective tissue disorders: involuntary muscle contractions, sensation of heaviness

    Nervous system disorders: hypoesthesia, paresthesia, disturbance in attention, sedation, dysarthria, depressed level of consciousness, memory impairment, ataxia, presyncope, syncope, coordination abnormal, seizure

    Psychiatric disorders: euphoric mood, disorientation, restlessness, agitation, nervousness, thinking abnormal

    Renal and urinary disorders: urinary hesitation, pollakiuria

    Respiratory, thoracic and mediastinal disorders: oxygen saturation decreased, cough, dyspnea, respiratory depression

    Skin and subcutaneous tissue disorders: urticaria

    Vascular disorders: blood pressure decreased

    In the pooled safety data, the overall incidence of adverse reactions increased with increased dose of tapentadol tablets, as did the percentage of patients with adverse reactions of nausea, dizziness, vomiting, somnolence, and pruritus.

    Pediatric use information is approved for Collegium Pharmaceutical, Inc.’s NUCYNTA tablets. However, due to Collegium Pharmaceutical, Inc.’s marketing exclusivity rights, this drug product is not labeled with that information.

    6.2 Post-marketing Experience

    The following additional adverse reactions have been identified during post‐approval use of tapentadol. Because these reactions are reported voluntarily from a population of uncertain size, it is not always possible to reliably estimate their frequency or establish a causal relationship to drug exposure.

    Gastrointestinal disorders: diarrhea

    Nervous system disorders: headache

    Psychiatric disorders: hallucination, suicidal ideation, panic attack

    Cardiac disorders: palpitations

    Serotonin syndrome: Cases of serotonin syndrome, a potentially life-threatening condition, have been reported during concomitant use of opioids with serotonergic drugs.

    Adrenal insufficiency: Cases of adrenal insufficiency have been reported with opioid use, more often following greater than one month of use.

    Anaphylaxis: Anaphylaxis has been reported with ingredients contained in tapentadol tablets.

    Androgen deficiency: Cases of androgen deficiency have occurred with chronic use of opioids for an extended period of time [see Clinical Pharmacology (12.2)].

    Hyperalgesia and Allodynia: Cases of hyperalgesia and allodynia have been reported with opioid therapy of any duration [see Warnings and Precautions (5.6)]

    Hypoglycemia: Cases of hypoglycemia have been reported in patients taking opioids. Most reports were in patients with at least one predisposing risk factor (e.g., diabetes).

    Opioid-induced esophageal dysfunction (OIED): Cases of OIED have been reported in patients taking opioids and may occur more frequently in patients taking higher doses of opioids, and/or in patients taking opioids longer term [see Warnings and Precautions (5.12)].

    Adverse Reactions from Observational Studies

    A prospective, observational cohort study estimated the risks of addiction, abuse, and misuse in patients initiating long-term use of Schedule II opioid analgesics between 2017 and 2021. Study participants included in one or more analyses had been enrolled in selected insurance plans or health systems for at least one year, were free of at least one outcome at baseline, completed a minimum number of follow-up assessments, and either: 1) filled multiple extended-release/longacting opioid analgesic prescriptions during a 90-day period (n=978); or 2) filled any Schedule II opioid analgesic prescriptions covering at least 70 of 90 days (n=1,244). Those included also had no dispensing of the qualifying opioids in the previous 6 months.

    Over 12 months:

    • approximately 1% to 6% of participants across the two cohorts newly met criteria for addiction, as assessed with two validated interview based measures of moderate-to-severe opioid use disorder based on Diagnostic and Statistical Manual of Mental Disorders, Fifth Edition (DSM-5) criteria, and
    • approximately 9% and 22% of participants across the two cohorts newly met criteria for prescription opioid abuse and misuse [defined in Drug Abuse and Dependence (9.2)], respectively, as measured with a validated self-reported instrument.

    A retrospective, observational cohort study estimated the risk of opioid involved overdose or opioid overdose-related death in patients with new long-term use of Schedule II opioid analgesics from 2006 through 2016 (n=220,249). Included patients had been enrolled in either one of two commercial insurance programs, one managed care program, or one Medicaid program for at least 9 months. New long-term use was defined as having Schedule II opioid analgesic prescriptions covering at least 70 days’ supply over the 3 months prior to study entry and none during the preceding 6 months. Patients were excluded if they had an opioid-involved overdose in the 9 months prior to study entry. Overdose was measured using a validated medical code-based algorithm with linkage to the National Death Index database. The 5-year cumulative incidence estimates for opioid-involved overdose or opioid overdose-related death ranged from approximately 1.5% to 4% across study sites, counting only the first event during follow-up. Approximately 17% of first opioid overdoses observed over the entire study period (5-11 years, depending on the study site) were fatal. Higher baseline opioid dose was the strongest and most consistent predictor of opioid-involved overdose or opioid overdose-related death. Study exclusion criteria may have selected patients at lower risk of overdose, and substantial loss to follow-up (approximately 80%) also may have biased estimates.

    The risk estimates from the studies described above may not be generalizable to all patients receiving opioid analgesics, such as those with exposures shorter or longer than the duration evaluated in the studies.

  • 7 DRUG INTERACTIONS

    Table 2 includes clinically significant drug interactions with tapentadol tablets.

    Table 2: Clinically Significant Drug Interactions with Tapentadol Tablets

    •   Benzodiazepines and other Central Nervous System (CNS) Depressants

    Clinical Impact:

    Due to additive pharmacologic effect, the concomitant use of benzodiazepines or other CNS depressants including alcohol, increases the risk of respiratory depression, profound sedation, coma, and death [see Warnings and Precautions (5.3)].

    Intervention:

    Reserve concomitant prescribing of these drugs for use in patients for whom alternative treatment options are inadequate. Limit dosages and durations to the minimum required. Inform patients and caregivers of this potential interaction and educate them on the signs and symptoms of respiratory depression (including sedation). If concomitant use is warranted, consider recommending or prescribing an opioid overdose reversal agent [see Dosage and Administration (2.2), Warnings and Precautions (5.1, 5.2, 5.3)].

    Examples:

    Benzodiazepines and other sedatives/hypnotics, anxiolytics, tranquilizers, muscle relaxants, general anesthetics, antipsychotics, gabapentinoids (gabapentin or pregabalin), other opioids, alcohol.

    •   Serotonergic Drugs

    Clinical Impact:

    The concomitant use of opioids with other drugs that affect the serotonergic neurotransmitter system has resulted in serotonin syndrome [see Warnings and Precautions 5.7].

    Intervention:

    If concomitant use is warranted, frequently evaluate the patient, particularly during treatment initiation and dose adjustment. Discontinue tapentadol tablets if serotonin syndrome is suspected.

    Examples:

    Selective serotonin reuptake inhibitors (SSRIs), serotonin and norepinephrine reuptake inhibitors (SNRIs), tricyclic antidepressants (TCAs), triptans, 5-HT3 receptor antagonists, drugs that affect the serotonin neurotransmitter system (e.g., mirtazapine, trazodone, tramadol), certain muscle relaxants (i.e., cyclobenzaprine, metaxalone), monoamine oxidase inhibitors (those intended to treat psychiatric disorders and also others, such as linezolid and intravenous methylene blue).

    •   Monoamine Oxidase Inhibitors (MAOIs)

    Clinical Impact:

    MAOI interactions with opioids may manifest as serotonin syndrome or opioid toxicity (e.g., respiratory depression, coma) [see Warnings and Precautions (5.3)]

    Intervention:

    Do not use tapentadol tablets in patients taking MAOIs or within 14 days of stopping such treatment.

    If urgent use of an opioid is necessary, use test doses and frequent titration of small doses of other opioids (such as oxycodone, hydrocodone, oxymorphone, hydrocodone, or buprenorphine) to treat pain while closely monitoring blood pressure and signs and symptoms of CNS and respiratory depression.

    Examples:

    phenelzine, tranylcypromine, linezolid

    •   Mixed Agonist/Antagonist and Partial Agonist Opioid Analgesics

    Clinical Impact:

    May reduce the analgesic effect of tapentadol tablets and/or precipitate withdrawal symptoms.

    Intervention:

    Avoid concomitant use.

    Examples:

    butorphanol, nalbuphine, pentazocine, buprenorphine

    •   Muscle Relaxants

    Clinical Impact:

    Tapentadol may enhance the neuromuscular blocking action of skeletal muscle relaxants and produce an increased degree of respiratory depression.

    Intervention:

    Because respiratory depression may be greater than otherwise expected, decrease the dosage of tapentadol tablets and/or the muscle relaxant as necessary. Due to the risk of respiratory depression with concomitant use of skeletal muscle relaxants and opioids, consider recommending or prescribing an opioid overdose reversal agent [see Dosage and Administration (2.2), Warnings and Precautions (5.2, 5.3)].

    Examples:

    cyclobenzaprine, metaxalone

    •   Diuretics

    Clinical Impact:

    Opioids can reduce the efficacy of diuretics by inducing the release of antidiuretic hormone.

    Intervention:

    Evaluate patients for signs of diminished diuresis and/or effects on blood pressure and increase the dosage of the diuretic as needed.

    •   Anticholinergic Drugs

    Clinical Impact:

    The concomitant use of anticholinergic drugs may increase risk of urinary retention and/or severe constipation, which may lead to paralytic ileus.

    Intervention:

    Evaluate patients for signs of urinary retention or reduced gastric motility when tapentadol tablets is used concomitantly with anticholinergic drugs.

    Alcohol, Other Opioids, and Drugs of Abuse

    Clinical Impact:

    Due to its mu-opioid agonist activity, tapentadol tablets may be expected to have additive effects when used in conjunction with alcohol, other opioids, or illicit drugs that cause central nervous system depression, respiratory depression, hypotension, and profound sedation, coma or death [see Warnings and Precautions (5.16)].

    Intervention:

    Instruct patients not to consume alcoholic beverages or use prescription or nonprescription products containing alcohol, other opioids, or drugs of abuse while on tapentadol tablets therapy.

    Examples:

    Alcohol, other opioids, illicit drugs

  • 8 USE IN SPECIFIC POPULATIONS

    8.1 Pregnancy

    Risk Summary

    Use of opioid analgesics for an extended period of time during pregnancy may cause neonatal opioid withdrawal syndrome [see Warnings and Precautions (5.4)]. Available data with tapentadol tablets are insufficient to inform a drug-associated risk for major birth defects and miscarriage or adverse maternal outcomes. There are risks to the mother and infant associated with the use of tapentadol tablets for an extended period of time during pregnancy (see Clinical Considerations).

    In animal reproduction studies, embryofetal mortality and structural malformations were observed with subcutaneous administration of tapentadol during organogenesis to rabbits and delays in skeletal maturation were observed in rats at exposures equivalent to and less than the maximum recommended human dose (MRHD), respectively. When administered to pregnant rats during organogenesis and through lactation, increased pup mortality was noted following oral tapentadol exposures to doses equivalent to the MRHD [see Data].

    Based on animal data, advise pregnant women of the potential risk to a fetus.

    The background risk of major birth defects and miscarriage for the indicated population is unknown. All pregnancies have a background risk of birth defect, loss, or other adverse reaction. In the U.S. general population, the estimated background risk of major birth defects and miscarriage in clinically recognized pregnancies is 2-4% and 15-20%, respectively.

    Clinical Considerations

    Fetal/Neonatal Adverse Reactions

    Use of opioid analgesics for an extended period of time during pregnancy for medical or nonmedical purposes can result in physical dependence in the neonate and neonatal opioid withdrawal syndrome shortly after birth.

    Neonatal opioid withdrawal syndrome presents as irritability, hyperactivity and abnormal sleep pattern, high pitched cry, tremor, vomiting, diarrhea and failure to gain weight. The onset, duration, and severity of neonatal opioid withdrawal syndrome vary based on the specific opioid used, duration of use, timing and amount of last maternal use, and rate of elimination of the drug by the newborn. Observe newborns for symptoms of neonatal opioid withdrawal syndrome and manage accordingly [see Warnings and Precautions (5.4)].

    Labor or Delivery

    Opioids cross the placenta and may produce respiratory depression and psycho-physiologic effects in neonates. An opioid overdose reversal agent, such as naloxone or nalmefene, must be available for reversal of opioid-induced respiratory depression in the neonate. Tapentadol tablets are not recommended for use in pregnant women during or immediately prior to labor, when other analgesic techniques are more appropriate. Opioid analgesics, including tapentadol tablets, can prolong labor through actions which temporarily reduce the strength, duration, and frequency of uterine contractions. However, this effect is not consistent and may be offset by an increased rate of cervical dilation, which tends to shorten labor. Monitor neonates exposed to opioid analgesics during labor for signs of excess sedation and respiratory depression.

    Data

    Animal Data

    Tapentadol hydrochloride was evaluated for teratogenic effects in pregnant rats and rabbits following subcutaneous exposure during organogenesis. When tapentadol was administered twice daily by the subcutaneous route in rats at dose levels of 10, 20, or 40 mg/kg/day [producing up to 1 times the plasma exposure at the maximum recommended human dose (MRHD) of 700 mg/day based on an area under the time-curve (AUC) comparison], no teratogenic effects were observed. Evidence of embryofetal toxicity included transient delays in skeletal maturation (i.e. reduced ossification) at the 40 mg/kg/day dose which was associated with significant maternal toxicity.

    Administration of tapentadol HCl in rabbits at doses of 4, 10, or 24 mg/kg/day by subcutaneous injection [producing 0.2, 0.6, and 1.85 times the plasma exposure at the MRHD based on an AUC comparison] revealed embryofetal toxicity at doses ≥10 mg/kg/day. Findings included reduced fetal viability, skeletal delays and other variations. In addition, there were multiple malformations including gastroschisis/thoracogastroschisis, amelia/phocomelia, and cleft palate at doses ≥10 mg/kg/day and above, and ablepharia, encephalopathy, and spina bifida at the high dose of 24 mg/kg/day. Embryofetal toxicity, including malformations, may be secondary to the significant maternal toxicity observed in the study.

    In a study of pre- and postnatal development in rats, oral administration of tapentadol at doses of 20, 50, 150, or 300 mg/kg/day to pregnant and lactating rats during the late gestation and early postnatal period [resulting in up to 1.7 times the plasma exposure at the MRHD on an AUC basis] did not influence physical or reflex development, the outcome of neurobehavioral tests or reproductive parameters. Treatment-related developmental delay was observed, including incomplete ossification, and significant reductions in pup body weights and body weight gains at doses associated with maternal toxicity (150 mg/kg/day and above). At maternal tapentadol doses ≥150 mg/kg/day, a dose-related increase in pup mortality was observed through postnatal Day 4.

    8.2 Lactation

    Risk Summary

    There are no data on the presence of tapentadol in human milk, the effects on the breastfed infant, or the effects on milk production. Tapentadol is present in animal milk. When a drug is present in animal milk, it is likely that the drug will be present in human milk. Infants exposed to tapentadol tablets through breast milk should be monitored for excess sedation and respiratory depression. Withdrawal symptoms can occur in breastfed infants when maternal administration of an opioid analgesic is stopped, or when breastfeeding is stopped.

    The developmental and health benefits of breastfeeding should be considered along with the mother’s clinical need for tapentadol tablets and any potential adverse effects on the breastfed infant from tapentadol tablets or from the underlying maternal condition.

    8.3 Females and Males of Reproductive Potential

    Infertility

    Use of opioids for an extended period of time may cause reduced fertility in females and males of reproductive potential. It is not known whether these effects on fertility are reversible [see Adverse Reactions (6.2), Clinical Pharmacology (12.2)].

    8.4 Pediatric Use

    The safety and effectiveness of tapentadol tablets in pediatric patients less than 6 years of age have not been established.

    The safety and effectiveness of tapentadol tablets in pediatric patients who weigh less than 40 kg have not been established.

    Tapentadol tablets have not been studied in pediatric patients with hepatic or renal impairment; therefore, use in these populations is not recommended.

    Pediatric use information is approved for Collegium Pharmaceutical, Inc.’s NUCYNTA tablets. However, due to Collegium Pharmaceutical, Inc.’s marketing exclusivity rights, this drug product is not labeled with that information.

    8.5 Geriatric Use

    Of the total number of patients in Phase 2/3 double-blind, multiple-dose clinical studies of tapentadol tablets, 19% were 65 and over, while 5% were 75 and over. No overall differences in effectiveness were observed between these patients and younger patients. The rate of constipation was higher in subjects greater than or equal to 65 years than those less than 65 years (12% vs. 7%).

    Elderly patients (aged 65 years or older) may have increased sensitivity to tapentadol. In general, use caution when selecting a dosage for an elderly patient, usually starting at the low end of the dosing range, reflecting the greater frequency of decreased hepatic, renal, or cardiac function and of concomitant disease or other drug therapy.

    Respiratory depression is the chief risk for elderly patients treated with opioids, and has occurred after large initial doses were administered to patients who were not opioid-tolerant or when opioids were co-administered with other agents that depress respiration. Titrate the dosage of tapentadol tablets slowly in geriatric patients and frequently reevaluate the patient for signs of central nervous system and respiratory depression [see Warnings and Precautions (5.2)].

    Tapentadol is known to be substantially excreted by the kidney, and the risk of adverse reactions to this drug may be greater in patients with impaired renal function. Because elderly patients are more likely to have decreased renal function, care should be taken in dose selection, and it may be useful to regularly evaluate renal function.

    8.6 Hepatic Impairment

    Administration of tapentadol resulted in higher exposures and serum levels of tapentadol in subjects with impaired hepatic function compared to subjects with normal hepatic function [see Clinical Pharmacology (12.3)]. Use of tapentadol tablets are not recommended in patients with severe hepatic impairment (Child-Pugh Score 10 to 15) [see Warnings and Precautions (5.17)]. The dose of tapentadol tablets should be reduced in patients with moderate hepatic impairment (Child-Pugh Score 7 to 9) [see Dosage and Administration (2.5)]. No dosage adjustment is recommended in patients with mild hepatic impairment (Child-Pugh Score 5 to 6) [see Warnings and Precautions (5.17), Clinical Pharmacology (12.3)].

    8.7 Renal Impairment

    Use of tapentadol tablets in patients with severe renal impairment (creatinine clearance less than 30 mL/minute) is not recommended. No dosage adjustment is recommended in patients with mild or moderate renal impairment (creatinine clearance 30 to 90 mL/minute) [see Warnings and Precautions (5.18), Clinical Pharmacology (12.1)].

  • 9 DRUG ABUSE AND DEPENDENCE

    9.1 Controlled Substance

    Tapentadol tablets contain tapentadol, a Schedule II controlled substance.

    9.2 Abuse

    Tapentadol tablets contain tapentadol, a substance with a high potential for misuse and abuse, which can lead to the development of substance use disorder, including addiction [see Warnings and Precautions (5.1)].

    Misuse is the intentional use, for therapeutic purposes, of a drug by an individual in a way other than prescribed by a healthcare provider or for whom it was not prescribed.

    Abuse is the intentional, non-therapeutic use of a drug, even once, for its desirable psychological or physiological effects.

    Drug addiction is a cluster of behavioral, cognitive, and physiological phenomena that may include a strong desire to take the drug, difficulties in controlling drug use (e.g., continuing drug use despite harmful consequences, giving a higher priority to drug use than to other activities and obligations), and possible tolerance or physical dependence.

    Misuse and abuse of tapentadol tablet increases risk of overdose, which may lead to central nervous system and respiratory depression, hypotension, seizures, and death. The risk is increased with concurrent abuse of tapentadol tablets with alcohol and/or other CNS depressants. Abuse of and addiction to opioids in some individuals may not be accompanied by concurrent tolerance and symptoms of physical dependence. In addition, abuse of opioids can occur in the absence of addiction.

    All patients treated with opioids require careful and frequent reevaluation for signs of misuse, abuse and addiction, because use of opioid analgesic products carries the risk of addiction even under appropriate medical use. Patients at high risk of tapentadol tablet abuse include those with a history of prolonged use of any opioid, including products containing tapentadol, those with a history of drug or alcohol abuse, or those who use tapentadol tablets in combination with other abused drugs.

    “Drug-seeking” behavior is very common in persons with substance use disorders. Drug-seeking tactics include emergency calls or visits near the end of office hours, refusal to undergo appropriate examination, testing or referral, repeated “loss” of prescriptions, tampering with prescriptions, and reluctance to provide prior medical records or contact information for other treating healthcare provider(s). “Doctor shopping” (visiting multiple prescribers to obtain additional prescriptions) is common among people who abuse drugs and people with substance use disorder. Preoccupation with achieving adequate pain relief can be appropriate behavior in a patient with inadequate pain control.

    Tapentadol tablets, like other opioids, can be diverted for nonmedical use into illicit channels of distribution. Careful record-keeping of prescribing information, including quantity, frequency, and renewal requests, as required by state and federal law, is strongly advised.

    Proper assessment of the patient, proper prescribing practices, periodic reevaluation of therapy, and proper dispensing and storage are appropriate measures that help to limit abuse of opioid drugs.

    Risks Specific to Abuse of Tapentadol Tablets

    Abuse of tapentadol tablets poses a risk of overdose and death. The risk is increased with concurrent use of tapentadol tablets with alcohol and/or other central nervous system depressants.

    Tapentadol tablets are approved for oral use only.

    Parenteral drug abuse is commonly associated with transmission of infectious diseases such as hepatitis and HIV.

    9.3 Dependence

    Both tolerance and physical dependence can develop during use of opioid therapy.

    Tolerance is a physiological state characterized by a reduced response to a drug after repeated administration (i.e., a higher dose of a drug is required to produce the same effect that was once obtained at a lower dose).

    Physical dependence is a state that develops as a result of a physiological adaptation in response to repeated drug use, manifested by withdrawal signs and symptoms after abrupt discontinuation or a significant dose reduction of a drug.

    Withdrawal may be precipitated through the administration of drugs with opioid antagonist activity (e.g., naloxone, nalmefene), mixed agonist/antagonist analgesics (e.g., pentazocine, butorphanol, nalbuphine), or partial agonists (e.g., buprenorphine). Physical dependence may not occur to a clinically significant degree until after several days to weeks of continued use.

    Do not rapidly reduce or abruptly discontinue tapentadol tablets in a patient physically dependent on opioids. Rapid reduction or abruptly discontinuation of tapentadol tablets in a patient physically dependent on opioids may lead to serious withdrawal symptoms, uncontrolled pain, and suicide. Rapid discontinuation has also been associated with attempts to find other sources of opioid analgesics, which may be confused with drug-seeking for abuse.

    When discontinuing tapentadol tablets, gradually taper the dosage using a patient-specific plan that considers the following: the dose of tapentadol tablets the patient has been taking, the duration of treatment, and the physical and psychological attributes of the patient. To improve the likelihood of a successful taper and minimize withdrawal symptoms, it is important that the opioid tapering schedule is agreed upon by the patient. In patients taking opioids for an extended period of time at high doses, ensure that a multimodal approach to pain management, including mental health support (if needed), is in place prior to initiating an opioid analgesic taper [see Dosage and Administration (2.7), Warnings and Precautions (5.13)].

    Infants born to mothers physically dependent on opioids will also be physically dependent and may exhibit respiratory difficulties and withdrawal signs [see Use in Specific Populations (8.1)].

  • 10 OVERDOSAGE

    Clinical Presentation

    Acute overdosage with tapentadol can be manifested by respiratory depression, somnolence progressing to stupor or coma, skeletal muscle flaccidity, cold and clammy skin, constricted pupils, and, in some cases, pulmonary edema, bradycardia, hypotension, hypoglycemia, partial or complete airway obstruction, atypical snoring, and death. Marked mydriasis rather than miosis may be seen due to severe hypoxia in overdose situations [see Clinical Pharmacology (12.2)]. Toxic leukoencephalopathy has been reported after opioid overdose and can present hours, days, or weeks after apparent recovery from the initial intoxication.

    Treatment of Overdose

    In case of overdose, priorities are the reestablishment of a patent and protected airway and institution of assisted or controlled ventilation if needed. Employ other supportive measures (including oxygen and vasopressors) in the management of circulatory shock and pulmonary edema as indicated. Cardiac arrest or arrhythmias will require advanced life support measures.

    For clinically significant respiratory or circulatory depression secondary to opioid overdose, administer an opioid overdose reversal agent such as naloxone or nalmefene.

    Because the duration of opioid reversal is expected to be less than the duration of action of tapentadol in tapentadol tablets, carefully monitor the patient until spontaneous respiration is reliably reestablished. If the response to an opioid overdose reversal agent is suboptimal or only brief in nature, administer additional reversal agent as directed in the product’s prescribing information.

    In an individual physically dependent on opioids, administration of the recommended usual dosage of the opioid overdose reversal agent will precipitate an acute withdrawal syndrome. The severity of the withdrawal symptoms experienced will depend on the degree of physical dependence and the dose of the reversal agent administered. If a decision is made to treat serious respiratory depression in the physically dependent patient, administration of the reversal agent should be begun with care and by titration with smaller than usual doses of the reversal agent.

  • 11 DESCRIPTION

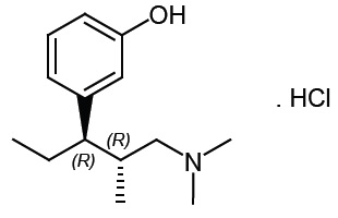
    Tapentadol tablets are a mu-opioid receptor agonist, available in immediate-release film-coated tablets for oral administration, containing 58.24, 87.36 and 116.48 mg of tapentadol hydrochloride in each tablet strength, equivalent to 50, 75, and 100 mg of tapentadol free-base, respectively. The chemical name is 3-[(1R, 2R)-3-(dimethylamino)-1-ethyl-2- methylpropyl] phenol monohydrochloride, and it has the following chemical structure:

    structure-formula.jpg

    The molecular weight of tapentadol hydrochloride is 257.80, and the molecular formula is C14H23NO·HCl. The n-octanol: water partition coefficient log P value is 2.87. The pKa values are 9.34 and 10.45.

    The inactive ingredients in tapentadol tablets include: colloidal silicon dioxide, copovidone, croscarmellose sodium, magnesium stearate, and microcrystalline cellulose. The film coatings for all tablet strengths contain macrogol/peg 4000, polyvinyl alcohol-part hydrolyzed, talc, titanium dioxide; the film coatings for the 50 mg tablets also contain caramel; the film coatings for the 75 mg tablets contain D&C yellow #10 aluminum lake and FD&C red #40/allura red AC aluminum lake; the film coatings for the 100 mg tablets contain FD&C red #40/allura red AC aluminum lake and FD&C yellow #6/sunset yellow FCF aluminum lake.

  • 12 CLINICAL PHARMACOLOGY

    12.1 Mechanism of Action

    Tapentadol is a centrally-acting synthetic analgesic. The exact mechanism of action is unknown. Although the clinical relevance is unclear, preclinical studies have shown that tapentadol is a mu-opioid receptor (MOR) agonist and a norepinephrine reuptake inhibitor (NRI). Analgesia in animal models is derived from both of these properties.

    12.2 Pharmacodynamics

    Effects on the Central Nervous System

    Tapentadol produces respiratory depression by direct action on the brainstem respiratory centers. The respiratory depression involves a reduction in the responsiveness of the brain stem respiratory centers to both increases in carbon dioxide tension and electrical stimulation.

    Tapentadol causes miosis, even in total darkness. Pinpoint pupils are a sign of opioid overdose but are not pathognomonic (e.g., pontine lesions of hemorrhagic or ischemic origin may produce similar findings). Marked mydriasis rather than miosis may be seen with hypoxia in overdose situations.

    Effects on the Gastrointestinal Tract and Other Smooth Muscle

    Tapentadol causes a reduction in motility associated with an increase in smooth muscle tone in the antrum of the stomach and duodenum. Digestion of food in the small intestine is delayed and propulsive contractions are decreased. Propulsive peristaltic waves in the colon are decreased, while tone may be increased to the point of spasm, resulting in constipation. Other opioid-induced effects may include a reduction in biliary and pancreatic secretions, spasm of sphincter of Oddi, and transient elevations in serum amylase, and opioid-induced esophageal dysfunction (OIED).

    Effects on the Cardiovascular System

    There was no effect of therapeutic and supratherapeutic doses of tapentadol on the QT interval. In a randomized, double-blind, placebo- and positive-controlled crossover study, healthy subjects were administered five consecutive doses of tapentadol 100 mg every 6 hours, tapentadol 150 mg every 6 hours, placebo and a single oral dose of moxifloxacin. Similarly, tapentadol had no relevant effect on other ECG parameters (heart rate, PR interval, QRS duration, T-wave or U-wave morphology).

    Tapentadol produces peripheral vasodilation which may result in orthostatic hypotension or syncope. Manifestations of histamine release and/or peripheral vasodilation may include pruritus, flushing, red eyes, sweating, and/or orthostatic hypotension.

    Effects on the Endocrine System

    Opioids inhibit the secretion of adrenocorticotropic hormone (ACTH), cortisol, and luteinizing hormone (LH) in humans [see Adverse Reactions (6.2)]. They also stimulate prolactin, growth hormone (GH) secretion, and pancreatic secretion of insulin and glucagon.

    Use of opioids for an extended period of time may influence the hypothalamic-pituitary-gonadal axis, leading to androgen deficiency that may manifest as low libido, impotence, erectile dysfunction, amenorrhea, or infertility. The causal role of opioids in the clinical syndrome of hypogonadism is unknown because the various medical, physical, lifestyle, and psychological stressors that may influence gonadal hormone levels have not been adequately controlled for in studies conducted to date [see Adverse Reactions (6.2)].

    Effects on the Immune System

    Opioids have been shown to have a variety of effects on components of the immune system in in vitro and animal models. The clinical significance of these findings is unknown. Overall, the effects of opioids appear to be modestly immunosuppressive.

    Concentration-Efficacy Relationships

    The minimum effective analgesic concentration will vary widely among patients, especially among patients who have been previously treated with opioid agonists. The minimum effective analgesic concentration of tapentadol for any individual patient may increase over time due to an increase in pain, the development of a new pain syndrome, and/or the development of analgesic tolerance [see Dosage and Administration (2.1, 2.6)].

    Concentration-Adverse Experience Relationships

    There is a relationship between increasing tapentadol plasma concentration and increasing frequency of dose-related adverse reactions such as nausea, vomiting, CNS effects, and respiratory depression. In opioid-tolerant patients, the situation may be altered by the development of tolerance to opioid-related adverse reactions [see Dosage and Administration (2.1, 2.6)].

    12.3 Pharmacokinetics

    Absorption

    The mean absolute bioavailability after single-dose administration (fasting) of tapentadol is approximately 32% due to extensive first-pass metabolism. Maximum serum concentrations of tapentadol are typically observed at around 1.25 hours after dosing.

    Dose-proportional increases in the Cmax and AUC values of tapentadol have been observed over the 50 to 150 mg dose range.

    A multiple (every 6 hour) dose study with doses ranging from 75 to 175 mg tapentadol showed a mean accumulation factor of 1.6 for the parent drug and 1.8 for the major metabolite tapentadol-O-glucuronide, which are primarily determined by the dosing interval and apparent half-life of tapentadol and its metabolite.

    Food Effect

    The AUC and Cmax increased by 25% and 16%, respectively, when tapentadol was administered after a high-fat, high-calorie breakfast. Tapentadol may be given with or without food.

    Distribution

    Tapentadol is widely distributed throughout the body. Following intravenous administration, the volume of distribution (Vz) for tapentadol is 540 +/- 98 L. The plasma protein binding is low and amounts to approximately 20%.

    Elimination

    Metabolism

    In humans, about 97% of the parent compound is metabolized. Tapentadol is mainly metabolized via Phase 2 pathways, and only a small amount is metabolized by Phase 1 oxidative pathways. The major pathway of tapentadol metabolism is conjugation with glucuronic acid to produce glucuronides. After oral administration approximately 70% (55% O-glucuronide and 15% sulfate of tapentadol) of the dose is excreted in urine in the conjugated form. A total of 3% of drug was excreted in urine as unchanged drug. Tapentadol is additionally metabolized to N-desmethyl tapentadol (13%) by CYP2C9 and CYP2C19 and to hydroxy tapentadol (2%) by CYP2D6, which are further metabolized by conjugation. Therefore, drug metabolism mediated by cytochrome P450 system is of less importance than phase 2 conjugation.

    None of the metabolites contribute to the analgesic activity.

    Excretion

    Tapentadol and its metabolites are excreted almost exclusively (99%) via the kidneys. The terminal half-life is on average 4 hours after oral administration. The total clearance is 1530 +/- 177 mL/min.

    Specific Populations

    Age: Geriatric Population

    The mean exposure (AUC) to tapentadol was similar in elderly subjects compared to young adults, with a 16% lower mean Cmax observed in the elderly subject group compared to young adult subjects.

    Hepatic Impairment

    Administration of tapentadol resulted in higher exposures and serum levels to tapentadol in subjects with impaired hepatic function compared to subjects with normal hepatic function. The ratio of tapentadol pharmacokinetic parameters for the mild hepatic impairment group (Child-Pugh Score 5 to 6) and moderate hepatic impairment group (Child-Pugh Score 7 to 9) in comparison to the normal hepatic function group were 1.7 and 4.2, respectively, for AUC; 1.4 and 2.5, respectively, for Cmax; and 1.2 and 1.4, respectively, for t1/2. The rate of formation of tapentadol-O-glucuronide was lower in subjects with increased liver impairment.

    Renal Impairment

    AUC and Cmax of tapentadol were comparable in subjects with varying degrees of renal function (from normal to severely impaired). In contrast, increasing exposure (AUC) to tapentadol-O-glucuronide was observed with increasing degree of renal impairment. In subjects with mild (CLCR = 50 to <80 mL/min), moderate (CLCR = 30 to <50 mL/min), and severe (CLCR = <30 mL/min) renal impairment, the AUC of tapentadol-O-glucuronide was 1.5-, 2.5-, and 5.5- fold higher compared with normal renal function, respectively.

    Drug Interaction Studies

    Pharmacokinetic Drug Interactions

    Tapentadol is mainly metabolized by Phase 2 glucuronidation, a high capacity/low affinity system; therefore, clinically relevant interactions caused by Phase 2 metabolism are unlikely to occur. Naproxen and probenecid increased the AUC of tapentadol by 17% and 57%, respectively. These changes are not considered clinically relevant and no change in dose is required.

    No changes in the pharmacokinetic parameters of tapentadol were observed when acetaminophen and acetylsalicylic acid were given concomitantly.

    In vitro studies did not reveal any potential of tapentadol to either inhibit or induce cytochrome P450 enzymes. Furthermore, a minor amount of tapentadol is metabolized via the oxidative pathway. Thus, clinically relevant interactions mediated by the cytochrome P450 system are unlikely to occur.

    The pharmacokinetics of tapentadol were not affected when gastric pH or gastrointestinal motility were increased by omeprazole and metoclopramide, respectively.

    Plasma protein binding of tapentadol is low (approximately 20%). Therefore, the likelihood of pharmacokinetic drug-drug interactions by displacement from the protein binding site is low.

    Pediatric use information is approved for Collegium Pharmaceutical, Inc.’s NUCYNTA tablets. However, due to Collegium Pharmaceutical, Inc.’s marketing exclusivity rights, this drug product is not labeled with that information.

  • 13 NONCLINICAL TOXICOLOGY

    13.1 Carcinogenesis, Mutagenesis, Impairment of Fertility

    Carcinogenesis

    Tapentadol was administered to rats (diet) and mice (oral gavage) for two years.

    In mice, tapentadol hydrochloride was administered by oral gavage at dosages of 50, 100 and 200 mg/kg/day for 2 years (up to 0.2 times the plasma exposure at the maximum recommended human dose [MRHD] on an area under the time-curve [AUC] basis). No increase in tumor incidence was observed at any dose level.

    In rats, tapentadol HCl was administered in diet at dosages of 10, 50, 125 and 250 mg/kg/day for two years (up to 0.2 times in the male rats and 0.6 times in the female rats the MRHD on an AUC basis). No increase in tumor incidence was observed at any dose level.

    Mutagenesis

    Tapentadol did not induce gene mutations in bacteria, but was clastogenic with metabolic activation in a chromosomal aberration test in V79 cells. The test was repeated and was negative in the presence and absence of metabolic activation. The one positive result for tapentadol was not confirmed in vivo in rats, using the two endpoints of chromosomal aberration and unscheduled DNA synthesis, when tested up to the maximum tolerated dose.

    Impairment of Fertility

    Tapentadol hydrochloride was administered intravenously to male or female rats at dosages of 3, 6, or 12 mg/kg/day (representing exposures of up to approximately 0.4 times the exposure at the MRHD on an AUC basis, based on extrapolation from toxicokinetic analyses in a separate 4-week intravenous study in rats). Tapentadol did not alter fertility at any dose level. Maternal toxicity and adverse effects on embryonic development, including decreased number of implantations, decreased numbers of live conceptuses, and increased pre- and post-implantation losses occurred at dosages ≥6 mg/kg/day.

    13.2 Animal Toxicology and/or Pharmacology

    In toxicological studies with tapentadol, the most common systemic effects of tapentadol were related to the mu-opioid receptor agonist and norepinephrine reuptake inhibition pharmacodynamic properties of the compound. Transient, dose-dependent and predominantly CNS-related findings were observed, including impaired respiratory function and convulsions, the latter occurring in the dog at plasma levels (Cmax) which are in the range associated with the maximum recommended human dose (MRHD).

  • 14 CLINICAL STUDIES

    14.1 Clinical Studies in Adult Patients

    The efficacy and safety of tapentadol tablets in the treatment of acute pain has been established in two randomized, double-blind, placebo- and active-controlled studies of moderate to severe pain from first metatarsal bunionectomy and end-stage degenerative joint disease.

    Orthopedic Surgery – Bunionectomy

    A randomized, double-blind, parallel-group, active- and placebo-controlled, multiple-dose study demonstrated the efficacy of 50 mg, 75 mg, and 100 mg tapentadol tablets given every 4 to 6 hours for 72 hours in patients aged 18 to 80 years experiencing moderate to severe pain following unilateral, first metatarsal bunionectomy surgery. Patients who qualified for the study with a baseline pain score of >4 on an 11-point rating scale ranging from 0 to 10 were randomized to 1 of 5 treatments. Patients were allowed to take a second dose of study medication as soon as 1 hour after the first dose on study Day 1, with subsequent dosing every 4 to 6 hours. If rescue analgesics were required, the patients were discontinued for lack of efficacy. Efficacy was evaluated by comparing the sum of pain intensity difference over the first 48 hours (SPID48) versus placebo. Tapentadol tablets at each dose provided a greater reduction in pain compared to placebo based on SPID48 values.

    For various degrees of improvement from baseline to the 48-hour endpoint, Figure 1 shows the fraction of patients achieving that level of improvement. The figures are cumulative, such that every patient that achieves a 50% reduction in pain from baseline is included in every level of improvement below 50%. Patients who did not complete the 48-hour observation period in the study were assigned 0% improvement.

    •   Figure 1: Percentage of Patients Achieving Various Levels of Pain Relief as Measured by Pain Severity at 48 Hours Compared to Baseline- Post Operative Bunionectomy
    •  
      figure-01

    The proportions of patients who showed reduction in pain intensity at 48 hours of 30% or greater, or 50% or greater were significantly higher in patients treated with tapentadol tablets at each dose versus placebo.

    End-Stage Degenerative Joint Disease

    A randomized, double-blind, parallel-group, active- and placebo-controlled, multiple-dose study evaluated the efficacy and safety of 50 mg and 75 mg tapentadol tablets given every 4 to 6 hours during waking hours for 10 days in patients aged 18 to 80 years, experiencing moderate to severe pain from end stage degenerative joint disease of the hip or knee, defined as a 3-day mean pain score of ≥5 on an 11-point pain intensity scale, ranging from 0 to 10. Pain scores were assessed twice daily and assessed the pain the patient had experienced over the previous 12 hours. Patients were allowed to continue non-opioid analgesic therapy for which they had been on a stable regimen before screening throughout the study. Eighty-three percent (83%) of patients in the tapentadol treatment groups and the placebo group took such analgesia during the study. The 75 mg treatment group was dosed at 50 mg for the first day of the study, followed by 75 mg for the remaining nine days. Patients requiring rescue analgesics other than study medication were discontinued for lack of efficacy. Efficacy was evaluated by comparing the sum of pain intensity difference (SPID) versus placebo over the first five days of treatment. Tapentadol tablets 50 mg and 75 mg provided improvement in pain compared with placebo based on the 5-Day SPID.

    For various degrees of improvement from baseline to the Day 5 endpoint, Figure 2 shows the fraction of patients achieving that level of improvement. The figures are cumulative, such that every patient that achieves a 50% reduction in pain from baseline is included in every level of improvement below 50%. Patients who did not complete the 5-day observation period in the study were assigned 0% improvement.

    •   Figure 2: Percentage of Patients Achieving Various Levels of Pain Relief as Measured by Average Pain Severity for the Previous 12 hours, Measured on Study Day 5 Compared to Baseline -- End Stage Degenerative Joint Disease
    figure-02

    The proportions of patients who showed reduction in pain intensity at 5 days of 30% or greater, or 50% or greater were significantly higher in patients treated with tapentadol tablets at each dose versus placebo.

    Pediatric use information is approved for Collegium Pharmaceutical, Inc.’s NUCYNTA tablets. However, due to Collegium Pharmaceutical, Inc.’s marketing exclusivity rights, this drug product is not labeled with that information.

  • 16 HOW SUPPLIED/STORAGE AND HANDLING

    Tapentadol tablets are available in the following strengths and packages. All tablets are round and biconvex-shaped.

    50 mg tablets are round biconvex, beige film-coated tablet debossed "50" above “ imprint.jpg ” on one side and plain on the other side, are available in bottles of 100 (NDC: 42806-626-01).

    75 mg tablets are round biconvex, pink-orange film-coated tablet debossed "75" above “ imprint.jpg ” on one side and plain on the other side, are available in bottles of 100 (NDC: 42806-627-01).

    100 mg tablets are round biconvex, orange film-coated tablet debossed "100" above “ imprint.jpg ” on one side and plain on the other side, are available in bottles of 100 (NDC: 42806-628-01).

    Storage and Handling

    Store at 20ºC to 25°C (68°F to 77ºF); excursions permitted to 15ºC to 30ºC (59ºF to 86ºF) [see USP Controlled Room Temperature]. Protect from moisture.

    Keep tapentadol tablets in a secure place out of reach of children.

    Tapentadol tablets that are no longer needed should be destroyed by flushing down the toilet.

    Store tapentadol tablets securely and dispose of properly [see Patient Counseling Information (17)].

  • 17 PATIENT COUNSELING INFORMATION

    Advise the patient to read the FDA-approved patient labeling (Medication Guide).

    Storage and Disposal

    Because of the risks associated with accidental ingestion, misuse, and abuse, advise patients to store tapentadol tablets securely, out of sight and reach of children, and in a location not accessible by others, including visitors to the home. Inform patients that leaving tapentadol tablets unsecured can pose a deadly risk to others in the home [see Warnings and Precautions (5.1, 5.2), Drug Abuse and Dependence (9.2)].

    Advise patients and caregivers that when medicines are no longer needed, they should be disposed of promptly. Expired, unwanted, or unused tapentadol tablets should be disposed of by flushing the unused medication down the toilet if a drug take-back option is not readily available. Inform patients that they can visit www.fda.gov/drugdisposal for a complete list of medicines recommended for disposal by flushing, as well as additional information on disposal of unused medicines.

    Addiction, Abuse, and Misuse

    Inform patients that the use of tapentadol tablets, even when taken as recommended, can result in addiction, abuse, and misuse, which can lead to overdose and death [see Warnings and Precautions (5.1)]. Instruct patients not to share tapentadol tablets with others and to take steps to protect tapentadol tablets from theft or misuse.

    Life-Threatening Respiratory Depression

    Inform patients of the risk of life-threatening respiratory depression, including information that the risk is greatest when starting tapentadol tablets or when the dosage is increased, and that it can occur even at recommended dosages.

    Educate patients and caregivers on how to recognize respiratory depression and emphasize the importance of calling 911 or getting emergency medical help right away in the event of a known or suspected overdose [see Warnings and Precautions (5.2)].

    Accidental Ingestion

    Inform patients that accidental ingestion, especially by children, may result in respiratory depression or death [see Warnings and Precautions (5.2)].

    Interactions with Benzodiazepines and other CNS Depressants

    Inform patients and caregivers that potentially fatal additive effects may occur if tapentadol tablets are used with benzodiazepines or other CNS depressants including alcohol (e.g., nonbenzodiazepine sedative/hypnotics, anxiolytics, tranquilizers, muscle relaxants, general anesthetics, antipsychotics, gabapentinoids [gabapentin or pregabalin], and other opioids), and not to use these concomitantly unless supervised by a health care provider [see Warnings and Precautions (5.3),Drug Interactions (7)].

    Patient Access to an Opioid Overdose Reversal Agent for the Emergency Treatment of Opioid Overdose

    Inform patients and caregivers about opioid overdose reversal agents (e.g., naloxone, nalmefene). Discuss the importance of having access to an opioid overdose reversal agent, especially if the patient has risk factors for overdose (e.g., concomitant use of CNS depressants, a history of opioid use disorder, or prior opioid overdose) or if there are household members (including children) or other close contacts at risk for accidental ingestion or opioid overdose.

    Discuss with the patient the options for obtaining an opioid overdose reversal agent (e.g., prescription, over-the-counter, or as part of a community-based program) [see Dosage and Administration (2.2), Warnings and Precautions (5.2)].

    Educate patients and caregivers on how to recognize the signs and symptoms of an overdose.

    Explain to patients and caregivers that effects of opioid overdose reversal agents like naloxone and nalmefene are temporary, and that they must call 911 or get emergency medical help right away in all cases of known or suspected opioid overdose, even if an opioid overdose reversal agent is administered [see Overdosage (10)].

    Advise patients and caregivers:

    • how to treat with the overdose reversal agent in the event of an opioid overdose
    • to tell family and friends about their opioid overdose reversal agent, and to keep it in a place where family and friends can access it in an emergency
    • to read the Patient Information (or other educational material) that will come with their opioid overdose reversal agent. Emphasize the importance of doing this before an opioid emergency happens, so the patient and caregiver will know what to do.

    Hyperalgesia and Allodynia

    Inform patients and caregivers not to increase opioid dosage without first consulting a clinician. Advise patients to seek medical attention if they experience symptoms of hyperalgesia, including worsening pain, increased sensitivity to pain, or new pain [see Warnings and Precautions (5.5),Adverse Reactions (6.2)].

    Serotonin Syndrome

    Inform patients that opioids could cause a rare but potentially life-threatening condition called serotonin syndrome resulting from concomitant administration of serotonergic drugs. Warn patients of the symptoms of serotonin syndrome and to seek medical attention right away if symptoms develop. Instruct patients to inform their healthcare providers if they are taking, or plan to take serotonergic medications [see Warnings and Precautions (5.7), Drug Interactions (7)].

    MAOI Interaction

    Inform patients not to take tapentadol tablets while using any drugs that inhibit monoamine oxidase. Patients should not start MAOIs while taking tapentadol tablets [see Warnings and Precautions (5.7), Drug Interactions (7)].

    Important Administration Instructions

    Instruct patients how to properly take tapentadol tablets, including the following:

    • Advise patients not to adjust the dose of tapentadol tablets without consulting with a physician or other healthcare professional.

    Important Discontinuation Instructions

    • In order to avoid developing withdrawal symptoms, instruct patients not to discontinue tapentadol tablets without first discussing a tapering plan with the prescriber [see Dosage and Administration (2.7)].

    Driving or Operating Heavy Machinery

    Inform patients that tapentadol tablets may impair the ability to perform potentially hazardous activities such as driving a car or operating heavy machinery. Advise patients not to perform such tasks until they know how they will react to the medication [see Warnings and Precautions (5.15)].

    Constipation

    Advise patients of the potential for severe constipation, including management instructions and when to seek medical attention [see Adverse Reactions (6.1)].

    Adrenal Insufficiency

    Inform patients that opioids could cause adrenal insufficiency, a potentially life-threatening condition. Adrenal insufficiency may present with non-specific symptoms and signs such as nausea, vomiting, anorexia, fatigue, weakness, dizziness, and low blood pressure. Advise patients to seek medical attention if they experience a constellation of these symptoms [see Warnings and Precautions (5.9)].

    Hypotension

    Inform patients that tapentadol tablets may cause orthostatic hypotension and syncope. Instruct patients how to recognize symptoms of low blood pressure and how to reduce the risk of serious consequences should hypotension occur (e.g., sit or lie down, carefully rise from a sitting or lying position) [see Warnings and Precautions (5.10)].

    Anaphylaxis

    Inform patients that anaphylaxis has been reported with ingredients contained in tapentadol tablets. Advise patients how to recognize such a reaction and when to seek medical attention [see Contraindications (4), Adverse Reactions (6.2)].

    Pregnancy

    Neonatal Opioid Withdrawal Syndrome

    Inform female patients of reproductive potential that use of tapentadol tablets for an extended period of time during pregnancy can result in neonatal opioid withdrawal syndrome, which may be life-threatening if not recognized and treated [see Warnings and Precautions (5.4), Use in Specific Populations (8.1)].

    Embryo-Fetal Toxicity

    Inform female patients of reproductive potential that tapentadol tablets can cause fetal harm and to inform the healthcare provider of a known or suspected pregnancy [see Use in Specific Populations (8.1)].

    Lactation

    Advise nursing mothers to carefully observe infants for increased sleepiness (more than usual), breathing difficulties, or limpness. Instruct nursing mothers to seek immediate medical care if they notice these signs [see Use in Specific Populations (8.2)].

    Infertility

    Inform patients that use of opioids for an extended period of time may cause reduced fertility. It is not known whether these effects on fertility are reversible [see Use in Specific Populations (8.3)].

    Distributed by:

    Epic Pharma, LLC

    Laurelton, NY 11413

    Rev. 01-2026-00

    MF626REV01/26

    OE2985 

  • Medication Guide

    Medication Guide

    Tapentadol (ta-PEN-ta-dol)

    tablets CII

    Rx Only

    Tapentadol tablets are:

    • A strong prescription pain medicine that contains an opioid (narcotic) that is used to manage short term (acute) pain in adults, when other pain treatments such as non-opioid pain medicines do not treat your pain well enough or you cannot tolerate them.
    • An opioid pain medicine that can put you at risk for overdose and death. Even if you take your dose correctly as prescribed you are at risk for opioid addiction, abuse, and misuse that can lead to death.

    Important information about tapentadol tablets:

    • Get emergency help or call 911 right away if you take too much tapentadol (overdose) tablets. When you first start taking tapentadol tablets, when your dose is changed, or if you take too much (overdose), serious or life-threatening breathing problems that can lead to death may occur. Ask your healthcare provider about medicines like naloxone or nalmefene that can be used in an emergency to reverse an opioid overdose.
    • Taking tapentadol tablets with other opioid medicines, benzodiazepines, gabapentinoids (gabapentin or pregabalin), alcohol, or other central nervous system depressants (including street drugs) can cause severe drowsiness, decreased awareness, breathing problems, coma, and death.
    • Never give anyone else your tapentadol tablets. They could die from taking it. Selling or giving away tapentadol tablets is against the law.
    • Store tapentadol tablets securely, out of sight and reach of children, and in a location not accessible by others, including visitors to the home.

    Do not take tapentadol tablets if you have:

    • severe asthma, trouble breathing, or other lung problems.
    • a bowel blockage or have narrowing of the stomach or intestines.

    Before taking tapentadol tablets, tell your healthcare provider if you have a history of:

    • head injury, seizures ● liver, kidney, thyroid problems
    • problems urinating ● pancreas or gallbladder problems
    • abuse of street or prescription drugs, alcohol addiction, opioid overdose or mental health problems.

    Tell your healthcare provider if you are:

    • noticing your pain getting worse. If your pain gets worse after you take tapentadol tablets, do not take more tapentadol tablets without first talking to your healthcare provider. Tell your healthcare provider if the pain that you have increases, if you feel more sensitive to pain, or if you have new pain after taking tapentadol tablets.
    • pregnant or planning to become pregnant. Prolonged use of tapentadol tablets during pregnancy can cause withdrawal symptoms in your newborn baby that could be life-threatening if not recognized and treated.
    • breastfeeding. Tapentadol tablets pass into breast milk and may harm your baby. Carefully observe infants for increased sleepiness (more than usual), breathing difficulties, or limpness. Seek immediate medical care if you notice these signs.
    • living in a household where there are small children or someone who has abused street or prescription drugs.
    • taking prescription or over-the-counter medicines, vitamins, or herbal supplements. Taking tapentadol tablets with certain other medicines can cause serious side effects that could lead to death.

    When taking tapentadol tablets:

    • Do not change your dose. Take tapentadol tablets exactly as prescribed by your healthcare provider. Use the lowest dose possible for the shortest time needed.
    • For acute (short-term) pain, you may only need to take tapentadol tablets for a few days. You may have some tapentadol tablets left over that you did not use. See disposal information at the bottom of this section for directions on how to safely throw away (dispose of) your unused tapentadol tablets.
    • Take your prescribed dose every 4-6 hours as needed for pain, at the same time every day. Do not take more than your prescribed dose. If you miss a dose, take your next dose at your usual time.
    • Call your healthcare provider if the dose you are taking does not control your pain.
    • If you have been taking tapentadol tablets regularly, do not stop taking tapentadol tablets without talking to your healthcare provider.
    • Dispose of expired, unwanted, or unused tapentadol tablets by promptly flushing down the toilet, if a drug takeback option is not readily available. Visit www.fda.gov/drugdisposal for additional information on disposal of unused medicines.

    While taking tapentadol tablets DO NOT:

    • Drive or operate heavy machinery, until you know how tapentadol tablets affect you. Tapentadol tablets can make you sleepy, dizzy, or lightheaded.
    • Drink alcohol or use prescription or over-the-counter medicines that contain alcohol. Using products containing alcohol during treatment with tapentadol tablets may cause you to overdose and die.

    The possible side effects of tapentadol tablets:

    • constipation, nausea, sleepiness, vomiting, tiredness, headache, dizziness, abdominal pain. Call your healthcare provider if you have any of these symptoms and they are severe.

    Get emergency medical help or call 911 right away if you have:

    • trouble breathing, shortness of breath, fast heartbeat, chest pain, swelling of your face, tongue, or throat, extreme drowsiness, light-headedness when changing positions, feeling faint, agitation, high body temperature, trouble walking, stiff muscles, or mental changes such as confusion.

    These are not all the possible side effects of tapentadol tablets. Call your healthcare provider for medical advice about side effects. You may report side effects to FDA at 1-800-FDA-1088. For more information go to fda.report.

    Pediatric use information is approved for Collegium Pharmaceutical, Inc.’s NUCYNTA tablets. However, due to Collegium Pharmaceutical, Inc.’s marketing exclusivity rights, this drug product is not labeled with that information.

    This Medication Guide has been approved by the U.S. Food and Drug Administration.

    Distributed by:

    Epic Pharma, LLC

    Laurelton, NY 11413

    OE2990

    Rev. 12-2025-00

  • PACKAGE/LABEL PRINCIPAL DISPLAY PANEL – 50 mg 100ct

    50mg-100ct
  • PACKAGE/LABEL PRINCIPAL DISPLAY PANEL- 75 mg 100ct

    75mg-100ct
  • PACKAGE/LABEL PRINCIPAL DISPLAY PANEL – 100 mg 100ct

    100mg-100ct
  • INGREDIENTS AND APPEARANCE
    TAPENTADOL HYDROCHLORIDE 
    tapentadol hydrochloride tablet, film coated
    Product Information
    Product TypeHUMAN PRESCRIPTION DRUGItem Code (Source)NDC: 42806-626
    Route of AdministrationORALDEA ScheduleCII    
    Active Ingredient/Active Moiety
    Ingredient NameBasis of StrengthStrength
    TAPENTADOL HYDROCHLORIDE (UNII: 71204KII53) (TAPENTADOL - UNII:H8A007M585) TAPENTADOL50 mg
    Inactive Ingredients
    Ingredient NameStrength
    SILICON DIOXIDE (UNII: ETJ7Z6XBU4)  
    COPOVIDONE K25-31 (UNII: D9C330MD8B)  
    CROSCARMELLOSE SODIUM (UNII: M28OL1HH48)  
    MAGNESIUM STEARATE (UNII: 70097M6I30)  
    MICROCRYSTALLINE CELLULOSE (UNII: OP1R32D61U)  
    POLYETHYLENE GLYCOL 4000 (UNII: 4R4HFI6D95)  
    POLYVINYL ALCOHOL, UNSPECIFIED (UNII: 532B59J990)  
    TALC (UNII: 7SEV7J4R1U)  
    TITANIUM DIOXIDE (UNII: 15FIX9V2JP)  
    CARAMEL (UNII: T9D99G2B1R)  
    Product Characteristics
    ColorYELLOW (BEIGE) Scoreno score
    ShapeROUND (BICONVEX) Size7mm
    FlavorImprint Code 50
    Contains    
    Packaging
    #Item CodePackage DescriptionMarketing Start DateMarketing End Date
    1NDC: 42806-626-01100 in 1 BOTTLE; Type 0: Not a Combination Product12/31/2021
    Marketing Information
    Marketing CategoryApplication Number or Monograph CitationMarketing Start DateMarketing End Date
    ANDAANDA21437812/31/2021
    TAPENTADOL HYDROCHLORIDE 
    tapentadol hydrochloride tablet, film coated
    Product Information
    Product TypeHUMAN PRESCRIPTION DRUGItem Code (Source)NDC: 42806-627
    Route of AdministrationORALDEA ScheduleCII    
    Active Ingredient/Active Moiety
    Ingredient NameBasis of StrengthStrength
    TAPENTADOL HYDROCHLORIDE (UNII: 71204KII53) (TAPENTADOL - UNII:H8A007M585) TAPENTADOL75 mg
    Inactive Ingredients
    Ingredient NameStrength
    SILICON DIOXIDE (UNII: ETJ7Z6XBU4)  
    COPOVIDONE K25-31 (UNII: D9C330MD8B)  
    CROSCARMELLOSE SODIUM (UNII: M28OL1HH48)  
    MAGNESIUM STEARATE (UNII: 70097M6I30)  
    MICROCRYSTALLINE CELLULOSE (UNII: OP1R32D61U)  
    POLYETHYLENE GLYCOL 4000 (UNII: 4R4HFI6D95)  
    POLYVINYL ALCOHOL, UNSPECIFIED (UNII: 532B59J990)  
    TALC (UNII: 7SEV7J4R1U)  
    TITANIUM DIOXIDE (UNII: 15FIX9V2JP)  
    D&C YELLOW NO. 10 (UNII: 35SW5USQ3G)  
    FD&C RED NO. 40 (UNII: WZB9127XOA)  
    Product Characteristics
    ColorPINK (Orange) Scoreno score
    ShapeROUND (BICONVEX) Size8mm
    FlavorImprint Code 75
    Contains    
    Packaging
    #Item CodePackage DescriptionMarketing Start DateMarketing End Date
    1NDC: 42806-627-01100 in 1 BOTTLE; Type 0: Not a Combination Product12/31/2021
    Marketing Information
    Marketing CategoryApplication Number or Monograph CitationMarketing Start DateMarketing End Date
    ANDAANDA21437812/31/2021
    TAPENTADOL HYDROCHLORIDE 
    tapentadol hydrochloride tablet, film coated
    Product Information
    Product TypeHUMAN PRESCRIPTION DRUGItem Code (Source)NDC: 42806-628
    Route of AdministrationORALDEA ScheduleCII    
    Active Ingredient/Active Moiety
    Ingredient NameBasis of StrengthStrength
    TAPENTADOL HYDROCHLORIDE (UNII: 71204KII53) (TAPENTADOL - UNII:H8A007M585) TAPENTADOL100 mg
    Inactive Ingredients
    Ingredient NameStrength
    SILICON DIOXIDE (UNII: ETJ7Z6XBU4)  
    COPOVIDONE K25-31 (UNII: D9C330MD8B)  
    CROSCARMELLOSE SODIUM (UNII: M28OL1HH48)  
    MAGNESIUM STEARATE (UNII: 70097M6I30)  
    MICROCRYSTALLINE CELLULOSE (UNII: OP1R32D61U)  
    POLYETHYLENE GLYCOL 4000 (UNII: 4R4HFI6D95)  
    POLYVINYL ALCOHOL, UNSPECIFIED (UNII: 532B59J990)  
    TALC (UNII: 7SEV7J4R1U)  
    TITANIUM DIOXIDE (UNII: 15FIX9V2JP)  
    FD&C YELLOW NO. 6 (UNII: H77VEI93A8)  
    FD&C RED NO. 40 (UNII: WZB9127XOA)  
    Product Characteristics
    ColorORANGEScoreno score
    ShapeROUND (BICONVEX) Size9mm
    FlavorImprint Code 100
    Contains    
    Packaging
    #Item CodePackage DescriptionMarketing Start DateMarketing End Date
    1NDC: 42806-628-01100 in 1 BOTTLE; Type 0: Not a Combination Product12/31/2021
    Marketing Information
    Marketing CategoryApplication Number or Monograph CitationMarketing Start DateMarketing End Date
    ANDAANDA21437812/31/2021
    Labeler - EPIC PHARMA LLC (827915443)
    Registrant - Humanwell Pharmaceutical US, Inc (080182262)
    Establishment
    NameAddressID/FEIBusiness Operations
    EPIC PHARMA LLC827915443MANUFACTURE(42806-626, 42806-627, 42806-628)

  • © 2026 FDA.report
    This site is not affiliated with or endorsed by the FDA.