NURTEC ODT- rimegepant sulfate tablet, orally disintegrating

NURTEC ODT by

Drug Labeling and Warnings

NURTEC ODT by is a Prescription medication manufactured, distributed, or labeled by Sportpharm, Inc. dba Sportpharm. Drug facts, warnings, and ingredients follow.

Drug Details [pdf]

  • 1 INDICATIONS AND USAGE

    1.1 Acute Treatment of Migraine

    NURTEC ODT is indicated for the acute treatment of migraine with or without aura in adults .

    1.2 Preventive Treatment of Episodic Migraine

    NURTEC ODT is indicated for the preventive treatment of episodic migraine in adults.

  • 2 DOSAGE AND ADMINISTRATION

    2.1 Recommended Dosing for Acute Treatment of Migraine

    The recommended dose of NURTEC ODT is 75 mg taken orally, as needed.

    The maximum dose in a 24-hour period is 75 mg. The safety of using more than 18 doses in a 30-day period has not been established.

    2.2 Recommended Dosing for Preventive Treatment of Episodic Migraine

    The recommended dosage of NURTEC ODT is 75 mg taken orally every other day.

    2.3 Administration Information

    Instruct the patient on the following administration instructions:

    • Use dry hands when opening the blister pack.
    • Peel back the foil covering of one blister and gently remove the orally disintegrating tablet (ODT). Do not push the ODT through the foil.
    • As soon as the blister is opened, remove the ODT and place on the tongue; alternatively, the ODT may be placed under the tongue.
    • The ODT will disintegrate in saliva so that it can be swallowed without additional liquid.
    • Take the ODT immediately after opening the blister pack. Do not store the ODT outside the blister pack for future use.

    2.4 Concomitant Administration with Strong or Moderate CYP3A4 Inhibitors

    Avoid concomitant administration of NURTEC ODT with strong inhibitors of CYP3A4. Avoid another dose of NURTEC ODT within 48 hours when it is concomitantly administered with moderate inhibitors of CYP3A4 [see Drug Interactions (7.1), Clinical Pharmacology (12.3)].

    2.5 Concomitant Administration with Strong or Moderate CYP3A Inducers

    Avoid concomitant administration of NURTEC ODT with strong or moderate inducers of CYP3A, which may lead to loss of efficacy of NURTEC ODT [see Drug Interactions (7.2), Clinical Pharmacology (12.3)] .

    2.6 Concomitant Administration with Potent Inhibitors of P-gp

    Avoid another dose of NURTEC ODT within 48 hours when it is concomitantly administered with potent inhibitors of P-gp [see Drug Interactions (7.3), Clinical Pharmacology (12.3)].

  • 3 DOSAGE FORMS AND STRENGTHS

    Orally disintegrating tablets: white to off-white, circular, and debossed with the symbol Image, each containing 75 mg of rimegepant.

  • 4 CONTRAINDICATIONS

    NURTEC ODT is contraindicated in patients with a history of hypersensitivity reaction to rimegepant, NURTEC ODT, or any of its components.Reactions have included anaphylaxis and delayedserious hypersensitivity [see Warnings andPrecautions (5.1)] .

  • 5 WARNINGS AND PRECAUTIONS

    5.1 Hypersensitivity Reactions

    Serious hypersensitivityreactions, includinganaphylaxis, dyspnea, and rash, have occurredin patients treatedwith NURTEC ODT. Hypersensitivity reactions can occur days after administration, and delayed serious hypersensitivity has occurred. If a hypersensitivity reaction occurs, discontinue NURTEC ODT and initiate appropriate therapy [see Contraindications (4)and Adverse Reactions (6.1, 6.2)].

    5.2 Hypertension

    Development of hypertension and worsening of pre-existing hypertension have been reported following the use of CGRP antagonists, including NURTEC ODT, in the postmarketing setting.

    Some of the patients who developed new-onset hypertension had risk factors for hypertension. There were cases requiring initiation of pharmacological treatment for hypertension and, in some cases, hospitalization. Hypertension may occur at any time during treatment, but was most frequently reported within 7 days of therapy initiation. NURTEC ODT was discontinued in many of the reported cases.

    Monitor patients treated with NURTEC ODT for new-onset hypertension or worsening of pre-existing hypertension, and consider whether discontinuation of NURTEC ODT is warranted if evaluation fails to establish an alternative etiology or blood pressure is inadequately controlled.

    5.3 Raynaud’s Phenomenon

    Development of Raynaud’s phenomenon and recurrence or worsening of pre-existing Raynaud’s phenomenon have been reported in the postmarketing setting following the use of CGRP antagonists, including NURTEC ODT.

    In reported cases with small molecule CGRP antagonists, symptom onset occurred a median of 1.5 days following dosing. Many of the cases reported serious outcomes, including hospitalizations and disability, generally related to debilitating pain. In most reported cases, discontinuation of the CGRP antagonist resulted in resolution of symptoms.

    NURTEC ODT should be discontinued if signs or symptoms of Raynaud’s phenomenon develop, and patients should be evaluated by a healthcare provider if symptoms do not resolve. Patients with a history of Raynaud’s phenomenon should be monitored for, and informed about the possibility of, worsening or recurrence of signs and symptoms.

  • 6 ADVERSE REACTIONS

    The following clinically significant adverse reactions are discussed in greater detail in other sections of the labeling:

    6.1 Clinical Trials Experience

    Because clinical trials are conducted under widely varying conditions, adverse reaction rates observed in the clinical trials of a drug cannot be directly compared to rates in the clinical trials of another drug and may not reflect the rates observed in clinical practice.

    Acute Treatment of Migraine

    The safety of NURTEC ODT for the acute treatment of migraine in adults has been evaluated in a randomized, double-blind, placebo-controlled trial (Study 1) in 682 patients with migraine who received one 75 mg dose of NURTEC ODT [see Clinical Studies (14)] . Approximately 85% were female, 74% were White, 21% were Black, and 17% were Hispanic or Latino. The mean age at study entry was 40 years (range 18-75 years of age).

    Long-term safety was assessed in an open-label extension study using a different oral dosage form of rimegepant. That study evaluated 1,798 patients, dosing intermittently for up to one year, including 1,131 patients who were exposed to rimegepant 75 mg for at least 6 months, and 863 who were exposed for at least one year, all of whom treated an average of at least two migraine attacks per month.

    The most common adverse reaction in Study 1 was nausea (2% in patients who received NURTEC ODT compared to 0.4% of patients who received placebo).

    Hypersensitivity, including dyspnea and severe rash, occurred in less than 1% of patients treated with NURTEC ODT [see Contraindications (4)and Warnings and Precautions (5.1)] .

    Preventive Treatment of Episodic Migraine

    The safety of NURTEC ODT for the preventive treatment of episodic migraine in adults has been established in a randomized, double-blind, placebo-controlled trial with an open-label extension (Study 2) using a different oral dosage form of rimegepant [see Clinical Studies (14)] . In the 12-week, double-blind treatment period, 370 patients with migraine received one 75 mg dose of rimegepant every other day .Approximately 81% were female, 80% were White, 17% were Black, and 28% were Hispanic or Latino. The mean age at study entry was 41 years (range 18-74 years of age). Long-term safety was assessed in an open-label extension study that included 603 patients who were treated for up to one year. Overall, 527 patients were exposed to rimegepant 75 mg for at least 6 months, and 311 were exposed for at least one year.

    The most common adverse reactions (occurring in at least 2% of rimegepant-treated patients and at a frequency of at least 1% higher than placebo) in Study 2 were nausea (2.7% in patients who received rimegepant compared with 0.8% of patients who received placebo) and abdominal pain/dyspepsia (2.4% in patients who received rimegepant compared with 0.8% of patients who received placebo).

    6.2 Postmarketing Experience

    The following adverse reactions have been identified during postapproval use of NURTEC ODT. Because these reactions are reported voluntarily from a population of uncertain size, it is not always possible to reliably estimate their frequency or establish a causal relationship to drug exposure.

    Immune System Disorders: Hypersensitivity (e.g., anaphylaxis) [see Contraindications (4)and Warnings and Precautions (5.1)]

    Vascular Disorders: Hypertension [see Warnings and Precautions (5.2)] , Raynaud’s phenomenon [see Warnings and Precautions (5.3)]

  • 7 DRUG INTERACTIONS

    7.1 CYP3A4 Inhibitors

    Concomitant administration of NURTEC ODT with strong inhibitors of CYP3A4 results in a significant increase in rimegepant exposure. Avoid concomitant administration of NURTEC ODT with strong inhibitors of CYP3A4 [see Clinical Pharmacology (12.3)] .

    Concomitant administration of NURTEC ODT with moderate inhibitors of CYP3A4 may result in increased exposure of rimegepant. Avoid another dose of NURTEC ODT within 48 hours when it is concomitantly administered with moderate inhibitors of CYP3A4 [see Clinical Pharmacology (12.3)] .

    7.2 CYP3A Inducers

    Concomitant administration of NURTEC ODT with strong or moderate inducers of CYP3A can result in a significant reduction in rimegepant exposure, which may lead to loss of efficacy of NURTEC ODT. Avoid concomitant administration of NURTEC ODT with strong or moderate inducers of CYP3A [see Clinical Pharmacology (12.3)] .

    7.3 P-gp Inhibitors

    Concomitant administration of NURTEC ODT with potent inhibitors of P-gp (e.g., amiodarone, cyclosporine, lapatinib, quinidine, ranolazine) may result in increased exposure of rimegepant. Avoid another dose of NURTEC ODT within 48 hours when it is concomitantly administered with potent inhibitors of P-gp [see Clinical Pharmacology (12.3)] .

  • 8 USE IN SPECIFIC POPULATIONS

    8.1 Pregnancy

    Pregnancy Exposure Registry

    There is a pregnancy exposure registry that monitors pregnancy outcomes in women exposed to NURTEC ODT during pregnancy. For more information, healthcare providers or patients are encouraged to contact: 1-877-366-0324, email nurtecpregnancyregistry@ppd.com, or visit nurtecpregnancyregistry.com.

    Risk Summary

    There are no adequate data on the developmental risk associated with the use of NURTEC ODT in pregnant women. In animal studies, oral administration of rimegepant during organogenesis resulted in adverse effects on development in rats (decreased fetal body weight and increased incidence of skeletal variations) at exposures greater than those used clinically and which were associated with maternal toxicity (see Data) .

    In the U.S. general population, the estimated background risk of major birth defects and miscarriage in clinically recognized pregnancies is 2 to 4% and 15 to 20%, respectively. The estimated rate of major birth defects (2.2 to 2.9%) and miscarriage (17%) among deliveries to women with migraine are similar to rates reported in women without migraine.

    Clinical Considerations

    Disease-Associated Maternal and/or Embryo/Fetal Risk

    Published data have suggested that women with migraine may be at increased risk of preeclampsia and gestational hypertension during pregnancy.

    Data

    Animal Data

    Oral administration of rimegepant (0, 10, 60, or 300 mg/kg/day) to pregnant rats during the period of organogenesis resulted in decreased fetal body weight and an increased incidence of fetal skeletal variations at the highest dose tested (300 mg/kg/day), which was associated with maternal toxicity. Plasma exposures (AUC) at the no-effect dose (60 mg/kg/day) for adverse effects on embryofetal development were approximately 45 times that in humans at the maximum recommended human dose (MRHD) of 75 mg/day.

    Oral administration of rimegepant (0, 10, 25, or 50 mg/kg/day) to pregnant rabbits during the period of organogenesis resulted in no adverse effects on embryofetal development. The highest dose tested (50 mg/kg/day) was associated with plasma exposures (AUC) approximately 10 times that in humans at the MRHD.

    Oral administration of rimegepant (0, 10, 25, or 60 mg/kg/day) to rats throughout gestation and lactation resulted in no effects on pre- or postnatal development. The highest dose tested (60 mg/kg/day) was associated with plasma exposures (AUC) approximately 24 times that in humans at the MRHD.

    8.2 Lactation

    Risk Summary

    A lactation study was conducted, and the results have established a relative infant dose of less than 1% of the maternal weight-adjusted dose and the milk-to-plasma ratio of 0.20 (see Data) . These data support that transfer of rimegepant into breastmilk is low. There are no data on the effects of rimegepant on a breastfed infant or on milk production.

    The developmental and health benefits of breastfeeding should be considered along with the mother's clinical need for NURTEC ODT and any potential adverse effects on the breastfed infant from NURTEC ODT or from the underlying maternal condition.

    Data

    A study was conducted in twelve healthy adult lactating women who were between 2 weeks and 6 months postpartum and were administered a single oral dose of rimegepant 75 mg. The relative infant dose was < 1%. The average milk to plasma ratio was 0.20.

    8.4 Pediatric Use

    Safety and effectiveness in pediatric patients have not been established.

    8.5 Geriatric Use

    In pharmacokinetic studies, no clinically significant pharmacokinetic differences were observed between elderly and younger subjects. Clinical studies of NURTEC ODT did not include sufficient numbers of patients aged 65 and over to determine whether they respond differently from younger patients.

    8.6 Hepatic Impairment

    No dosage adjustment of NURTEC ODT is required in patients with mild (Child-Pugh A) or moderate (Child-Pugh B) hepatic impairment. Plasma concentrations of rimegepant were significantly higher in subjects with severe (Child-Pugh C) hepatic impairment. Avoid use of NURTEC ODT in patients with severe hepatic impairment [see Clinical Pharmacology (12.3)] .

    8.7 Renal Impairment

    No dosage adjustment of NURTEC ODT is required in patients with mild, moderate, or severe renal impairment. NURTEC ODT has not been studied in patients with end-stage renal disease and in patients on dialysis. Avoid use of NURTEC ODT in patients with end-stage renal disease (CLcr < 15 mL/min) [see Clinical Pharmacology (12.3)] .

  • 10 OVERDOSAGE

    There is limited clinical experience with NURTEC ODT overdosage. Treatment of an overdose of NURTEC ODT should consist of general supportive measures including monitoring of vital signs and observation of the clinical status of the patient. No specific antidote for the treatment of rimegepant overdose is available. Rimegepant is unlikely to be significantly removed by dialysis because of high serum protein binding [see Clinical Pharmacology (12.3)] .

  • 11 DESCRIPTION

    NURTEC ODT contains rimegepant sulfate, a calcitonin gene-related peptide receptor antagonist. Rimegepant sulfate is described chemically as (5S,6S,9R)-5-amino-6-(2,3-difluorophenyl)-6,7,8,9-tetrahydro-5H-cyclohepta[b]pyridin-9-yl 4-(2-oxo-2,3-dihydro-1H-imidazo[4,5-b]pyridin-1-yl)-1-piperidinecarboxylate hemisulfate sesquihydrate and its structural formula is:

    Chemical Structure

    Its empirical formula is C 28H 28F 2N 6O 30.5 H 2SO 41.5 H 2O, representing a molecular weight of 610.63. Rimegepant free base has a molecular weight of 534.56. Rimegepant sulfate is a white to off-white, crystalline solid that is slightly soluble in water.

    NURTEC ODT (orally disintegrating tablets) is for sublingual or oral use and contains 85.7 mg rimegepant sulfate, equivalent to 75 mg rimegepant free base, and the following inactive ingredients: benzyl alcohol, eucalyptol, gelatin, limonene, mannitol, menthol, menthone, menthyl acetate, sucralose, and vanillin.

  • 12 CLINICAL PHARMACOLOGY

    12.1 Mechanism of Action

    Rimegepant is a calcitonin gene-related peptide receptor antagonist.

    12.2 Pharmacodynamics

    The relationship between pharmacodynamic activity and the mechanism(s) by which rimegepant exerts its clinical effects is unknown.

    No clinically relevant differences in resting blood pressure were observed when rimegepant was concomitantly administered with sumatriptan (12 mg subcutaneous, given as two 6 mg doses separated by one hour) compared with sumatriptan alone to healthy volunteers.

    Cardiac Electrophysiology

    At a single dose 4 times the recommended dose, rimegepant does not prolong the QT interval to any clinically relevant extent.

    12.3 Pharmacokinetics

    Absorption

    Following oral administration of NURTEC ODT, rimegepant is absorbed with the maximum concentration at 1.5 hours. The absolute oral bioavailability of rimegepant is approximately 64%.

    Effects of Food

    Following administration of NURTEC ODT under fed conditions with a high-fat or low-fat meal, T maxwas delayed by approximately 1 to 1.5 hours. A high-fat meal reduced C maxby 42 to 53% and AUC by 32 to 38%. A low-fat meal reduced C maxby 36% and AUC by 28%. NURTEC ODT was administered without regard to food in clinical safety and efficacy studies. The impact of the reduction in rimegepant exposure because of administration with food on its efficacy is unknown.

    Distribution

    The steady state volume of distribution of rimegepant is 120 L. Plasma protein binding of rimegepant is approximately 96%.

    Elimination

    Metabolism

    Rimegepant is primarily metabolized by CYP3A4 and to a lesser extent by CYP2C9.

    Rimegepant is the primary form (~77%) with no major metabolites (i.e., > 10%) detected in plasma.

    Excretion

    The elimination half-life of rimegepant is approximately 11 hours in healthy subjects. Following oral administration of [ 14C]-rimegepant to healthy male subjects, 78% of the total radioactivity was recovered in feces and 24% in urine. Unchanged rimegepant is the major single component in excreted feces (42%) and urine (51%).

    Specific Populations

    Renal Impairment

    In a dedicated clinical study comparing the pharmacokinetics of rimegepant in subjects with mild (estimated creatinine clearance [CLcr] 60-89 mL/min), moderate (CLcr 30-59 mL/min), and severe (CLcr 15-29 mL/min) renal impairment to that with normal subjects (healthy matched control), the exposure of rimegepant following single 75 mg dose was approximately 40% higher in subjects with moderate renal impairment. However, there was no clinically meaningful difference in the exposure of rimegepant in subjects with severe renal impairment compared to subjects with normal renal function (CLcr >= 90 mL/min). NURTEC ODT has not been studied in patients with end-stage renal disease (CLcr < 15 mL/min) [see Use in Specific Populations (8.7)].

    Hepatic Impairment

    In a dedicated clinical study comparing the pharmacokinetics of rimegepant in subjects with mild, moderate, and severe hepatic impairment to that with normal subjects (healthy matched control), the exposure of rimegepant (C maxand AUC) following single 75 mg dose was approximately 2-fold higher in subjects with severe impairment (Child-Pugh class C). There were no clinically meaningful differences in the exposure of rimegepant in subjects with mild (Child-Pugh class A) and moderate hepatic impairment (Child-Pugh class B) compared to subjects with normal hepatic function [see Use in Specific Populations (8.6)].

    Other Specific Populations

    No clinically significant differences in the pharmacokinetics of rimegepant were observed based on age, sex, race/ethnicity, body weight, or CYP2C9 genotype [see Clinical Pharmacology (12.5)].

    Drug Interaction Studies

    In Vitro Studies

    • Enzymes

    Rimegepant is a substrate of CYP3A4 and CYP2C9 (see In Vivo Studies). Rimegepant is not an inhibitor of CYP1A2, 2B6, 2C9, 2C19, 2D6, or UGT1A1 at clinically relevant concentrations. However, rimegepant is a weak inhibitor of CYP3A4 with time-dependent inhibition. Rimegepant is not an inducer of CYP1A2, CYP2B6, or CYP3A4 at clinically relevant concentrations.

    • Transporters

    Rimegepant is a substrate of P-gp and BCRP (see In Vivo Studies) .

    Rimegepant is not a substrate of OATP1B1 or OATP1B3. Considering its low renal clearance, rimegepant was not evaluated as a substrate of the OAT1, OAT3, OCT2, MATE1, or MATE2-K.

    Rimegepant is not an inhibitor of P-gp, BCRP, OAT1, or MATE2-K at clinically relevant concentrations. It is a weak inhibitor of OATP1B1 and OAT3. Rimegepant is an inhibitor of OATP1B3, OCT2, and MATE1. In a dedicated interaction study, concomitant administration of 75 mg rimegepant at steady state with metformin, a MATE1 transporter substrate, at steady state resulted in no clinically significant impact on either metformin pharmacokinetics or on glucose utilization. No clinical drug interactions are expected for NURTEC ODT with OATP1B3 or OCT2, at clinically relevant concentrations.

    In Vivo Studies

    CYP3A4 Inhibitors

    In a dedicated drug interaction study, concomitant administration of 75 mg rimegepant (single dose) with itraconazole, a strong CYP3A4 inhibitor, at steady state resulted in increased exposures of rimegepant (AUC by 4-fold and C maxby ~1.5-fold) [see Drug Interactions (7.1)]. No dedicated drug interaction study was conducted to assess the effect of concomitant administration of a weak inhibitor of CYP3A4 on the pharmacokinetics of rimegepant. The concomitant administration of rimegepant with a moderate inhibitor of CYP3A4 may increase rimegepant exposures (AUC) by less than 2-fold [see Drug Interactions (7.1)]. Concomitant administration of rimegepant with a weak inhibitor of CYP3A4 is not expected to have a clinically significant impact on rimegepant exposures.

    CYP3A Inducers

    In a dedicated drug interaction study, concomitant administration of 75 mg rimegepant (single dose) with rifampin, a strong CYP3A4 inducer, at steady state resulted in decreased exposures of rimegepant (AUC by 80% and C maxby 64%), which may lead to loss of efficacy [see Drug Interactions (7.2)] . No dedicated drug interaction study was conducted to assess the effect of concomitant administration of a moderate or weak inducer of CYP3A4 on the pharmacokinetics of rimegepant .Since rimegepant is a moderately sensitive substrate for CYP3A4, drugs that are moderate inducers of CYP3A4 can also cause significant reduction in rimegepant exposure resulting in loss of efficacy [see Drug Interactions (7.2)] . Clinically significant interaction is not expected with concomitant administration of weak inducers of CYP3A4 and rimegepant.

    CYP2C9 Inhibitors

    In a dedicated drug interaction study, concomitant administration of 75 mg rimegepant (single dose) with fluconazole, a combined moderate CYP3A4 and CYP2C9 inhibitor, resulted in increased exposures of rimegepant (AUC by 1.8-fold) with no relevant effect on C max. Rimegepant is primarily metabolized by CYP3A4 and to a lesser extent by CYP2C9. Increase in the exposure of rimegepant can be attributed to combined inhibition of CYP2C9 and CYP3A4 with fluconazole administration suggesting a minor contribution from CYP2C9. Thus, CYP2C9 inhibition alone is not expected to significantly affect rimegepant exposures.

    P-gp and BCRP Inhibitors

    In a dedicated drug interaction study, concomitant administration of NURTEC ODT with cyclosporine (a potent P-gp and BCRP inhibitor) and with quinidine (a potent P-gp inhibitor) resulted in an increase of similar magnitude in rimegepant exposure (AUC and C maxby 1.6 and 1.4 fold with cyclosporine, and by 1.6 and 1.7 fold with quinidine, respectively) [see Drug Interactions (7.3)]. Therefore, concomitant administration of NURTEC ODT with BCRP inhibitors is not expected to have a clinically significant impact on rimegepant exposures.

    Other Drugs:No significant pharmacokinetic interactions were observed when rimegepant was concomitantly administered with oral contraceptives (norelgestromin, ethinyl estradiol), midazolam (a sensitive CYP3A4 substrate), metformin (a MATE1 substrate), or sumatriptan [see Clinical Pharmacology (12.2)].

    12.5 Pharmacogenomics

    CYP2C9 activity is reduced in individuals with genetic variants such as the CYP2C9*2 and CYP2C9*3 alleles. Rimegepant C maxand AUC 0-infwere similar in CYP2C9 intermediate metabolizers (i.e., *1/*2, *2/*2, *1/*3, n=43) as compared to normal metabolizers (i.e., *1/*1, N=72). Adequate PK data are not available from CYP2C9 poor metabolizers (i.e., *2/*3). Since the contribution of CYP2C9 to rimegepant metabolism is considered minor, CYP2C9 polymorphism is not expected to significantly affect its exposure.

  • 13 NONCLINICAL TOXICOLOGY

    13.1 Carcinogenesis, Mutagenesis, Impairment of Fertility

    Carcinogenesis

    Oral administration of rimegepant to Tg.rasH2 mice (0, 10, 100, or 300 mg/kg/day) for 26 weeks and to rats (0, 5, 20, or 45 mg/kg/day) for 91-100 weeks resulted in no evidence of drug-induced tumors in either species. In rats, the plasma exposure (AUC) at the highest dose tested (45 mg/kg/day) was approximately 30 times that at the maximum recommended human dose (MRHD) of 75 mg/day.

    Mutagenesis

    Rimegepant was negative in in vitro (bacterial reverse-mutation, chromosomal aberration in Chinese hamster ovary cells) and in vivo (rat micronucleus) assays.

    Impairment of Fertility

    Oral administration of rimegepant (0, 30, 60, or 150 mg/kg/day) to male and female rats prior to and during mating and continuing in females to gestation day (GD) 7 resulted in reduced fertility at the highest dose tested. In a second fertility study testing lower doses (0, 5, 15, or 25 mg/kg/day), no adverse effects on fertility, uterine histopathology, or early embryonic development were observed. The no-effect dose for impairment of fertility and early embryonic development in rats (60 mg/kg/day) was associated with plasma drug exposures (AUC) approximately 30 times that in humans at the MRHD.

  • 14 CLINICAL STUDIES

    14.1 Acute Treatment of Migraine

    The efficacy of NURTEC ODT for the acute treatment of migraine with and without aura in adults was demonstrated in a randomized, double-blind, placebo-controlled trial: Study 1 (NCT03461757). Patients in the study were randomized to receive 75 mg of NURTEC ODT (N=732) or placebo (N=734). Patients were instructed to treat a migraine of moderate to severe headache pain intensity. Rescue medication (i.e., NSAIDs, acetaminophen, and/or an antiemetic) was allowed 2 hours after the initial treatment. Other forms of rescue medication such as triptans were not allowed within 48 hours of initial treatment. Approximately 14% of patients were taking preventive medications for migraine at baseline. None of the patients in Study 1 were on concomitant preventive medication that act on the CGRP pathway.

    The primary efficacy analyses were conducted in patients who treated a migraine with moderate to severe pain. NURTEC ODT 75 mg demonstrated an effect on pain freedom and most bothersome symptom (MBS) freedom at two hours after dosing, compared to placebo. Pain freedom was defined as a reduction of moderate or severe headache pain to no headache pain, and MBS freedom was defined as the absence of the self-identified MBS (i.e., photophobia, phonophobia, or nausea). Among patients who selected an MBS, the most commonly selected symptom was photophobia (54%), followed by nausea (28%), and phonophobia (15%).

    In Study 1, the percentage of patients achieving headache pain freedom and MBS freedom two hours after a single dose was statistically significantly greater in patients who received NURTEC ODT compared to those who received placebo (Table 1).

    Table 1: Efficacy Endpoints for the Acute Treatment of Migraine in Study 1
    Study 1
    NURTEC ODT
    75 mg
    Placebo
  • * n=number of responders/N=number of patients in that treatment group
  • Pain Free at 2 hours

      n/N *

    142/669

    74/682

      % Responders

    21.2

    10.9

      Difference from placebo (%)

    10.3

      p-value

    <0.001

    MBS Free at 2 hours

      n/N *

    235/669

    183/682

      % Responders

    35.1

    26.8

      Difference from placebo (%)

    8.3

      p-value

    0.001

    Figure 1 presents the percentage of patients achieving migraine pain freedom within 2 hours following treatment in Study 1.

    Figure 1: Percentage of Patients Achieving Pain Freedom within 2 Hours in Study 1

    Figure 1

    Figure 2 presents the percentage of patients achieving MBS freedom within 2 hours in Study 1.

    Figure 2: Percentage of Patients Achieving MBS Freedom within 2 Hours in Study 1

    Figure 2

    In Study 1, statistically significant effects of NURTEC ODT compared to placebo were demonstrated for the additional efficacy endpoints of pain relief at 2 hours, sustained pain freedom 2-48 hours, use of rescue medication within 24 hours, and the percentage of patients reporting normal function at two hours after dosing (Table 2). Pain relief was defined as a reduction in migraine pain from moderate or severe severity to mild or none. The measurement of the percentage of patients reporting normal function at two hours after dosing was derived from a single item questionnaire, asking patients to select one response on a 4-point scale; normal function, mild impairment, severe impairment, or required bedrest.

    Table 2: Additional Acute Treatment of Migraine Efficacy Endpoints in Study 1
    Study 1
    NURTEC ODT
    75 mg
    Placebo
  • * n=number of responders/N=number of patients in that treatment group
  • This analysis includes only the use of NSAIDs, acetaminophen, or antiemetics, within 24 hours post-dose; the use of triptans, or other acute migraine medication, was not allowed.
  • Pain Relief at 2 hours

        n/N *

    397/669

    295/682

       % Responders

    59.3

    43.3

       Difference from placebo

    16.1

       p-value

    <0.001

    Sustained Pain Freedom 2-48 hours

       n/N *

    90/669

    37/682

       % Responders

    13.5

    5.4

       Difference from placebo

    8.0

      p-value

    <0.001

    Use of Rescue Medication within 24 hours

       n/N *

    95/669

    199/682

       % Responders

    14.2

    29.2

       Difference from placebo

    -15.0

       p-value

    <0.001

    Percentage of Patients Reporting Normal Function at 2 hours

       n/N *

    255/669

    176/682

        Responders

    38.1

    25.8

       Difference from placebo

    12.3

       p-value

    <0.001

    The incidence of photophobia and phonophobia was reduced following administration of NURTEC ODT 75 mg as compared to placebo.

    14.2 Preventive Treatment of Episodic Migraine

    The efficacy of NURTEC ODT for the preventive treatment of episodic migraine in adults was demonstrated in one randomized, double-blind, placebo-controlled trial of a different oral dosage form of rimegepant (Study 2; NCT03732638).

    Study 2 enrolled adult patients with at least a 1-year history of migraine (with or without aura). Patients experienced an average of 10.9 headache days during the 28-day observational period, which included an average of 10.2 migraine days, prior to randomization into the trial. Patients were randomized to receive every other day dosing of rimegepant 75 mg (N=373) or placebo (N=374) for 12 weeks. Patients were allowed to use acute headache treatments (i.e., triptans, NSAIDs, acetaminophen, antiemetics, muscle relaxants, and aspirin) as needed. Approximately 10% of patients were taking one preventive medication for migraine at baseline. The use of a concomitant medication that acts on the CGRP pathway was not permitted for either the acute or preventive treatment of migraine.

    The study excluded patients with myocardial infarction, acute coronary syndrome, percutaneous coronary intervention, cardiac surgery, stroke, or transient ischemic attack within six months of screening.

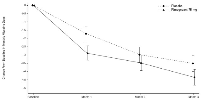
    The primary efficacy endpoint for Study 2 was the change from baseline in the mean number of monthly migraine days (MMDs) during Weeks 9 through 12 of the double-blind treatment phase.

    The percentage of patients who achieved at least a 50% reduction from baseline in moderate to severe MMDs during Weeks 9 through 12 of the double-blind treatment phase compared to placebo was also evaluated. Rimegepant 75 mg dosed every other day demonstrated statistically significant improvements for these efficacy endpoints compared to placebo, as summarized in Table 3.

    Table 3: Efficacy Endpoints for the Preventive Treatment of Episodic Migraine in Study 2
    Rimegepant
    75 mg Every Other
    Day
    Placebo
    Every Other Day

    Monthly Migraine Days (MMD), Weeks 9-12

    N=348

    N=347

    Change from baseline

    -4.3

    -3.5

    Change from placebo

    -0.8

    p-value

    0.010

    ≥ 50% Responders (Moderate to Severe MMDs), Weeks 9-12

    N=348

    N=347

    % Responders

    49.1

    41.5

    Difference from placebo

    7.6

    p-value

    0.044

    Figure 3: Change from Baseline in Monthly Migraine Days in Study 2 a

    Figure 3

    aLeast-square means and 95% confidence intervals are presented.

    Figure 4: Distribution of Change from Baseline in Mean Monthly Migraine Days at Month 3 by Treatment Group in Study 2 a

    Figure 4

    aFigure excludes patients with missing data.

  • 16 HOW SUPPLIED/STORAGE AND HANDLING

    16.1 How Supplied

    NURTEC ODT 75 mg orally disintegrating tablets are white to off-white, circular, debossed with the symbol Image, and supplied in cartons containing a blister pack of 8 orally disintegrating tablets. Each ODT contains 75 mg rimegepant.

    NDC: 85766-096-08 (relabeled from NDC: 72618-3000-2)

    16.2 Storage and Handling

    Store NURTEC ODT at controlled room temperature, 20°C to 25°C (68°F to 77°F); with excursions permitted between 15°C to 30°C (59°F to 86°F) [see USP controlled room temperature].

  • 17 PATIENT COUNSELING INFORMATION

    Advise patients to read the FDA-approved patient labeling (Patient Information).

    Handling of Orally Disintegrating Tablets Packaging

    Instruct patients not to remove the blister from the outer aluminum pouch until ready to use the orally disintegrating tablet inside [see Dosage and Administration (2.3)] .

    Hypersensitivity Reactions

    Inform patients about the signs and symptoms of hypersensitivity reactions and that these reactions can occur days after administration of NURTEC ODT. Advise patients to contact their healthcare provider immediately if signs or symptoms of hypersensitivity reactions occur [see Warnings and Precautions (5.1)].

    Hypertension

    Inform patients that hypertension can develop or pre-existing hypertension can worsen with NURTEC ODT, and that they should contact their healthcare provider if they experience elevation in their blood pressure [see Warnings and Precautions (5.2)] .

    Raynaud’s Phenomenon

    Inform patients that Raynaud’s phenomenon can develop or worsen with NURTEC ODT. Advise patients to discontinue NURTEC ODT and contact their healthcare provider if they experience signs or symptoms of Raynaud’s phenomenon [see Warnings and Precautions (5.3)] .

    Pregnancy Registry

    There is a pregnancy exposure registry that monitors pregnancy outcomes in women exposed to NURTEC ODT during pregnancy. Encourage participation and advise patients about how they may enroll in the registry [see Use in Specific Populations (8.1)] .

    This product’s labeling may have been updated. For the most recent Prescribing Information, please visit www.pfizer.com.

    Distributed by:

    Sportpharm

    2237 N Commerce Parkway,

    STE 1, Weston, Florida-33326

    Relabeled by:

    Enovachem PHARMACEUTICALS

    Torrance, CA 90501

  • PATIENT INFORMATION

    This Patient Information has been approved by the U.S. Food and Drug Administration Revised:     8/2025

    PATIENT INFORMATION

    NURTEC ®ODT (NUR-tek)

    (rimegepant)

    orally disintegrating tablets (ODT), for sublingual or oral use

    What is NURTEC ODT?

    NURTEC ODT is a prescription medicine used in adults for the:

    acute treatment of migraine attacks with or without aurapreventive treatment of episodic migraine

    It is not known if NURTEC ODT is safe and effective in children.

    Do not take NURTEC ODT if you are:

    allergic to rimegepant, NURTEC ODT, or any of the ingredients in NURTEC ODT.

    See the end of this leaflet for a complete list of ingredients in NURTEC ODT.

    Before you take NURTEC ODT, tell your healthcare provider about all of your medical conditions, including if you:

    have high blood pressure.have circulation problems in your fingers and toes.have liver problems.have kidney problems.are pregnant or plan to become pregnant. It is not known if NURTEC ODT will harm your unborn baby. There is a pregnancy exposure registry for women who take NURTEC ODT during pregnancy. The study is named MONITOR (Migraine Observational NURTEC Pregnancy Registry). A registry is a study. The purpose of this registry is to collect information about your health and the health of your baby. Your healthcare provider can help you enroll in this registry. You may also enroll yourself or get more information about the registry by calling 1-877-366-0324, emailing nurtecpregnancyregistry@ppd.com, or by visiting nurtecpregnancyregistry.com.are breastfeeding or plan to breastfeed. Very small amounts of NURTEC ODT pass into your breast milk. Talk with your healthcare provider about the best way to feed your baby if you take NURTEC ODT.

    Tell your healthcare provider about all the medicines you take,including prescription and over-the-counter medicines, vitamins, and herbal supplements.

    How should I take NURTEC ODT?

    Take NURTEC ODT exactly how your healthcare provider tells you to.For the acute treatment of migraine attacks when they occur, NURTEC ODT can be taken 1 time each day as needed. You should not take more than 1 tablet in 24 hours.oIt is not known if it is safe to take more than 18 doses of NURTEC ODT in 30 days.For the preventive treatment of episodic migraine, take NURTEC ODT 1 time every other day.To take NURTEC ODT:oUse dry hands when opening the blister pack.oPeel back the foil covering of one blister and gently remove NURTEC ODT. Do not push NURTEC ODT through the foil.oAs soon as the blister is opened, remove NURTEC ODT and place on or under the tongue.oNURTEC ODT will dissolve and no drink or water is needed.oTake NURTEC ODT immediately after opening the blister pack. Do not store NURTEC ODT outside the blister pack for future use.If you take too much NURTEC ODT, go to the nearest emergency room right away.

    What are the possible side effects of NURTEC ODT?

    NURTEC ODT may cause serious side effects including:

    Allergic reactions.Allergic reactions, including trouble breathing and rash, can happen after you take NURTEC ODT. This can happen days after you take NURTEC ODT. Call your healthcare provider or get emergency help right away if you have any of the following symptoms, which may be part of an allergic reaction:oSwelling of the face, mouth, tongue, or throatoTrouble breathingoRash High blood pressure.High blood pressure or worsening of high blood pressure can happen after you take NURTEC ODT. Contact your healthcare provider if you have an increase in blood pressure. Raynaud’s phenomenon.A type of circulation problem can worsen or happen after you take NURTEC ODT. Raynaud’s phenomenon can lead to your fingers or toes feeling numb, cool, or painful, or changing color from pale, to blue, to red. Contact your healthcare provider if these symptoms occur.

    The most common side effect of NURTEC ODT in acute treatment of migraine attacks with or without aura is:

    nausea

    The most common side effects of NURTEC ODT in preventive treatment of episodic migraine are:

    nauseastomach painindigestion

    These are not the only possible side effects of NURTEC ODT.

    Call your doctor for medical advice about side effects. You may report side effects to FDA at 1‑800 FDA-1088.

    How should I store NURTEC ODT?

    Store NURTEC ODT in the blister package that it comes in.Store NURTEC ODT at room temperature between 68°F to 77°F (20°C to 25°C).

    Keep NURTEC ODT and all medicines out of the reach of children.

    General information about the safe and effective use of NURTEC ODT:

    Medicines are sometimes prescribed for purposes other than those listed in a Patient Information leaflet. Do not use NURTEC ODT for a condition for which it was not prescribed. Do not give NURTEC ODT to other people, even if they have the same symptoms that you have. It may harm them. You can ask your pharmacist or healthcare provider for information about NURTEC ODT that is written for health professionals.

    What are the ingredients in NURTEC ODT?

    Active ingredient in NURTEC ODT: rimegepant

    Inactive ingredients in NURTEC ODT: benzyl alcohol, eucalyptol, gelatin, limonene, mannitol, menthol, menthone, menthyl acetate, sucralose, and vanillin

    Distributed by:

    Sportpharm

    2237 N Commerce Parkway,

    STE 1, Weston, Florida-33326

    Relabeled by:

    Enovachem PHARMACEUTICALS

    Torrance, CA 90501



    For more information, go to www.nurtec.comor call 1-833-4NURTEC.


    LAB-1548-4.0

  • PRINCIPAL DISPLAY PANEL

    1

  • INGREDIENTS AND APPEARANCE
    NURTEC ODT 
    rimegepant sulfate tablet, orally disintegrating
    Product Information
    Product TypeHUMAN PRESCRIPTION DRUGItem Code (Source)NDC: 85766-096(NDC:72618-3000)
    Route of AdministrationORAL
    Active Ingredient/Active Moiety
    Ingredient NameBasis of StrengthStrength
    RIMEGEPANT SULFATE (UNII: 1383NM3Q0H) (RIMEGEPANT - UNII:997WVV895X) RIMEGEPANT75 mg
    Inactive Ingredients
    Ingredient NameStrength
    SUCRALOSE (UNII: 96K6UQ3ZD4)  
    EUCALYPTOL (UNII: RV6J6604TK)  
    MARINE NON-GELLING GELATIN, HIGH MW (UNII: AHQ60JKI5D)  
    LIMONENE, (+)- (UNII: GFD7C86Q1W)  
    BENZYL ALCOHOL (UNII: LKG8494WBH)  
    MENTHYL ACETATE, (+/-)- (UNII: LF3LEI45OH)  
    VANILLIN (UNII: CHI530446X)  
    MENTHOL, UNSPECIFIED FORM (UNII: L7T10EIP3A)  
    MENTHONE, (+)- (UNII: 15F1B5K9A5)  
    MANNITOL (UNII: 3OWL53L36A)  
    Product Characteristics
    Colorwhite (white to off-white) Scoreno score
    ShapeROUNDSize14mm
    FlavorMINTImprint Code
    Contains    
    Packaging
    #Item CodePackage DescriptionMarketing Start DateMarketing End Date
    1NDC: 85766-096-081 in 1 CARTON10/14/2025
    18 in 1 BLISTER PACK; Type 0: Not a Combination Product
    Image of Product
    Marketing Information
    Marketing CategoryApplication Number or Monograph CitationMarketing Start DateMarketing End Date
    NDANDA21272803/05/2020
    Labeler - Sportpharm, Inc. dba Sportpharm (139010449)

  • Trademark Results [NURTEC ODT]

    Mark Image

    Registration | Serial
    Company
    Trademark
    Application Date
    NURTEC ODT
    NURTEC ODT
    88840180 not registered Live/Pending
    Biohaven Pharmaceutical Holding CompanyLtd.
    2020-03-19

    © 2026 FDA.report
    This site is not affiliated with or endorsed by the FDA.